LeetCode_二叉树刷题笔记3(Java)

964 阅读5分钟

这个系列主要是记录我刷题的过程。重点是每一类型题解法的循序渐进,按着这个顺序基本每一题都能做出来。而不是某一题的解法,所以适合打算大量刷题的人参考。二叉树相关的刷题顺序是参考 代码随想录,感兴趣的可以到该公众号上下载对应pdf。

LeetCode_二叉树刷题笔记4(java)

LeetCode_二叉树刷题笔记3(Java)

LeetCode_二叉树刷题笔记2(java)

LeetCode_二叉树刷题笔记1(java)

image-20210220190215257

构建二叉树

这类题目一般给你提供中序遍历前序遍历后序遍历的结果,让你构建出二叉树。

或者是按照某些规律拼凑出新的二叉树。

106. 从中序与后序遍历序列构造二叉树

难度中等447

根据一棵树的中序遍历与后序遍历构造二叉树。

注意: 你可以假设树中没有重复的元素。

例如,给出

中序遍历 inorder = [9,3,15,20,7]
后序遍历 postorder = [9,15,7,20,3]

返回如下的二叉树:

    3
   / \
  9  20
    /  \
   15   7

思路

后序是 [9,15,7,20,3],那么该二叉树的根节点值可定是3。

在中序中以3位分割点,那么该二叉树左子树就是[3],右子树就是[15,20,7]

同样切分后序遍历,[3] [15,7,20]。

然后以 [15,20,7]为中序,[15,7,20为后续为右边继续切分。[3] [3]为左边继续切分。

重复上面的逻辑,最终就能重构出二叉树

/**
 * Definition for a binary tree node.
 * public class TreeNode {
 *     int val;
 *     TreeNode left;
 *     TreeNode right;
 *     TreeNode() {}
 *     TreeNode(int val) { this.val = val; }
 *     TreeNode(int val, TreeNode left, TreeNode right) {
 *         this.val = val;
 *         this.left = left;
 *         this.right = right;
 *     }
 * }
 */
class Solution {
  	//记录inorder中值与数组角标的映射关系,通过值能获取角标
  	Map<Integer,Integer> inoderMap = new HashMap();
  	//后续数组
  	int [] mPostoder;
    public TreeNode buildTree(int[] inorder, int[] postorder) {
      for(int i=0;i<inorder.length;++i)
      {
        inoderMap.put(inorder[i],i);
      }
      mPostoder= postorder;

      return buildTreeNode(0,inorder.length-1,0,postorder.length-1);
    }
  	// is:前序数组中开始的位置
  	// ie:前序数组中的结束位置
  	// ps:后续数组中的开始位置
  	// pe:后续数组中的结束位置
  	private TreeNode buildTreeNode(int is,int ie ,int ps,int pe){
      if(ie<is||pe<ps){
        return null;
      }
      //取后续数组中最后的位置,作为root节点
      int rootValue = mPostoder[pe];
      //获取root在中序遍历数组中的位置,该位置ri就是下面的切割点
      int ri = inoderMap.get(rootValue);
      TreeNode root = new TreeNode(rootValue);
      
      //下面是重点,递归加切割逻辑
      // 原来中序数组的左边,原后序数组的左边。作为左子树获取的依据
      root.left = buildTreeNode(is,ri-1,ps,ps+ri-is-1);
      // 原来中序数组的右边,原后序数组的右边。作为右子树获取的依据
      root.right = buildTreeNode(ri+1,ie,ps+ri-is,pe-1);
      
      return root;
    }
}

刚开始做的时候,纠结于数组怎么切,以及怎么递归。后来看到了 图解构造二叉树之中序+后序解法,上面使用HashMap来记录映射关系,逻辑瞬间清晰很多。

其中递归时,切割的index计算参考下面截图(来自图解构造二叉树之中序+后序)

图解构造二叉树之中序+后序中图片

105. 从前序与中序遍历序列构造二叉树

难度中等877

根据一棵树的前序遍历与中序遍历构造二叉树。

注意: 你可以假设树中没有重复的元素。

例如,给出

前序遍历 preorder = [3,9,20,15,7]
中序遍历 inorder = [9,3,15,20,7]

返回如下的二叉树:

    3
   / \
  9  20
    /  \
   15   7

通过次数154,789

提交次数223,985

思路

与上一道思路相似,不过前序的第一个元素为根节点。还有index取值需要注意下,其他逻辑一致:

