CTF竞赛密码学之 LFSR

397 阅读9分钟

概述:

线性反馈移位寄存器(LFSR)归属于移位寄存器(FSR),除此之外还有非线性移位寄存器(NFSR)。移位寄存器是流密码产生密钥流的一个主要组成部分。

GF(2)GF(2)上一个n级反馈移位寄存器由n个二元存储器与一个反馈函数f(a1,a2,...,an)f(a_1,a_2,...,a_n)组成,如下图所示。

FSR.png

移位寄存器的三要素:

  • 初始状态:由用户确定
  • 反馈函数:f(a1,a2,...,an)f(a_1,a_2,...,a_n)是n元布尔函数,即函数的自变量和因变量只取0和1这两个可能值
  • 输出序列

如果反馈函数是线性的,那么我们称其为 LFSR,如下图所示:

LFSR.png

LFSR的输出序列{ ana_n }满足:

f(a1,a2,...,an)=c1anc2an1...cna1f(a_1,a_2,...,a_n) = c_1a_n⊕c_2a_{n-1}⊕...⊕c_na_1

  • an+1=c1anc2an1...cna1a{n+1} = c_1a_n⊕c_2a{n-1}⊕...⊕c_na_1
  • an+2=c1an+1c2an...cna2a{n+2} = c_1a{n+1}⊕c_2a_n⊕...⊕c_na_2
  • .....
  • an+i=c1an+i1c2an+i2...cnaia{n+i} = c_1a{n+i-1}⊕c_2a_{n+i-2}⊕...⊕c_na_i(i = 1,2,3,...)

举例:

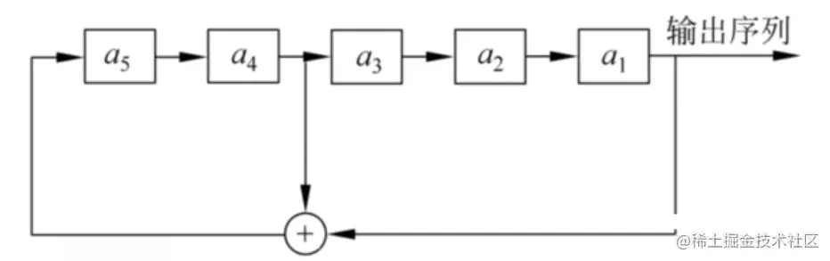
下面是一个5级的线性反馈移位寄存器,其初始状态为(a1,a2,...,an)=(1,0,0,1,1)(a_1,a_2,...,a_n)= (1,0,0,1,1)

例图.png

反馈函数为:a5+i=a3+iaia{5+i} = a{3+i}⊕a_i,(i = 1,2,...)可以得到输出序列为:

1001101001000010101110110001111 100110…

周期为31。

对于 n 级线性反馈移位寄存器,最长周期为2n12^n-1(排除全零)。达到最长周期的序列一般称为 m 序列

本文涉及相关实验:CTFCrypto练习之替换密码 (本实验主要介绍了CTFCrypto练习之替换密码,通过本实验的学习,你能够了解CTF竞赛中的密码学题型,掌握凯撒密码破解方法,学会基于频率的替换密码破解方法。)

解决LFSR问题

Part(1) 2018 强网杯 Streamgame1

考点:已知反馈函数,输出序列,求逆推出初始状态

题目:

from flag import flag
assert flag.startswith("flag{")
assert flag.endswith("}")
# 作用:判断字符串是否以指定字符 开头或结尾
assert len(flag)==25

def lfsr(R,mask):
    output = (R << 1) & 0xffffff #将R向左移动1位,bin(0xffffff)='0b111111111111111111111111'
    i=(R&mask)&0xffffff          #按位与运算符&:参与运算的两个值,如果两个相应位都为1,则该位的结果为1,否则为0
    lastbit=0
    while i!=0:
        lastbit^=(i&1)           #按位异或运算,得到输出序列
        i=i>>1
    output^=lastbit              #将输出值写入 output的后面
    return (output,lastbit)

R=int(flag[5:-1],2)  #flag为二进制数据
mask    =   0b1010011000100011100

f=open("key","ab")   #以二进制追加模式打开
for i in range(12):
    tmp=0
    for j in range(8):
        (R,out)=lfsr(R,mask)
        tmp=(tmp << 1)^out
    f.write(chr(tmp))   #将lfsr输出的序列每8个二进制为一组,转化为字符,共12组
f.close()

考点:

def lfsr(R,mask):
    output = (R << 1) & 0xffffff  
    i=(R&mask)&0xffffff          
    lastbit=0
    while i!=0:
        lastbit^=(i&1)           
        i=i>>1     # R和mask进行异或操作,得到输出序列值
    output^=lastbit     #将输出值设置为output的最后一位
    return (output,lastbit)

题目已知条件为 flag长度为19bits,mask长度也为19bits.

