树、二叉树、二叉搜索树、图 介绍

158 阅读1分钟

树的遍历

  • 前序遍历(pre-order): 根 左 右
  • 中序遍历(in-order): 左 根 右
  • 后序遍历(post-order): 左 右 根

  • 父亲节点、儿子节点、层高

二叉树

  • 只有2个儿子结点

示例代码

遍历的写法

class TreeDemo(object):
    def __init__(self, val):
        self.val = val
        self.left = None
        self.right = None

# 前序遍历 pre-order
# 根 左 右
def preorder(self, root):
    if root:
        self.travel_path.append(root.val)
        self.preorder(root.left)
        self.preorder(root.right)


# 中序遍历 in-order
# 左 根 右
def inorder(self, root):
    if root:
        self.preorder(root.left)
        self.travel_path.append(root.val)
        self.preorder(root.right)


# 后序遍历 post-order
# 左 右 根
def postorder(self, root):
    if root:
        self.preorder(root.left)
        self.preorder(root.right)
        self.travel_path.append(root.val)

二叉搜索树(binary search tree)

image.png

定义:

  • 有序的二叉树
  • 如果任意节点的左子树不能为空, 左子树所有的节点的值 小于 它的根节点的值
  • 如果任意节点的右子树不能为空, 右子树所有的节点的值 大于 它的根节点的值
  • 以此类推 左右子树 都是二叉搜索树
  • 左子树中所有节点的值 < 根节点的值 < 右子树中所有节点的值
  • 复杂度
    • 搜索 O(logn)
    • 插入 O(logn)
    • 删除 O(logn)
  • 中序遍历是一个生序遍历

查找

visualgo.net/zh/bst (logn) 和根节点对比 每次可以排除一半的空间

image.png

插入新节点

(logn)

  • 先进行查找 如果找不到 就在最后部分插入节点

删除

(logn)

  • 如果是叶子节点
  • 如果是跟节点 或者 子树的根节点

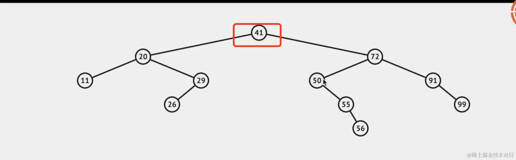
例如要删除65 应该找一个65 相近的节点进行补位 要么是左子树中最大的节点 要么是右子树中最小的节点 默认找右子树中最小的节点 image.png

image.png

例如删除41 image.png

image.png

  • 特殊的树 形成了环路