Python 城市公交网络分析与可视化

111 阅读13分钟

一、数据查看和预处理

数据获取自高德地图API,包含了天津市公交线路和站点名称及其经纬度数据

import pandas as pd

df = pd.read_excel('site_information.xlsx')
df.head()

字段说明:

  • 线路名称:公交线路的名称
  • 上下行:0表示上行;1表示下行
  • 站序号:公交线路上行或下行依次经过站的序号
  • 站名称:站点名称
  • 经度(分):站点的经度
  • 纬度(分):站点的纬度

数据字段少,结构也比较简单,下面来充分了解我们的数据和进行预处理。总的数据有 30396 条,站名称缺失了 5 条,纬度(分)缺失了 1 条,经度(分)缺失了 38 条,为了处理方便,直接把有缺失值的行删除。

经纬度数据是7031.982、2348.1016这样的,需要将其转换为以度为单位。

df2 = df1.copy()
df2['经度(分)'] = df1['经度(分)'].apply(float) / 60
df2['纬度(分)'] = df1['纬度(分)'].apply(float) / 60
df2.head()

处理后的数据里,共有 618 条公交线路,4851个站点数据。

重新保存为处理后数据

df2.to_excel("处理后数据.xlsx", index=False)

二、数据分析

分析天津市公交站点的分布情况

# -*- coding: UTF-8 -*-
"""
@Author  :叶庭云
@公众号  :修炼Python
@CSDN    :https://yetingyun.blog.csdn.net/
"""
import pandas as pd
import matplotlib.pyplot as plt
import matplotlib as mpl
import random

df = pd.read_excel("处理后数据.xlsx")
x_data = df['经度(分)']
y_data = df['纬度(分)']
colors = ['#FF0000''#0000CD''#00BFFF''#008000''#FF1493''#FFD700''#FF4500''#00FA9A''#191970''#9932CC']
colors = [random.choice(colors) for i in range(len(x_data))]
mpl.rcParams['font.family'] = 'SimHei'
plt.style.use('ggplot')
# 设置大小
plt.figure(figsize=(126), dpi=200)
# 绘制散点图  经度  纬度  传进去   设置 颜色  点的大小
plt.scatter(x_data, y_data, marker="o", s=9., c=colors)

# 添加描述信息 x轴 y轴 标题
plt.xlabel("经度")
plt.ylabel("纬度")
plt.title("天津市公交站点分布情况")
plt.savefig('经纬度散点图.png')
plt.show()

结果如下:

通过 matplotlib 绘制散点图可视化天津市公交站点的分布情况,容易看出天津市的公交热点分布区域。为了能更形象地分析公交线路网络,我们还可以将数据可视化在实际地图上,利用 Pyecharts 的BMap

# -*- coding: UTF-8 -*-
"""
@Author  :叶庭云
@公众号  :修炼Python
@CSDN    :https://yetingyun.blog.csdn.net/
"""
import pandas as pd
from pyecharts.charts import BMap
from pyecharts import options as opts
from pyecharts.globals import CurrentConfig

# 引用本地js资源渲染
CurrentConfig.ONLINE_HOST = 'D:/python/pyecharts-assets-master/assets/'

df = pd.read_excel('处理后数据.xlsx', encoding='utf-8')
df.drop_duplicates(subset='站名称', inplace=True)
longitude = list(df['经度(分)'])
latitude = list(df['纬度(分)'])
datas = []
a = []
for i, j in zip(longitude, latitude):
    a.append([i, j])

datas.append(a)
print(datas)

BAIDU_MAP_AK = "改成你的百度地图AK"

c = (
    BMap(init_opts=opts.InitOpts(width="1200px", height="800px"))
    .add_schema(
        baidu_ak=BAIDU_MAP_AK,     # 申请的BAIDU_MAP_AK
        center=[117.2039.13],    # 天津市经纬度中心
        zoom=10,
        is_roam=True,
    )
    .add(
        "",
        type_="lines",
        is_polyline=True,
        data_pair=datas,
        linestyle_opts=opts.LineStyleOpts(opacity=0.2, width=0.5, color='red'),
        # 如果不是最新版本的话可以注释下面的参数(效果差距不大)
        progressive=200,
        progressive_threshold=500,
    )
)

c.render('公交网络地图.html')

结果如下:

在实际地图上可以看到,和平区、南开区公交线路网络密集,交通便利。

公交线路网络中 i 节点代表第 i 条线路,其中节点 i 的度定义为与线路 i 可以经过换乘能够到达的线路的数目,线路网络中度的大小反映了该条公交线路与其他线路的连通程度,构建算法分析公交线路网络中节点度的分布。