由LFSR的输出序列{ ana_n }满足的条件:

  • an+i=c1an+i1c2an+i2...cnaia{n+i} = c_1a{n+i-1}⊕c_2a_{n+i-2}⊕...⊕c_na_i(i = 1,2,3,...)

可知,输出值an+ia{n+i}的结果与c的值相关,即题目中的mask。只有当c的值为1时,c1an+i1,...,cnaic_1a{n+i-1},...,c_na_i的值才可能为1

题目中mask中只有第(3,4,5,9,13,14,17,19)位为1,其余都是0(mask这里右边才是第一位,从右往左增大)

现在我们的目的就是为了求出前19位seed的值,而我们已知了seed后面输出序列的值(题目中给的附件key.txt)。那么我们逆推就能得到seed的值了。lfsr(R,mask)函数执行的是19bits的值。那么我们获取到输出序列前19bits值,即:

key = 0101010100111000111

现在需要计算a19a{19}的值,假设我们将 R = a19010101010011100011a{19}010101010011100011,进行lfsr(R,mask)运算,那么我们将得到输出值为 key[-1]=1。

因为mask中只有第(3,4,5,9,13,14,17,19)位为1,所以线性反馈函数只取这几位对应的a值

1=a19a_{19}^(R[-3])^(R[-4])^(R[-5])^(R[-9])^(R[-13])^(R[-14])^(R[-17])

得1=a19a{19}^0,得到a19a{19}=1

同理:R = a18a1901010101001110001a{18}a{19}01010101001110001 的输出值为 key[-2]=1,求得a18a_{18}=1

第一种方法

#python3
from Crypto.Util.number import*

f = open('key.txt','rb').read()
r = bytes_to_long(f)
bin_out = bin(r)[2:].zfill(12*8)
R = bin_out[:19]    #获取输出序列中与掩码msk长度相同的值
print(R)
mask = '1010011000100011100'  #顺序 c_n,c_n-1,。。。,c_1
key =  '0101010100111000111'

R = ''
for i in range(19):
    output = 'x'+key[:18]
    out = int(key[-1])^int(output[-3])^int(output[-4])^int(output[-5])^int(output[-9])^int(output[-13])^int(output[-14])^int(output[-17])
    R += str(out)
    key = str(out)+key[:18]

print('flag{'+R[::-1]+'}')

第二种方法

seed值只可能是0和1构成,所以猜就行了。

from Crypto.Util.number import*
import os,sys
os.chdir(sys.path[0])

f = open('key.txt','rb').read()
c = bytes_to_long(f)
bin_out = bin(c)[2:].zfill(12*8)   #将key文本内容转换为 2 进制数,每个字节占 8 位

R = bin_out[0:19]  #取输出序列的前19位
mask = 0b1010011000100011100

def lfsr(R,mask):
    output = (R << 1) & 0xffffffff
    i=(R&mask)&0xffffffff
    lastbit=0
    while i!=0:
        lastbit^=(i&1)
        i=i>>1
    output^=lastbit
    return (output,lastbit)

#根据生成规则,初始状态最后一位拼接输出序列
#我们可以猜测seed的第19位(0或1),如果seed19+R[:18]输出值等于R[:19],那么就可以确定seed值了
def decry():
    cur = bin_out[0:19]      #前19位 2 进制数
    res = ''
    for i in range(19):
        if lfsr(int('0'+cur[0:18],2),mask)[0] == int(cur,2):
            res += '0'
            cur = '0'+cur[0:18]
        else:
            res += '1'
            cur = '1' + cur[0:18]
    return int(res[::-1],2)

r = decry()
print(bin(r))

第三种方法

import os,sys
os.chdir(sys.path[0])
from Crypto.Util.number import *
key = '0101010100111000111'
mask = 0b1010011000100011100

