快速傅里叶变换(FFT)——按时间抽取DIT的基

626 阅读4分钟

目录

【1】前言

1、DIF计算量

公式
更加清楚地了解计算步骤:
公式
观察可知:
1、一次复数乘法需用四次实数乘法和二次实数加法;
2、一次复数加法需二次实数加法
3、整个 DFT 运算总共需要 4N^2 次实数乘法和 2N*(2N—1)次实数加法。
总结:
直接计算 DFT,乘法次数和加法次数都是和 N^2 成正比的。

2、利用性质改善

性质
利用这些性质,将较大的N分解为若干个较小的N然后进行运算。

【2】公式推导

1、N 到 2*N/2

a、分解原序列

1

b、分解后的DFT变换

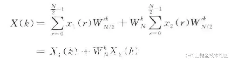
2
3

c、一系列化简操作之后

4

d、蝶形信号流

1
以N=8的序列为例:
2

e、计算量总结

因而通过第一步分解后, 总共需要(N^2/2)+(N/2)=N(N+l )/2约等于 N^2/2 次复数乘法和 N( N/2-1 )+N = N^2/2 次 复数加法。由此可见,通过这样分解后的运算工作量差不多节省了一半。

2、N/2 到 2*N/4

a、分解X2(k)序列

1

b、蝶形信号流(2列)

在这里插入图片描述

3、N/4 到 2*N/8

a、蝶形信号流(3列)

在这里插入图片描述

【3】公式总结

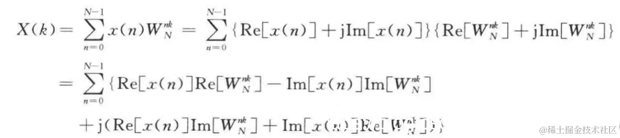
由于乘法的运算量较大,我们从乘法角度来探讨一下,DFT和FFT的运算量。
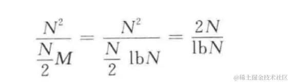
设N=2^M;有M列的蝶形信号运算。
在这里插入图片描述
从乘法角度:DFT需要N^2,FFT需要N*lbN;
j计算
当N=2048时,这一比值为372.4,即直接计算DFT的运算量是FFT运算量的372.4倍。
当点数N越大时,FFT的优点更为明显。

【4】特点以及程序框架讲解

1、原址运算

运算
计算之后,将新的X(k)覆盖原本的X(k)。
注意:是将同一行的X进行覆盖(后面的列覆盖前面的列),不同行之间是没有覆盖关系的。
所以,最后只需要N个存储单元。(N个数据,N行)

2、倒位序规律

输出X(k),序列正常。
输入序列不正常。
原因:X(n)按照标号n的奇偶而不断分组。
例子:
1
步骤流程:
I+1,最低位+1,向左进位。
J在二进制最高位+1,逢2向右进位。
由此可以从当前的倒序值计算求得下一个倒序值。
3
观察变址处理,可以发现,只有当J>I时,才将X(I)和X(J)存储内容进行互换。

3、蝶形运算两节点的距离

输入为倒位序,输出为正位序,N=2^ M,在第m级运算,两个节点间的距离为2^(m-1);

4、WN^r的确定

r的变换规律:
1、运算两个节点中第一个节点标号为k,表示为M位的二进制数。
2、将此二进制数乘以2^(M-m),相当于左移M-m位,把右边空出,此数位r的二进制数。

5、程序框架

流程框架

【5】代码实现

没有验证代码的正确性,只是按照上面的流程图进行叙述。

#define PI 3.14159


//数位倒读
int rev(int i, int m) {//i=0~2^m,m为二进制位数 
	int j = 0;
	while (m > 0) {
		j += (i & 0x01) * (0x01 << (m - 1));//j+=(i%2)*mypow(2,m-1);
		i >>= 1;//i/=2
		m -= 1;
	}
	return j;
}

//快速傅里叶变换
//输入x(n)、N
//输出X(k)
void fft(const float real_in[], const float imag_in[], float real_out[], float imag_out[],int N) 
{
	//【1】获取M
	int M = log2(N);	
	//【2】倒序
	for (int i = 0;i < N;i++) 
	{//数位倒读 
		int j;
		j = rev(i, M);
		real_out[j] = real_in[i];
		imag_out[j] = imag_in[i];
	}
	//【3】
	for (int m = 1;m <= M;m++)
	{
		int B = 2 ^ m - 1;
		for (int J = 0;J <= B - 1;J++)
		{
			int P = 2 ^ (M - m) * J;
			for (int k = J;k <= N - 1;k++)
			{
				float tmpr1, tmpi1, tmpr2, tmpi2;//临时变量
				float theta = -2 * PI * P / N ;
				tmpr1 = real_out[k];
				tmpi1 = imag_out[k];
				tmpr2 = cos(theta) * real_out[k + B] - sin(theta) * imag_out[k + B];
				tmpi2 = cos(theta) * imag_out[k + B] + sin(theta) * real_out[k + B];
				real_out[k] = tmpr1 + tmpr2;
				imag_out[k] = tmpi1 + tmpi2;
				real_out[k + B] = tmpr1 - tmpr2;
				imag_out[k + B] = tmpi1 - tmpi2;
			}

		}

	}
}

参考资料:

《数字信号处理第三版.刘顺兰版》