# -*- coding: UTF-8 -*-
"""
@Author  :叶庭云
@公众号  :修炼Python
@CSDN    :https://yetingyun.blog.csdn.net/
"""
import xlrd
import matplotlib.pyplot as plt
import pandas as pd
import matplotlib as mpl


df = pd.read_excel("site_information.xlsx")
# 用pandas的操作去重   得到每条线路的名称
loc = df['线路名称'].unique()
# 得到每一条线路名称的列表
line_list = list(loc)
print(line_list)

# 打开Excel表格
data = xlrd.open_workbook("site_information.xlsx")
# print(data)   # <xlrd.book.Book object at 0x000001F1111C38D0> 在内存中
# 获取特定Sheet  索引为0  也就是第一个表
table = data.sheets()[0]  # 从零开始
# 每条线路对应有哪些站点  字典推导式
site_dic = {k: [] for k in line_list}
site_list = []
for i in range(1, table.nrows):
    # 每一行的数据   返回的是一个列表
    x = table.row_values(i)
    if x[1] == "0":
        # 上行   站点数据  每条线路对应有哪些站点 添加进列表
        site_dic[x[0]].append(x[3])
        site_list.append(x[3])
    else:
        continueprint(len(site_dic))   # 618条线路
# print(len(site_list))  # 15248条站点数据
print(f"公交网络共有 {len(line_list)} 条线路")   # 618条线路

# 先初始化一个统计每个节点的度的列表  与线路名称列表里的索引一一对应
node_count = [m * 0 for m in range(len(line_list))]
# 以每条线路为一个节点  线路名称为键      值为一个列表  里面包含每条路线上行经过的所有站点
sites = [site for site in site_dic.values()]
# print(sites)
for j in range(len(sites)):  # 类似冒泡法排序  比较多少趟
    for k in range(j, len(sites) - 1):  # 每趟比较后  往后推一个  直到比较完  和防止越界
        if len(sites[j]) > len(sites[k + 1]):
            for x in sites[j]:
                if x in sites[j] and x in sites[k + 1]:   # 只要这两条线路有公共站点  节点度数加1
                    node_count[j], node_count[k + 1] = node_count[j] + 1, node_count[k + 1] + 1
                    break   # 两条线路对应在列表索引的值加1   这两条线的比较结束
        else:
            for x in sites[k + 1]:
                if x in sites[j] and x in sites[k + 1]:   # 只要这两条线路有公共站点  节点度数加1
                    node_count[j], node_count[k + 1] = node_count[j] + 1, node_count[k + 1] + 1
                    break   # 两条线路对应在列表索引的值加1   这两条线的比较结束
# print(node_count)
# 节点编号 与 节点的度数索引对应
node_number = [y for y in range(len(node_count))]
# 线性网络度的最大值   175
print(f"线路网络的度的最大值为:{max(node_count)}")
print(f"线路网络的度的最小值为:{min(node_count)}")
print(f"线路网络的度的平均值为:{sum(node_count) / len(node_count)}")
# 设置大小  图的像素
# 设置字体   matplotlib 不支持显示中文  自己本地设置
plt.figure(figsize=(106), dpi=150)
mpl.rcParams['font.family'] = 'SimHei'

# 绘制每个节点度的分布
plt.bar(node_number, node_count, color="purple")

# 添加描述信息
plt.xlabel("节点编号n")
plt.ylabel("节点的度数K")
plt.title("线路网络中各节点的度的大小分布", fontsize=15)
plt.savefig("线路网络中各节点的度的大小.png")
plt.show()

结果如下:

公交网络共有 618 条线路
线路网络的度的最大值为:175
线路网络的度的最小值为:0
线路网络的度的平均值为:55.41423948220065

import xlrd
import matplotlib.pyplot as plt
import pandas as pd
import matplotlib as mpl
import collections

df = pd.read_excel("site_information.xlsx")
# 用pandas的操作去重   得到每条线路的名称
loc = df['线路名称'].unique()
# 得到每一条线路名称的列表
line_list = list(loc)
print(line_list)