R = ""
index = 0
key = key[18] + key[:19]
while index < 19:
    tmp = 0
    for i in range(19):
        if mask >> i & 1:
            tmp ^= int(key[18 - i])
    R += str(tmp)
    index += 1
    key = key[18] + str(tmp) + key[1:18]

print (R[::-1])

Part(1) 2018 强网杯 Streamgame2

考点:已知反馈函数,输出序列,求逆推出初始状态

题目

from flag import flag
assert flag.startswith("flag{")
assert flag.endswith("}")
assert len(flag)==27

def lfsr(R,mask):
    output = (R << 1) & 0xffffff
    i=(R&mask)&0xffffff
    lastbit=0
    while i!=0:
        lastbit^=(i&1)
        i=i>>1
    output^=lastbit
    return (output,lastbit)

R=int(flag[5:-1],2)
mask=0x100002

f=open("key","ab")
for i in range(12):
    tmp=0
    for j in range(8):
        (R,out)=lfsr(R,mask)
        tmp=(tmp << 1)^out
    f.write(chr(tmp))
f.close()

解法与 2018 强网杯 Streamgame1不能说是毫不相干,简直是一m0一样

from Crypto.Util.number import*
bin_out = open('key.txt','rb').read()
key = bin(bytes_to_long(bin_out))[2:]
# print(key[0:21])
# print(bin(int('0x100002',16)))
key = '101100101110100100001'
mask= '100000000000000000010'

R = ''
for i in range(21):
    output = '?' + key[:20]
    ans = int(key[-1]) ^ int(output[-2])
    R += str(ans)
    key = str(ans) + key[:20]

print(R[::-1])

Part(3) [CISCN2018]oldstreamgame

考点:和前面的题目一样都是给出输出序列和反馈函数,求seed(初始状态)

题目:

flag = "flag{xxxxxxxxxxxxxxxx}"
assert flag.startswith("flag{")
assert flag.endswith("}")
assert len(flag)==14

def lfsr(R,mask):
    output = (R << 1) & 0xffffffff
    i=(R&mask)&0xffffffff
    lastbit=0
    while i!=0:
        lastbit^=(i&1)
        i=i>>1
    output^=lastbit
    return (output,lastbit)

R=int(flag[5:-1],16)
mask = 0b10100100000010000000100010010100

f=open("key","w")
for i in range(100):
    tmp=0
    for j in range(8):
        (R,out)=lfsr(R,mask)
        tmp=(tmp << 1)^out
    f.write(chr(tmp))
f.close()

exp

#python3 
import os,sys
os.chdir(sys.path[0])
from Crypto.Util.number import*
f = open('key.txt','rb').read()
key = bytes_to_long(f)
bin_out = bin(key)[2:].zfill(100*8)
# print(bin_out[:32]) #前32位就是key
key =  '00100000111111011110111011111000'
mask = '10100100000010000000100010010100'

R = ''
for i in range(32):
    output = 'x' + key[:31]
    ans = int(key[-1]) ^ int(output[-3]) ^ int(output[-5]) ^ int(output[-8]) ^ int(output[-12]) ^ int(output[-20]) ^ int(output[-27]) ^ int(output[-30])
    R += str(ans)
    key = str(ans) + key[:31]

R = str(hex(int(R[::-1],2))[2:])
flag = "flag{" + R + "}"
print(flag)

Part(4) [De1CTF2019]Babylfsr

考点:B-M 算法

题目给了度为256的lfsr,和输出长度为504的输出序列,并提示了FLAG的特征。

在CTFWiki中有介绍道 B-M 算法:如果我们知道了长度为 2n 的输出序列,那么就可以通过构造矩阵来求出 mask,时间复杂度:O(n2)O(n^2) 次比特操作,空间复杂度:O(n)O(n) 比特。

