K-means 算法实现二维数据聚类

591 阅读5分钟

640?wx_fmt=jpeg

所谓聚类分析,就是给定一个元素集合D,其中每个元素具有n个观测属性,对这些属性使用某种算法将D划分成K个子集,要求每个子集内部的元素之间相似度尽可能高,而不同子集的元素相似度尽可能低。聚类分析是一种无监督的观察式学习方法,在聚类前可以不知道类别甚至不用给定类别数量。目前聚类广泛应用于统计学、生物学、数据库技术和市场营销等领域。

聚类算法有很多种,如K-means(K均值聚类)、K中心聚类、密度聚类、谱系聚类、最大期望聚类等。这里我们重点介绍K-means聚类算法,该算法的基本思想是以空间中K个点为中心进行聚类,对最靠近它们的对象归类。通过迭代的方法,逐次更新各聚类中心的值,直至得到最好的聚类结果。K-means算法实现简单、计算速度快、原理易于理解、具有理想的聚类效果,因此该算法是公认的经典数据挖掘方法之一。

例如对于常见的二维数据集,设计K-means聚类方法,对80个二维数据点进行聚类分析。K-means算法的Python语言实现及处理过程如下:

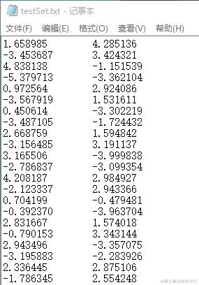
如下图所示的80个二维样本数据集,存储为testSet文本文档。经过数据预处理和简单分析,得知该数据集共有4个类别,因而能确定聚类数K为4。

640?wx_fmt=png

首先导入必要的模块:

import kmeans
import numpy as np
import matplotlib.pyplot as plt
from math import sqrt

(1) 从文件加载数据集
构建数据矩阵,从文本中逐行读取数据,形成供后继使用的数据矩阵。

dataSet=[]
fileIn=open('testSet.txt')
for line in fileIn.readlines():
    lineArr=line.strip().split('\t')
    dataSet.append([float(lineArr[0]),float(lineArr[1])])

(2) 调用kmeans算法进行数据聚类
通过以下命令调用设计的kmeans模块,进行数据聚类。

dataSet=np.mat(dataSet)
k=4
centroids,clusterAssment=kmeans.kmeanss(dataSet,k)

kmeans模块主要包含如下几个函数。
距离度量函数。这里使用的是欧氏距离,计算过程如下:

def eucDistance(vec1,vec2):
   return sqrt(sum(pow(vec2-vec1,2)))

初始聚类中心选择。从数据集中随机选择K个数据点,用作初始聚类中心。

def initCentroids(dataSet,k):
    numSamples,dim=dataSet.shape
    centroids=np.zeros((k,dim))
    for i in range(k):
        index=int(np.random.uniform(0,numSamples))
        centroids[i,:]=dataSet[index,:]
    return centroids

K-Means 聚类算法。该算法会创建k个质心,然后将每个点分配到最近的质心,再重新计算质心。这个过程重复数次,直到数据点的簇分配结果不再改变位置。

def kmeanss(dataSet,k):
numSamples=dataSet.shape[0]
    clusterAssement=np.mat(np.zeros((numSamples,2)))
    clusterChanged=True
    ##step1:init centroids
    centroids=initCentroids(dataSet,k)

    while clusterChanged:
        clusterChanged=False
        for i in range(numSamples):
            minDist = 100000.0
            minIndex=0
            ##step2 find the centroid who is closest
            for j in range(k):
                distance=eucDistance(centroids[j,:],dataSet[i,:])
                if distance < minDist:
                    minDist=distance
                    minIndex=j
            ##step3: update its cluster
            clusterAssement[i,:]=minIndex,minDist**2
            if clusterAssement[i,0]!=minIndex:
                clusterChanged=True
        ##step4: update centroids
        for j in range(k):
            pointsInCluster=dataSet[np.nonzero(clusterAssement[:,0].A==j)[0]]
            centroids[j,:]=np.mean(pointsInCluster,axis=0)
    print ('Congratulations,cluster complete!')
    return centroids,clusterAssement

聚类结果显示。将聚类划分在的不同簇的数据,用不同的颜色和符号进行显示,同时画出最终的聚类中心。

def showCluster(dataSet,k,centroids,clusterAssement):
    numSamples,dim=dataSet.shape
mark=['or','ob','og','ok','^r','+r','<r','pr']
    if k > len(mark):
        print("Sorry!")
        return 1
    for i in np.xrange(numSamples):
        markIndex=int(clusterAssement[i,0])
        plt.plot(centroids[i,0],centroids[i,1],mark[i],markersize=12)
    plt.show()

(3) 聚类结果显示

对80个二维数据,使用K-means方法进行聚类,聚类结果如图13-5所示,迭代后的聚类中心用方形表示,其他数据用不同颜色的原点表示。

640?wx_fmt=png

图:二维数据的聚类结果

留言回复你在机器学习方面做过哪些有趣的应用,我们会在留言中随机抽取一位读者免费送出北京大学出版社出版的《Python 3 数据分析与机器学习实战》图书一本。

热 门 推 荐
为你的Python程序加密
用Python开发计时器程序
用Python爬取WordPress官网所有插件

用OpenCV和OCR识别图片中的表格数据
推荐Python中文社区旗下的几个服务类公众号\

640?wx_fmt=jpeg本文摘自北京大学出版社出版的《Python 3 数据分析与机器学习实战》,本书参加了京东春季福利,满100减50,点击阅读原文即可购买。