/**
 * Definition for a binary tree node.
 * public class TreeNode {
 *     int val;
 *     TreeNode left;
 *     TreeNode right;
 *     TreeNode() {}
 *     TreeNode(int val) { this.val = val; }
 *     TreeNode(int val, TreeNode left, TreeNode right) {
 *         this.val = val;
 *         this.left = left;
 *         this.right = right;
 *     }
 * }
 */
class Solution {

    private Map<Integer,Integer> mInorderMap;
    private int [] mPreorder;
    public TreeNode buildTree(int[] preorder, int[] inorder) {
        mInorderMap =new HashMap();
        mPreorder = preorder;
        for(int i =0;i<inorder.length;++i){
            mInorderMap.put(inorder[i],i);
        }
        return buildTreeNode(0,inorder.length-1,0,preorder.length-1);
    }

    private TreeNode buildTreeNode(int is,int ie ,int ps,int pe){
        if(ie<is||pe<ps) return null;

        int rootValue=mPreorder[ps];
        int ri=mInorderMap.get(rootValue);
        TreeNode root = new TreeNode(rootValue);
				//注意这块的is ,ie, ps ,pe取值,最好画图
        root.left = buildTreeNode(is,ri-1,ps+1,ps+ri-is);
        root.right = buildTreeNode(ri+1,ie,ps+ri-is+1,pe);
        return root;
    }
}

654. 最大二叉树

难度中等242

给定一个不含重复元素的整数数组 nums 。一个以此数组直接递归构建的 最大二叉树 定义如下:

  1. 二叉树的根是数组 nums 中的最大元素。
  2. 左子树是通过数组中 最大值左边部分 递归构造出的最大二叉树。
  3. 右子树是通过数组中 最大值右边部分 递归构造出的最大二叉树。

返回有给定数组 nums 构建的 最大二叉树

示例 1:

img

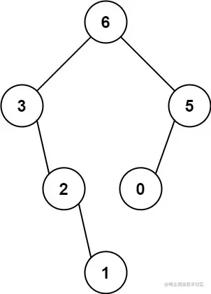
输入:nums = [3,2,1,6,0,5]
输出:[6,3,5,null,2,0,null,null,1]
解释:递归调用如下所示:
- [3,2,1,6,0,5] 中的最大值是 6 ,左边部分是 [3,2,1] ,右边部分是 [0,5] 。
    - [3,2,1] 中的最大值是 3 ,左边部分是 [] ,右边部分是 [2,1] 。
        - 空数组,无子节点。
        - [2,1] 中的最大值是 2 ,左边部分是 [] ,右边部分是 [1] 。
            - 空数组,无子节点。
            - 只有一个元素,所以子节点是一个值为 1 的节点。
    - [0,5] 中的最大值是 5 ,左边部分是 [0] ,右边部分是 [] 。
        - 只有一个元素,所以子节点是一个值为 0 的节点。
        - 空数组,无子节点。

示例 2:

img

输入:nums = [3,2,1]
输出:[3,null,2,null,1]

提示:

  • 1 <= nums.length <= 1000
  • 0 <= nums[i] <= 1000
  • nums 中的所有整数 互不相同

思路

本地核心思路还是递归,需要注意的是不停的缩小数组范围,而不是查分数组。

递归的从数组中获取最大值作为root,然后再以最大值 角标 分割出两个数组范围,作为root的left和right节点的取值范围。然后重复上面逻辑:

/**
 * Definition for a binary tree node.
 * public class TreeNode {
 *     int val;
 *     TreeNode left;
 *     TreeNode right;
 *     TreeNode() {}
 *     TreeNode(int val) { this.val = val; }
 *     TreeNode(int val, TreeNode left, TreeNode right) {
 *         this.val = val;
 *         this.left = left;
 *         this.right = right;
 *     }
 * }
 */
class Solution {
    public TreeNode constructMaximumBinaryTree(int[] nums) {
			return constructMaximumBinaryTree(nums,0,nums.length-1);
    }
  	//获取nums在[left,right范围内的节点
  	private TreeNode constructMaximumBinaryTree(int[] nums,int left,int right){
      if(right<left) return null;
	  int maxIndex  =  maxValueIndex(nums,left,right);
      TreeNode root = new TreeNode(nums[maxIndex]);
      root.left = constructMaximumBinaryTree(nums,left,maxIndex-1);
      root.right = constructMaximumBinaryTree(nums,maxIndex+1,right);
      return root;
    }
  	//获取[left,right]范围内的最大值的角标
  	private int maxValueIndex(int[] nums,int left,int right){
      int maxValueIndex = left;
      for(int i = left;i<=right;i++){
        if(nums[i]>nums[maxValueIndex]){
          maxValueIndex = i;
        }
      }
      return maxValueIndex;
    }
}