题目:

import hashlib
from secret import KEY,FLAG,MASK
assert(FLAG=="de1ctf{"+hashlib.sha256(hex(KEY)[2:].rstrip('L')).hexdigest()+"}")
assert(FLAG[7:11]=='1224')
LENGTH = 256
assert(KEY.bit_length()==LENGTH)
assert(MASK.bit_length()==LENGTH)
def pad(m):
    pad_length = 8 - len(m)
    return pad_length*'0'+m
class lfsr():
    def __init__(self, init, mask, length):
        self.init = init
        self.mask = mask
        self.lengthmask = 2**(length+1)-1

    def next(self):
        nextdata = (self.init << 1) & self.lengthmask 
        i = self.init & self.mask & self.lengthmask 
        output = 0
        while i != 0:
            output ^= (i & 1)
            i = i >> 1
        nextdata ^= output
        self.init = nextdata
        return output
if __name__=="__main__":
    l = lfsr(KEY,MASK,LENGTH)
    r = ''
    for i in range(63):
        b = 0
        for j in range(8):
            b = (b<<1)+l.next()
        r += pad(bin(b)[2:])
    with open('output','w') as f:
        f.write(r)
        

这题中输出序列只给出了504个值,根据 B-M 算法,我们需要确定512个值 (即长度为2n的序列,n为lfsr的度,这里是256) 才能求出 mask ,所以我们可以爆破序列后面缺失的 8 位,可以得到 256 种 mask 可能值,用这 256 个 mask 恢复出 256 个key 值,再用限制条件筛选出 flag.

#sage
import hashlib

key = '001010010111101000001101101111010000001111011001101111011000100001100011111000010001100101110110011000001100111010111110000000111011000110111110001110111000010100110010011111100011010111101101101001110000010111011110010110010011101101010010100101011111011001111010000000001011000011000100000101111010001100000011010011010111001010010101101000110011001110111010000011010101111011110100011110011010000001100100101000010110100100100011001000101010001100000010000100111001110110101000000101011100000001100010'

#将二进制数据填充为8位
def pad(x):
    pad_length = 8 - len(x)
    return '0'*pad_length+x  

# 获取 256个 key 可能值
def get_key(mask,key):
    R = ""
    index = 0
    key = key[255] + key[:256]
    while index < 256:
        tmp = 0
        for i in range(256):
            if mask >> i & 1:
                # tmp ^= int(key[255 - i])
                tmp = (tmp+int(key[255-i]))%2
        R = str(tmp) + R
        index += 1
        key = key[255] + str(tmp) + key[1:255]
    return int(R,2)

# 将二进制流转化为十进制
def get_int(x):
    m=''
    for i in range(256):
        m += str(x[i])
    return (int(m,2))

# 获取到256个 mask 可能值,再调用 get_key()函数,获取到key值,将结果导入到 sm 中
sm = []
for pad_bit in range(2**8):   #爆破rr中缺失的8位
    r = key+pad(bin(pad_bit)[2:])
    index = 0
    a = []
    for i in range(len(r)):
        a.append(int(r[i]))       #将 r 转换成列表a = [0,0,1,...,]格式    
    res = []
    for i in range(256):
        for j in range(256):
            if a[i+j]==1:
                res.append(1)
            else:
                res.append(0)
    sn = []
    for i in range(256):
        if a[256+i]==1:
            sn.append(1)
        else:
            sn.append(0)
    MS = MatrixSpace(GF(2),256,256)        #构造 256 * 256 的矩阵空间
    MSS = MatrixSpace(GF(2),1,256)         #构造 1 * 256 的矩阵空间
    A = MS(res)
    s = MSS(sn)                       #将 res 和 sn 的值导入矩阵空间中
    try:
        inv = A.inverse()            # 求A 的逆矩阵
    except ZeroDivisionError as e:
        continue
    mask = s*inv                     #构造矩阵求mask,B-M 算法
#     print(mask[0])                  #得到 256 个 mask 值(),type元组
#     print(get_int(mask[0]))
#     print(key_list)
#     print(key[:256])
#     print(hex(solve(get_int(mask[0]),key[:256])))
#     break   
    sm.append(hex(get_key(get_int(mask[0]),key[:256]))) 

# 通过限制条件确定 最终 的flag值
for i in range(len(sm)):
    FLAG = hashlib.sha256(sm[i][2:].encode()).hexdigest()
    if FLAG[:4]=='1224':
        print('flag{'+FLAG+'}')

output:

flag{1224473d5e349dbf2946353444d727d8fa91da3275ed3ac0dedeb7e6a9ad8619}

上面是我关于LFSR学习的一点总结,希望对大家有所帮助,后面会介绍关于LFSR更多的知识点.