再见,可视化!你好,Pandas!

335 阅读5分钟

用Python做数据分析离不开pandas,pnadas更多的承载着处理和变换数据的角色,pands中也内置了可视化的操作,但效果很糙。

因此,大家在用Python做数据分析时,正常的做法是用先pandas先进行数据处理,然后再用Matplotlib、Seaborn、Plotly、Bokeh等对dataframe或者series进行可视化操作。

但是说实话,每个可视化包都有自己独特的方法和函数,经常忘,这是让我一直很头疼的地方。\

好消息来了!从最新的pandas版本0.25.3开始,不再需要上面的操作了,数据处理和可视化完全可以用pandas一个就全部搞定。

pandas现在可以使用Plotly、Bokeh作为可视化的backend,直接实现交互性操作,无需再单独使用可视化包了。

下面我们一起看看如何使用。\

1. 激活backend

在import了pandas之后,直接使用下面这段代码激活backend,比如下面要激活plotly。

pd.options.plotting.backend = 'plotly'

目前,pandas的backend支持以下几个可视化包。

  • Plotly
  • Holoviews
  • Matplotlib
  • Pandas_bokeh
  • Hyplot

2. Plotly backend

Plotly的好处是,它基于Javascript版本的库写出来的,因此生成的Web可视化图表,可以显示为HTML文件或嵌入基于Python的Web应用程序中。

下面看下如何用plotly作为pandas的backend进行可视化。

如果还没安装Plotly,则需要安装它pip intsall plotly。如果是在Jupyterlab中使用Plotly,那还需要执行几个额外的安装步骤来显示可视化效果。

首先,安装IPywidgets。

pip install jupyterlab "ipywidgets>=7.5"

然后运行此命令以安装Plotly扩展。

jupyter labextension install jupyterlab-plotly@4.8.1

示例选自openml.org的的数据集,链接如下:

数据链接:www.openml.org/d/187

这个数据也是Scikit-learn中的样本数据,所以也可以使用以下代码将其直接导入。

import pandas as pd
import numpy as np

from sklearn.datasets import fetch_openml

pd.options.plotting.backend = 'plotly'

X,y = fetch_openml("wine", version=1, as_frame=True, return_X_y=True)
data = pd.concat([X,y], axis=1)
data.head()

该数据集是葡萄酒相关的,包含葡萄酒类型的许多功能和相应的标签。数据集的前几行如下所示。

下面使用Plotly backend探索一下数据集。

绘图方式与正常使用Pandas内置的绘图操作几乎相同,只是现在以丰富的Plotly显示可视化效果。

下面的代码绘制了数据集中两个要素之间的关系。

fig = data[['Alcohol''Proline']].plot.scatter(y='Alcohol', x='Proline')
fig.show()

如果将鼠标悬停在图表上,可以选择将图表下载为高质量的图像文件。

我们可以结合Pandas的groupby函数创建一个条形图,总结各类之间Hue的均值差异。

data[['Hue','class']].groupby(['class']).mean().plot.bar()

将class添加到我们刚才创建的散点图中。通过Plotly可以轻松地为每个类应用不同的颜色,以便直观地看到分类。\

fig = data[['Hue''Proline''class']].plot.scatter(x='Hue', y='Proline', color='class', title='Proline and Hue by wine class')
fig.show()

3. Bokeh backend

Bokeh是另一个Python可视化包,也可提供丰富的交互式可视化效果。Bokeh还具有streaming API,可以为比如金融市场等流数据创建实时可视化。

pandas-Bokeh的GitHub链接如下:

github.com/PatrikHlobi…

老样子,用pip安装即可,pip install pandas-bokeh。

为了在Jupyterlab中显示Bokeh可视化效果,还需要安装两个新的扩展。

jupyter labextension install @jupyter-widgets/jupyterlab-manager
jupyter labextension install @bokeh/jupyter_bokeh

下面我们使用Bokeh backend重新创建刚刚plotly实现的的散点图。

pd.options.plotting.backend = 'pandas_bokeh'

import pandas_bokeh
from bokeh.io import output_notebook
from bokeh.plotting import figure, show

output_notebook()
p1 = data.plot_bokeh.scatter(x='Hue', 
                              y='Proline', 
                              category='class', 
                              title='Proline and Hue by wine class',
                              show_figure=False)
show(p1)

关键语句就一行代码,非常快捷,交互式效果如下。\

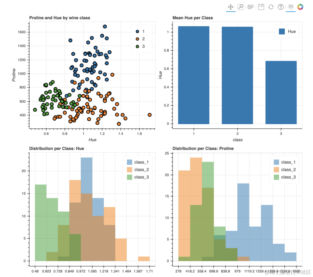
Bokeh还具有plot_grid函数,可以为多个图表创建类似于仪表板的布局,下面在网格布局中创建了四个图表。

output_notebook()

p1 = data.plot_bokeh.scatter(x='Hue', 
                              y='Proline', 
                              category='class', 
                              title='Proline and Hue by wine class',
                              show_figure=False)

p2 = data[['Hue','class']].groupby(['class']).mean().plot.bar(title='Mean Hue per Class')

df_hue = pd.DataFrame({
    'class_1': data[data['class'] == '1']['Hue'],
    'class_2': data[data['class'] == '2']['Hue'],
    'class_3': data[data['class'] == '3']['Hue']},
    columns=['class_1''class_2''class_3'])

p3 = df_hue.plot_bokeh.hist(title='Distribution per Class: Hue')

df_proline = pd.DataFrame({
    'class_1': data[data['class'] == '1']['Proline'],
    'class_2': data[data['class'] == '2']['Proline'],
    'class_3': data[data['class'] == '3']['Proline']},
    columns=['class_1''class_2''class_3'])

p4 = df_proline.plot_bokeh.hist(title='Distribution per Class: Proline')

pandas_bokeh.plot_grid([[p1, p2], 
                        [p3, p4]], plot_width=450)

可以看到,可视化的部分都是在pandas的dataframe基础上一行代码搞定,最后plot_grid完成布局。

4. 总结

在内置的Pandas绘图功能增加多个第三方可视化backend,大大增强了pandas用于数据可视化的功能,今后可能真的不需再去学习众多可视化操作了,使用pandas也可以一击入魂!

参考链接:towardsdatascience.com/plotting-in…

往期推荐

5分钟完全掌握PyPy

5 分钟掌握 Python 中常见的配置文件

OpenCV人工智能图像识别技术实操案例

点击下方阅读原文加入 社区会员

点赞鼓励一下