# 打开Excel表格
data = xlrd.open_workbook("site_information.xlsx")
# print(data)   # <xlrd.book.Book object at 0x000001F1111C38D0> 在内存中
# 获取特定Sheet  索引为0  也就是第一个表
table = data.sheets()[0]  # 从零开始
# 每条线路对应有哪些站点  字典推导式
site_dic = {k: [] for k in line_list}
site_list = []
for i in range(1, table.nrows):
    # 每一行的数据   返回的是一个列表
    x = table.row_values(i)
    if x[1] == "0":
        # 上行   站点数据  每条线路对应有哪些站点 添加进列表
        site_dic[x[0]].append(x[3])
        site_list.append(x[3])
    else:
        continueprint(len(site_dic))   # 618条线路
# print(len(site_list))  # 15248条站点数据
# 先初始化一个统计每个节点的度的列表  与线路名称列表里的索引一一对应
node_count = [m * 0 for m in range(len(line_list))]
# 以每条线路为一个节点  线路名称为键      值为一个列表  里面包含每条路线上行经过的所有站点
sites = [site for site in site_dic.values()]
# print(sites)
for j in range(len(sites)):  # 类似冒泡法排序  比较多少趟
    for k in range(j, len(sites) - 1):  # 每趟比较后  往后推一个  直到比较完  和防止越界
        if len(sites[j]) > len(sites[k + 1]):
            for x in sites[j]:
                if x in sites[j] and x in sites[k + 1]:   # 只要这两条线路有公共站点  节点度数加1
                    node_count[j], node_count[k + 1] = node_count[j] + 1, node_count[k + 1] + 1
                    break   # 两条线路对应在列表索引的值加1   这两条线的比较结束
        else:
            for x in sites[k + 1]:
                if x in sites[j] and x in sites[k + 1]:   # 只要这两条线路有公共站点  节点度数加1
                    node_count[j], node_count[k + 1] = node_count[j] + 1, node_count[k + 1] + 1
                    break   # 两条线路对应在列表索引的值加1   这两条线的比较结束
# print(node_count)
# 节点编号 与 节点的度数索引对应
node_number = [y for y in range(len(node_count))]
# 线性网络度的最大值   175print(max(node_count))

# 设置大小  图的像素
# 设置字体   matplotlib 不支持显示中文  自己本地设置
plt.figure(figsize=(106), dpi=150)
mpl.rcParams['font.family'] = 'SimHei'

# 分析节点的度K的概率分布
# 统计节点的度为K的 分别有多少个
node_count = collections.Counter(node_count)
node_count = node_count.most_common()
# 点
node_dic = {_k: _v for _k, _v in node_count}
# 按键从小到大排序   得到一个列表  节点的度
sort_node = sorted(node_dic)
# 按顺序得到键对应的值   即有相同节点的度的个数
sort_num = [node_dic[q] for q in sort_node]
# 概率分布中度平均值  总的度数加起来  / 个数
# print(sum(sort_node)/len(sort_node))
# 概率分布中最大的度值   也就个数最多那个
print(f"概率分布中概率最大的度值为:{max(sort_num)}")

probability = [s1 / sum(sort_num) for s1 in sort_num]   # 概率分布
print(probability)

# 天津市公交线路节点概率分布图像
plt.bar(sort_node, probability, color="red")
# 添加描述信息
plt.xlabel("节点的度K")
plt.ylabel("节点度为K的概率P(K)")
plt.title("线路网络中节点度的概率分布", fontsize=15)

plt.savefig("线路网络中节点度的概率分布.png")
plt.show()

结果如下:

概率分布中概率最大的度值为:16

天津市公交线路网络的度分布如上图所示,本文收集的天津市线路网络共有 618 条线路组成,线路网络的度的最大值为175。概率分布中概率最大的度值为16度平均值为55.41,表明天津市公交网络提供的换乘机会较多,使得可达性较高。其中概率较大的度值大多集中在 7~26 之间,使得节点强度分布相对来说不够均匀,造成天津市很多路段公交线路较少,少数路段经过线路过于密集,造成资源的浪费。

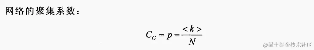
聚类系数是研究节点邻居之间的连接紧密程度,因此不必考虑边的方向。对于有向图,将其当成无向图来处理。网络聚类系数大,表明网络中节点与其附近节点之间的连接紧密度程度高,即与实际站点之间的公交线路连接密集。计算得到天津公交复杂网络的聚类系数为0.091,相对其他城市较低。

根据公式:同规模的随机网络聚集系数约为0.00044,进一步体现了网络的小世界特性

Python代码如下:

import xlrd
import matplotlib.pyplot as plt
import pandas as pd
import matplotlib as mpl


# 读取数据
df = pd.read_excel("site_information.xlsx")
# 用pandas的操作去重   得到每条线路的名称
loc = df['线路名称'].drop_duplicates()
# 得到每一条线路名称的列表  按照Excel表里以次下去的顺序
line_list = list(loc)
# print(line_list)