617. 合并二叉树

难度简单620

给定两个二叉树,想象当你将它们中的一个覆盖到另一个上时,两个二叉树的一些节点便会重叠。

你需要将他们合并为一个新的二叉树。合并的规则是如果两个节点重叠,那么将他们的值相加作为节点合并后的新值,否则不为 NULL 的节点将直接作为新二叉树的节点。

示例 1:

输入: 
	Tree 1                     Tree 2                  
          1                         2                             
         / \                       / \                            
        3   2                     1   3                        
       /                           \   \                      
      5                             4   7                  
输出: 
合并后的树:
	     3
	    / \
	   4   5
	  / \   \ 
	 5   4   7

注意: 合并必须从两个树的根节点开始。

思路

这道题很简单,只需要逐层往下递归即可:

/**
 * Definition for a binary tree node.
 * public class TreeNode {
 *     int val;
 *     TreeNode left;
 *     TreeNode right;
 *     TreeNode() {}
 *     TreeNode(int val) { this.val = val; }
 *     TreeNode(int val, TreeNode left, TreeNode right) {
 *         this.val = val;
 *         this.left = left;
 *         this.right = right;
 *     }
 * }
 */
class Solution {
    public TreeNode mergeTrees(TreeNode root1, TreeNode root2) {
            if(root1==null) return root2;
            if(root2==null) return root1;
            if(root1==null&&root2==null) return null;

            int mergedValue =root1.val+root2.val;
            TreeNode root = new TreeNode(mergedValue);
            root.left = mergeTrees(root1.left,root2.left);
            root.right = mergeTrees(root1.right,root2.right);

            return root;
    }


}

二叉搜索树

二叉搜索树:BST。

做这类题型必须知道:通过中序遍历,二叉搜索树的结果是升序的

700. 二叉搜索树中的搜索

难度简单111

给定二叉搜索树(BST)的根节点和一个值。 你需要在BST中找到节点值等于给定值的节点。 返回以该节点为根的子树。 如果节点不存在,则返回 NULL。

例如,

给定二叉搜索树:

        4
       / \
      2   7
     / \
    1   3

和值: 2

你应该返回如下子树:

      2     
     / \   
    1   3

在上述示例中,如果要找的值是 5,但因为没有节点值为 5,我们应该返回 NULL

思路

BST:左边节点< 根节点 < 右边节点。根据这特性 很简单了

/**
 * Definition for a binary tree node.
 * public class TreeNode {
 *     int val;
 *     TreeNode left;
 *     TreeNode right;
 *     TreeNode() {}
 *     TreeNode(int val) { this.val = val; }
 *     TreeNode(int val, TreeNode left, TreeNode right) {
 *         this.val = val;
 *         this.left = left;
 *         this.right = right;
 *     }
 * }
 */
class Solution {
    public TreeNode searchBST(TreeNode root, int val) {
            if(root==null){
                return null;
            }
            if(val==root.val){
                return root;
            }else if(val < root.val){
              	//这里之前忘记写return了
               return searchBST(root.left,val);
            }else{
               return searchBST(root.right,val);
            }
          
    }
}

98. 验证二叉搜索树

难度中等923

给定一个二叉树,判断其是否是一个有效的二叉搜索树。

假设一个二叉搜索树具有如下特征:

  • 节点的左子树只包含小于当前节点的数。
  • 节点的右子树只包含大于当前节点的数。
  • 所有左子树和右子树自身必须也是二叉搜索树。

示例 1:

输入:
    2
   / \
  1   3
输出: true

示例 2:

输入:
    5
   / \
  1   4
     / \
    3   6
输出: false
解释: 输入为: [5,1,4,null,null,3,6]。
     根节点的值为 5 ,但是其右子节点值为 4

思路

BST 如果使用中序遍历的结果是 升序。所以只要判断这个二叉树是否为升级即可。

还有要注意的是测试用例中有个[-2147483648]的情况,正好是Integer.MIN_VALUE的最小值。因为TreeNode的val是int类型,所以最小值要小于Integer.MIN_VALUE,取Long.MIN_VALUE

