6_线性模型

97 阅读1分钟

PCA

  1. 找到K个基,使其能够充分表示原向量
  2. 何为充分:使其原向量在新的基上的投影值方差最大。多维向量即用协方差。
  3. 利用矩阵对角化,求出变换矩阵
  4. PCA前必须进行零均值化
  5. 无监督

LDA:

  1. 可用于降维和分类
  2. 也用来矩阵分解思想
  3. 有监督

线性回归

  1. 回归问题
  2. 1,2维和高中学的线性函数类似,一般实际应用是在高维情况

模型数学表达式:

损失函数:

根据损失函数去训练学习模型数学表达式里面的参数w。 如何训练:根据梯度下降优化算法来更新参数。

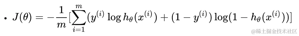
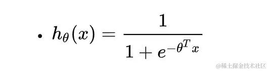
逻辑回归

  1. 解决二分类问题
  2. 逻辑回归假设因变量 y 服从伯努利分布,而线性回归假设因变量 y 服从高斯分布
  3. 是一个线性回归模型再输入到sigmoid

模型数学表达式:

损失函数:

根据损失函数去训练学习模型数学表达式里面的参数θ。