前几天写了一篇“小白为了面试如何刷题”的文章大受好评。随之而来的是好多小伙伴私下跑来问我“浩哥,你说前200道题很好,但是前两百道题的难度很大,我不会怎么办”这问题我想了一两天。。。好吧,既然你们说难不会。那我干脆就把前两百道题都给你们配上图解,全部安排,这样总可以了吧?牛气冲天有木有,哪个公号主敢这么干的!奥利给,搞起。今儿为大家分享经典面试题目 - 两数相加。做过的朋友,也不要急着叉掉,不妨借机复习一番。
01、题目示例
各数据结构中的“加减乘除”都是很爱考察的内容。
| 第2题:两数相加 |
|---|
| 给出两个 非空 的链表用来表示两个非负的整数。其中,它们各自的位数是按照 逆序 的方式存储的,并且它们的每个节点只能存储 一位 数字。 |
给出两个 非空 的链表用来表示两个非负的整数。其中,它们各自的位数是按照 逆序 的方式存储的,并且它们的每个节点只能存储 一位 数字。
如果,我们将这两个数相加起来,则会返回一个新的链表来表示它们的和。
您可以假设除了数字 0 之外,这两个数都不会以 0 开头。
示例:
输入:(2 -> 4 -> 3) + (5 -> 6 -> 4)
输出:7 -> 0 -> 8
原因:342 + 465 = 807
02、算法图解
烧饼(哨兵)节点:烧饼节点就是说有一个节点长的像烧饼,站在最前面。往往第一个节点小子都会来啃一口,因为是牛肉拔丝烧饼,扯不掉就连起来了。。。好了,我实在编不下去了~囧....
不了解哨兵节点的可以看下:
好了,了解了哨兵节点,其实这道题和哨兵节点并没有什么毛线关系, 我只是让你复习一下(会不会想打我)。现在开始正式分析题目。
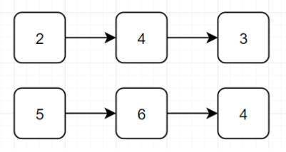
老样子,我们还是先画图,假若我们的链表是 (2 -> 4 -> 3) + (5 -> 6 -> 4) ,大概就是这样(注意,这里我们其实是要完成 342 + 465):

加法肯定是从最低位到最高位进行相加,也就是这里的链表头到链表尾进行相加,所以需要遍历链表。我们令 l1 和 l2 指向两个链表的头,用一个 tmp 值来存储同一位相加的结果,以及一个新的链表来存储 tmp 的值。(为什么不直接用新链表存储结果,而是用 tmp 先存储结果,再用新链表存储 tmp 的值呢?请继续往下看)

记住:所有模拟运算的题目,都需要考虑进位。这里因为个位不涉及进位,开始计算十位。我们同时遍历 l1,l2,以及新链表到下一位。

重复上面的操作,可以看到十位与个位不同,发生了进位。这时,刚才的 tmp 就有了用武之地。我们使用 tmp 携带进位的值到下一位的运算。自然,这里的链表也不能直接存储 tmp 的值了,而是要存储 tmp%10 的值。重复这个步骤,直到两个链表都遍历完成,并且 tmp 没有进位值:

现在只需要返回我们的新链表就可以了。问题来了,因为我们没有构造哨兵节点,所以此时不太容易直接返回新链表。所以在整个流程的第一步,我们还需要用一个哨兵节点指向我们的新链表。

分析完毕,直接上代码(好久没翻Go的牌子了):
//go
func addTwoNumbers(l1 *ListNode, l2 *ListNode) *ListNode {
list := &ListNode{0, nil}
//这里用一个result,只是为了后面返回节点方便,并无他用
result := list
tmp := 0
for l1 != nil || l2 != nil || tmp != 0 {
if l1 != nil {
tmp += l1.Val
l1 = l1.Next
}
if l2 != nil {
tmp += l2.Val
l2 = l2.Next
}
list.Next = &ListNode{tmp % 10, nil}
tmp = tmp / 10
list = list.Next
}
return result.Next
}
执行结果:

今天的题目到这里就结束了。你学会了吗?快来评论区留下你的想法吧!
我把我写的所有题解都整理成了一本电子书,每道题都配有完整图解。点击即可下载