/**
 * Definition for a binary tree node.
 * public class TreeNode {
 *     int val;
 *     TreeNode left;
 *     TreeNode right;
 *     TreeNode() {}
 *     TreeNode(int val) { this.val = val; }
 *     TreeNode(int val, TreeNode left, TreeNode right) {
 *         this.val = val;
 *         this.left = left;
 *         this.right = right;
 *     }
 * }
 */
class Solution {
		//测试用例中有个`[-2147483648]`的情况,这个已经超出了Int的范围, -2147483648
    long preNodeValue = Long.MIN_VALUE;
    public boolean isValidBST(TreeNode root) {
        if(root==null) return true;
        if(!isValidBST(root.left)){
            return false;
        }
      	//如果preNodeValue的默认值是Integer.MIN_VALUE,则这里就错了
      	//需要加上=
        if(root.val<=preNodeValue){
            return false;
        }
        preNodeValue = root.val;
        return isValidBST(root.right);

    }
}

530. 二叉搜索树的最小绝对差

难度简单

给你一棵所有节点为非负值的二叉搜索树,请你计算树中任意两节点的差的绝对值的最小值。

示例:

输入:

   1
    \
     3
    /
   2

输出:
1

解释:
最小绝对差为 1,其中 2 和 1 的差的绝对值为 1(或者 2 和 3)。

提示:

思路

首先还是要知道BST,如果使用 中序遍历结果是升序。所以两节点差的绝对值最小的情况,只可能存在中序遍历后相邻的两个节点中。所以这道题还是得使用中序遍历。

/**
 * Definition for a binary tree node.
 * public class TreeNode {
 *     int val;
 *     TreeNode left;
 *     TreeNode right;
 *     TreeNode(int x) { val = x; }
 * }
 */
class Solution {
		//不能使用0,小于0的都行
    int preValue = -1;
    int minDiff = Integer.MAX_VALUE;
    public int getMinimumDifference(TreeNode root) {
        minimumDifference(root);
        return minDiff;
    }

    private void minimumDifference(TreeNode root){
        if(root==null) return;
        minimumDifference(root.left);
      
        if(preValue!=-1){
            minDiff=Math.min(root.val-preValue,minDiff);
        }
        preValue = root.val;
      
        minimumDifference(root.right);
    }

}

501. 二叉搜索树中的众数

难度简单269

给定一个有相同值的二叉搜索树(BST),找出 BST 中的所有众数(出现频率最高的元素)。

假定 BST 有如下定义:

  • 结点左子树中所含结点的值小于等于当前结点的值
  • 结点右子树中所含结点的值大于等于当前结点的值
  • 左子树和右子树都是二叉搜索树

例如: 给定 BST [1,null,2,2],

   1
    \
     2
    /
   2

返回[2].

提示:如果众数超过1个,不需考虑输出顺序

**进阶:**你可以不使用额外的空间吗?(假设由递归产生的隐式调用栈的开销不被计算在内)

思路

仍然是中序遍历,输出升序的遍历结果。然后统计众数。

需要注意这里的众数可能是多个

/**
 * Definition for a binary tree node.
 * public class TreeNode {
 *     int val;
 *     TreeNode left;
 *     TreeNode right;
 *     TreeNode(int x) { val = x; }
 * }
 */
class Solution {

    List<Integer> result ;
    TreeNode preNode = null;
    int maxCount = 0;
    int curCount= 0;
    public int[] findMode(TreeNode root) {
        result= new ArrayList();
        inorder(root);
        int length = result.size();
        int [] modes=new int[length];
        for(int i =0;i<length;++i){
            modes[i]=result.get(i);
        }
        return modes;
    }

    private void inorder(TreeNode root){
        if(root==null) return;

        inorder(root.left);

        if(preNode==null){
            //开始
            curCount=1;
        }else if(preNode.val==root.val){
            //累加
            curCount++;
        }else{
            //清空
            curCount=1;
        }
       
        if(curCount==maxCount){
            result.add(root.val);
        }
        if(curCount>maxCount){
          	//产生新的最大众数,需要将之前的都清理了
            result.clear();
            maxCount = curCount;
            result.add(root.val);
        }
        preNode=root;
        inorder(root.right);
    }
}