变分模态分解(variational mode decomposition,VMD)是一种新的信号分解估计方法,其整体框架是变分问题,使得每个模态的估计带宽之和最小,其中假设每个‘模态’是具有不同中心频率的有限带宽,为解决这一变分问题,采用了交替方向乘子法,不断更新各模态及其中心频率,逐步将各模态解调到相应的基频带,最终各个模态及相应的中心频率被一同提取出来。相比 EMD 和 LMD 的递归‘筛选’模式,VMD 将信号分解转化非递归、变分模态分解模式,并具有坚实的理论基础,其实质是多个自适应维纳滤波组,表现出更好的噪声鲁棒性。
VMD 的分解过程是变分问题的求解过程,该算法可分为变分问题的构造和求解,其中涉及了 3个重要概念:经典维纳滤波、希尔伯特变换和频率混合。
1. 受约束的变分问题如下:

2. 变分问题的求解:
引入二次惩罚因子α和拉格朗日乘法算子λ(t),将约束性变分问题变为非约束性变分问题:

采用了乘法算子交替方向法(alternate direction method of multipliers)ADMM 解决以上变分问题,通过交替更新计算,求扩展拉格朗日表达式的‘鞍点’:

最终可整理为:

时间复杂度:

关于VMD(Variational Mode Decomposition),具体原理可以参考其论文 :
K. Dragomiretskiy and D. Zosso, "Variational Mode Decomposition," in IEEE Transactions on Signal Processing, vol. 62, no. 3, pp. 531-544, Feb.1, 2014, doi: 10.1109/TSP.2013.2288675.
谱分解
rm(list = ls())
# install.packages("vmd")
library(vmd)
library(R.matlab)
ff <- "E:/office/......../data"
ff <- paste0(ff,"/", list.files(ff)[2])
mat<-readMat(ff)# str(mat)
m.u<-as.vector(mat$CH1)
m.i<-as.vector(mat$CH2)
plot.ts(m.i)
signal <- m.i
plot.ts(signal);rm(m.u,m.i,ff,mat)
依据傅里叶分析可知,这段数据包含了4个频谱,因此选择K=4+1
#tau=梯度步长
k=5; v = vmd(signal,alpha=length(signal),tau=0,DC=F,init=0,tol=1e-6,K=k,orderModes=TRUE)
# #To Data Frame
# df = as.data.frame(v)# head(df)
# #Plot Results# plot(v)
plot(v,facet='bymode',scales='free')

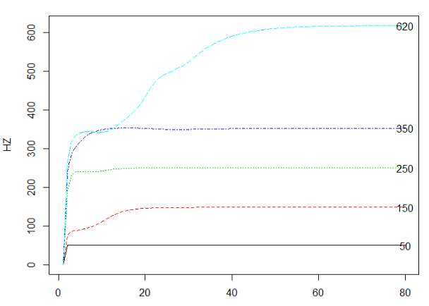
谱分解结果的收敛性
# #List of Results
l = v$getResult() # names(l)
# u - the collection of decomposed modes
# u_hat - spectra of the modes
# omega - estimated mode center-frequencies
# # compute HZ
ff <- 10^4
matplot(l$omega*ff,type = "l",ylab = "HZ")
text(dim(l$omega)[1],l$omega[dim(l$omega)[1],]*ff,
labels = round(l$omega[dim(l$omega)[1],],3)*ff,col = 1)

谱分解效果评估
v$plot.spectral.decomposition()

信息重构:
matplot(cbind(l$u[,1],rowSums(l$u[,2:4]),signal),type = "l",col = c(3,4,2) ,ylab = "amplitude")

matplot(cbind(rowSums(l$u[,1:4]),signal),type = "l",col = c(4,2) ,ylab = "amplitude")
