图像分割-LOG检测器和DOG检测器

191 阅读2分钟

边缘检测是以较小的算子为基础的,具有两个建议
1、灰度变化与图像尺寸无关,因此检测要求使用不同尺寸的算子。
2、灰度的突然变化会在一阶导数产生波峰波谷,在二阶导数产生零交叉
大的算子检测模糊边缘,小的算子检测锐度集中的细节
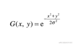
二维高斯函数:
在这里插入图片描述
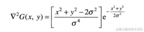
拉普拉斯
在这里插入图片描述
LOG(高斯拉普拉斯)

marri-Hildreth算子概念:
1、算子的高斯部分会模糊图像,将图像灰度(包括噪声降低到远小于sigma的程度)
2、laplace(也就是二阶微分和)具有各向同性(旋转不变)的有点,对任何模板方向灰度变换有相等响应,避免了使用多个模板去计算图像中任何点处的最强响应
marri-Hildreth算法步骤:
1、用二维高斯函数取样得到一个nn的高斯低通滤波器对图像滤波
2、计算由1得到的laplace
3、找到步骤二得到的零交叉点
确定高斯滤波器的经验法则:
n * n的LOG离散滤波器,n>=6
sigma的最小奇整数。
寻找零交叉的方法:
首先明确:试图通过查找满足g(x,y)=0的坐标来找到零交叉点是不实际的,因为噪声,计算不准确。
正确的方法:用以P为中心的3*3邻域。P点处的零交叉意味着至少有两个相对的领域像素符号不同,测试四种情况:上下,左右,两对角。
如果g(x,y)的值与一个阈值比较,那么不仅相对邻域符号不同,而且数值差的绝对值必须超过这个阈值,这时我们称p为一个零交叉像素。
贴几个相关的文章,加深理解。
blog.csdn.net/jinzhichaos…
书上原话
书上原话
这些不是很能看懂,以后再说
相关文章和解释
blog.csdn.net/a361251388l…
baike.baidu.com/item/高斯差分函数…
理论有待实践