第一次直播
论文亮点

1列出时间序列模型(微分方程/差分方程)
2用拟合残差和求最小值(拟合的方法)求出估计值---fminsearch ---有优化的思想
求SARS对经济的影响----回归
CAPM模型(和经济相关)
某事件对xx的影响----引入一个虚拟变量进行回归

1建立微分方程模型
2求参数:拟合后给个值--有点问题,不太严谨--没有优化的思想

1根据控制前和控制后分别建立微分方程
2确定参数---拟合后给个值--没有优化的思想

三篇论文总结
- 第一篇-用优化的思想求出参数值
- 第二、三篇-没有优化,用拟合蒙出参数值;第三篇根据时间建立不同的模型

- 模拟仿真模型---netlogo仿真软件(元胞自动机)
- 使用了灵敏度分析(控制变量法)
仿真可以得到数据,并且显得很高级,而且netlogo也可以进行灵敏度分析(控制变量法)
在线使用网站:www.netlogoweb.org/launch#http…
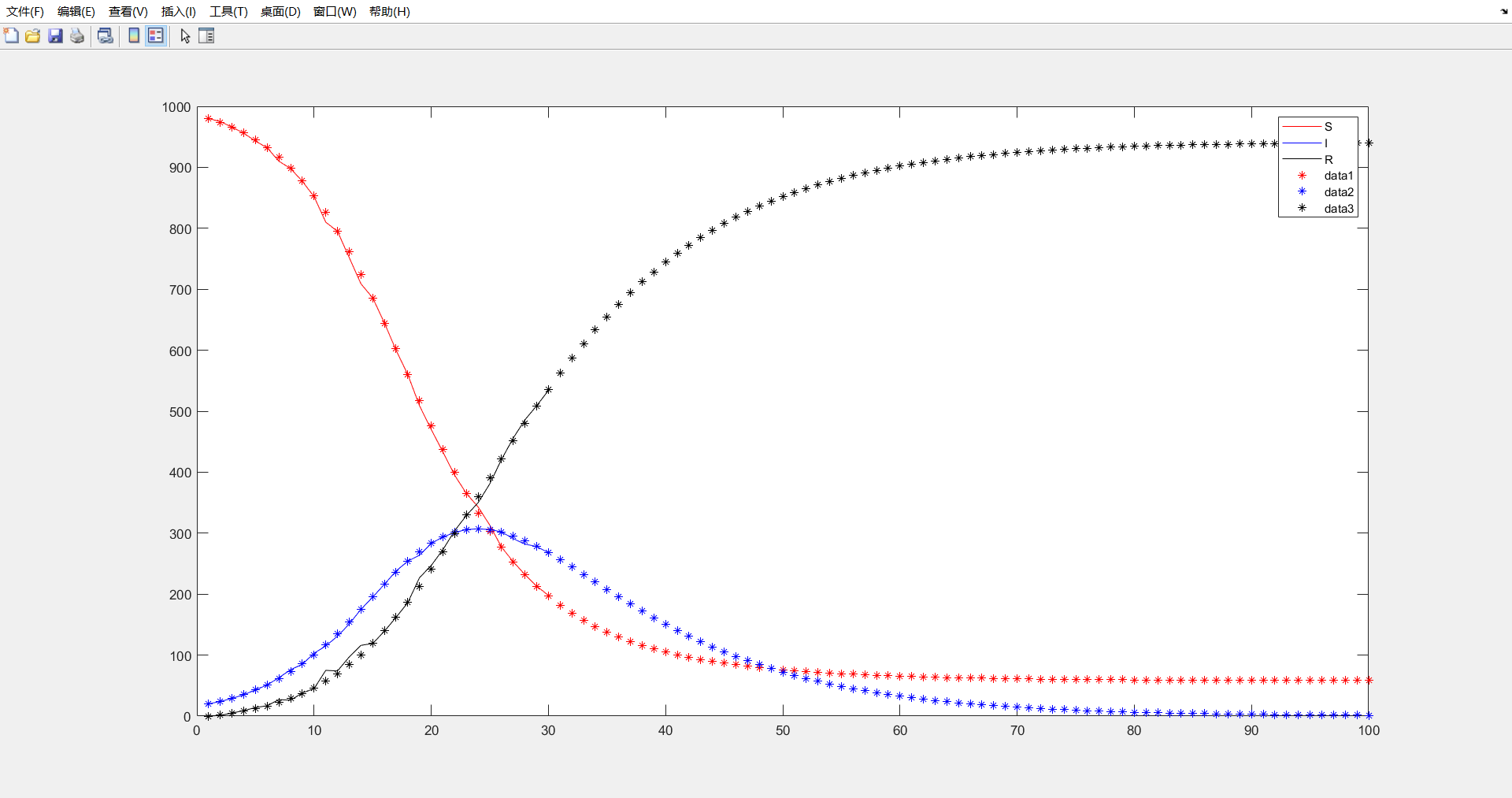
netlogo用的是SIR模型
传染病微分方程模型建立
步骤
五步法:

(2)看优秀论文进行选择
(3)确定未知参数的范围(上下界)(=约束条件)--->优化思想(拟合残差平方和)
(4)求解未知参数,数值解就是拟合值,和真实数据一起做拟合,优化残差平方和求出未知参数(非线性规划问题)
(5)求非线性规划问题---->fmincon、粒子群、lsqcurvefit(最小二乘)
实例


直播问答
不用担心微分方程建模的事情,可以加各种东西进入微分方程(各种传染病模型的变体),只要给出微分方程,求可以求解未知系数
估计出来的效果很差--->将时间分段,分成不同的模型
考虑加入方舱医院的传染病模型,怎么和SIR结合--->在微分方程里减小接触率
1
一款基于K-SEIR数学模型的疫情发展模拟免费软件(K-SEIR SimulatorV1.0) www.trainingtech.cn/news/softwa…
使用SEIR simulator分析广东疫情发展情况 www.trainingtech.cn/news/xfl_se…
SEIR Simulator 使用手册 www.trainingtech.cn/news/seir_s…