# 打开Excel表格
data = xlrd.open_workbook("site_information.xlsx")
# print(data)   # <xlrd.book.Book object at 0x000001F1111C38D0> 在内存中
# 获取特定Sheet  索引为0  也就是第一个表
table = data.sheets()[0]  # 从零开始
# 每条线路对应有哪些站点  字典推导式
site_dic = {k: [] for k in line_list}
site_list = []
for i in range(1, table.nrows):
    # 每一行的数据   返回的是一个列表
    x = table.row_values(i)
    if x[1] == "0":
        # 只取上行站点数据  每条线路对应有哪些站点 添加进列表
        site_dic[x[0]].append(x[3])
        site_list.append(x[3])
    else:
        continueprint(len(site_dic))   # 618条线路
# print(len(site_list))  # 15248条站点数据
# 先初始化一个统计每个节点的度的列表  与线路名称列表里的索引一一对应
node_count = [m * 0 for m in range(len(line_list))]
# 以每条线路为一个节点  线路名称为键      值为一个列表  里面包含每条路线上行经过的所有站点
sites = [site for site in site_dic.values()]
# print(sites)
# 统计各节点的度
for j in range(len(sites) - 1):  # 类似冒泡法排序  比较多少趟
    for k in range(j, len(sites) - 1):  # 每趟比较后  往后推一个  直到比较完  和防止越界
        if len(sites[j]) > len(sites[k + 1]):
            for x in sites[j]:
                if x in sites[j] and x in sites[k + 1]:   # 只要这两条线路有公共站点  节点度数加1
                    node_count[j], node_count[k + 1] = node_count[j] + 1, node_count[k + 1] + 1
                    break   # 两条线路对应在列表索引的值加1   这两条线的比较结束
        else:
            for x in sites[k + 1]:
                if x in sites[j] and x in sites[k + 1]:   # 只要这两条线路有公共站点  节点度数加1
                    node_count[j], node_count[k + 1] = node_count[j] + 1, node_count[k + 1] + 1
                    break   # 两条线路对应在列表索引的值加1   这两条线的比较结束

# 找到该节点的邻居节点  邻居节点间实际的边数
Ei = []
# 对每条线路进行找邻接节点  并统计其邻接节点点实际的边数
for a in range(len(sites)):
    neighbor = []
    if node_count[a] == 0:
        Ei.append(0)
        continue
    if node_count[a] == 1:
        Ei.append(0)
        continue
    for b in range(len(sites)):
        if a == b:    # 自身  不比
            continue
        if len(sites[a]) > len(sites[b]):   # 从站点多的线路里选取站点   看是否有公共站点
            for x in sites[a]:
                if x in sites[a] and x in sites[b]:  # 找到邻居节点
                    neighbor.append(sites[b])
                    break
        else:
            for x in sites[b]:
                if x in sites[a] and x in sites[b]:  # 找到邻居节点
                    neighbor.append(sites[b])
                    break
    # 在邻居节点中判断这些节点的实际边数  又类似前面的方法  判断两两是否相连
    count = 0
    for c in range(len(neighbor) - 1):
        for d in range(c, len(neighbor) - 1):  # 每趟比较后  往后推一个  直到比较完  和防止越界
            try:
                if len(sites[c]) > len(sites[d + 1]):
                    for y in sites[c]:
                        if y in sites[c] and y in sites[d + 1]:  # 邻居节点这两个也相连
                            count += 1
                            break
                        else:
                            continue
                else:
                    for y in sites[d + 1]:
                        if y in sites[c] and y in sites[d + 1]:  # 邻居节点这两个也相连
                            count += 1
                            break
                        else:
                            continue
            except IndexError:
                break
    Ei.append(count)

# 每个节点的邻居节点间实际相连的边数
# print(Ei)
# 节点编号 与 节点的度数索引对应
node_number = [y for y in range(len(node_count))]

# 设置字体   matplotlib 不支持显示中文  自己本地设置
mpl.rcParams['font.family'] = 'SimHei'
# 设置大小  图的像素
plt.figure(figsize=(106), dpi=150)
# 公交线路网络的聚类系数分布图像   相邻节点的连通程度
Ci = []
for m in range(len(node_number)):
    if node_count[m] == 0:
        Ci.append(0)
    elif node_count[m] == 1:
        Ci.append(0)

    else:  # 2 * 该节点邻居节点实际连接边数 / 最大边数
        Ci.append(2 * Ei[m] / (node_count[m] * (node_count[m] - 1)))

# 各节点邻居节点的连通程度 计算平均聚类系数
print("天津市公交线路网络平均聚类系数为:{:.4f}".format(sum(Ci) / len(Ci)))
plt.bar(node_number, Ci, color="blue")

# 添加描述信息
plt.xlabel("节点编号n")
plt.ylabel("节点的聚类系数")
plt.title("线路网络中各节点的聚类系数分布", fontsize=15)

plt.savefig("聚类系数分布.png")
plt.show()

结果如下:

天津市公交线路网络平均聚类系数为:0.0906

更多阅读

2020 年最佳流行 Python 库 Top 10\

2020 Python中文社区热门文章 Top 10\

5分钟快速掌握 Python 定时任务框架\

特别推荐\

\

点击下方阅读原文加入 社区会员