从0到1打造正则表达式执行引擎(二)

1,299 阅读7分钟

本文原文地址blog.csdn.net/xindoo/arti…

在上篇博客从0到1打造正则表达式执行引擎(一)中我们已经构建了一个可用的正则表达式引擎,相关源码见github.com/xindoo/rege…,但上文中只是用到了NFA,NFA的引擎建图时间复杂度是O(n),但匹配一个长度为m的字符串时因为涉及到大量的递归和回溯,最坏时间复杂度是O(mn)。与之对比DFA引擎的建图时间复杂度O(n^2),但匹配时没有回溯,所以匹配复杂度只有O(m),性能差距还是挺大的。

DFA和NFA

我们已经多次提到了NFA和DFA,它俩究竟是啥?有啥区别?
首先,NFA和DFA都是有限状态机,都是有向图,用来描述状态和状态之间的关系。其中NFA全称是非确定性有限状态自动机(Nondeterministic finite automaton),DFA全称是确定性有限状态自动机(Deterministic finite automaton)。

二者的差异主要在于确定性和非确定性,何为确定性? 确定性是指面对同一输入,不会出现有多条可行的路径执行下一个节点。有点绕,看完图你就理解了。
在这里插入图片描述 图示分别是一个NFA和DFA,上图之所以是NFA是因为它有节点具备不确定性,比如0节点,在输入"a"之后它分别可以到0 1 2 节点。还有,上图有$\epsilon$边,它可以在没有输入的情况下跳到下一个节点,这也带来了不确定性。相反,下图DFA中,每个节点对某一特定的输入都只有最多一条边。

总结下NFA和DFA的区别就是,有ε边或者某个节点对同一输入对应多个状态的一定是NFA。

DFA和NFA存在等价性,也就是说任何NFA都可以转化为等价的DFA。由于NFA的非确定性,在面对一个输入的时候可能有多条可选的路径,所以在一条路径走不通的情况下,需要回溯到选择点去走另外一条路径。但DFA不同,在每个状态下,对每个输入不会存在多条路径,就不需要递归和回溯了,可以一条路走到黑。DFA的匹复杂度只有O(n),但因为要递归和回溯NFA的匹配复杂度达到了O(n^2)。 这也是为什么我们要将引擎中的NFA转化为DFA的主要原因。

NFA转DFA

算法

NFA转DFA的算法叫做子集构造法,其具体流程如下。

  • 步骤1: NFA的初始节点和初始节点所有ε可达的节点共同构成DFA的初始节点,然后对初始DFA节点执行步骤2。
  • 步骤2: 对当前DFA节点,找到其中所有NFA节点对输入符号X所有可达的NFA节点,这些节点沟通构成的DFA节点作为当前DFA节点对输入X可达的DFA节点。
  • 步骤3: 如果步骤2中找到了新节点,就对新节点重复执行步骤2。
  • 步骤4: 重复步骤2和步骤3直到找不DFA新节点为止。
  • 步骤5: 把所有包含NFA终止节点的DFA节点标记为DFA的终止节点。

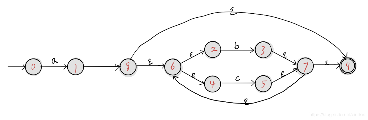
语言描述比较难理解,我们直接上例子。 我们已经拿上一篇网站中的正则表达式 a(b|c)* 为例,我在源码github.com/xindoo/rege…中加入了NFA输出的代码, a(b|c)* 的NFA输出如下。

from to input
 0-> 1  a
 1-> 8  Epsilon
 8-> 9  Epsilon
 8-> 6  Epsilon
 6-> 2  Epsilon
 6-> 4  Epsilon
 2-> 3  b
 4-> 5  c
 3-> 7  Epsilon
 5-> 7  Epsilon
 7-> 9  Epsilon
 7-> 6  Epsilon

绘图如下: 在这里插入图片描述 我们在上图的基础上执行步骤1 得到了节点0作为DFA的开始节点。
在这里插入图片描述 然后对DFA的节点0执行步骤1,找到NFA中所有a可达的NFA节点(1#2#4#6#8#9)构成NFA中的节点1,如下图。 在这里插入图片描述 我以dfa1为出发点,发现了a可达的所有NFA节点(2#3#4#6#7#9)和b可达的所有节点(2#4#5#6#7#9),分别构成了DFA中的dfa2和dfa3,如下图。
在这里插入图片描述 在这里插入图片描述 然后我们分别在dfa2 dfa3上执行步骤三,找不到新节点,但会找到几条新的边,补充如下,至此我们就完成了对 a(b|c)* 对应NFA到DFA的转化。 在这里插入图片描述 可以看出DFA图节点明显少于NFA,但NFA更容易看出其对应的正则表达式。之前我还写过DFA生成正则表达式的代码,详见文章blog.csdn.net/xindoo/arti…

代码实现

代码其实就是对上文流程的表述,更多细节见github.com/xindoo/rege…

 private static DFAGraph convertNfa2Dfa(NFAGraph nfaGraph) {
        DFAGraph dfaGraph = new DFAGraph();
        Set<State> startStates = new HashSet<>();
        // 用NFA图的起始节点构造DFA的起始节点 步骤1 
        startStates.addAll(getNextEStates(nfaGraph.start, new HashSet<>()));
        if (startStates.size() == 0) {
            startStates.add(nfaGraph.start);
        }
        dfaGraph.start = dfaGraph.getOrBuild(startStates);
        Queue<DFAState> queue = new LinkedList<>();
        Set<State> finishedStates = new HashSet<>();
        // 如果BFS的方式从已找到的起始节点遍历并构建DFA
        queue.add(dfaGraph.start);
        while (!queue.isEmpty()) {  // 步骤2 
            DFAState curState = queue.poll();
            for (State nfaState : curState.nfaStates) {
                Set<State> nextStates = new HashSet<>();
                Set<String> finishedEdges = new HashSet<>();
                finishedEdges.add(Constant.EPSILON);
                for (String edge : nfaState.next.keySet()) {
                    if (finishedEdges.contains(edge)) {
                        continue;
                    }
                    finishedEdges.add(edge);
                    Set<State> efinishedState = new HashSet<>();
                    for (State state : curState.nfaStates) {
                        Set<State> edgeStates = state.next.getOrDefault(edge, Collections.emptySet());
                        nextStates.addAll(edgeStates);
                        for (State eState : edgeStates) {
                            // 添加E可达节点
                            if (efinishedState.contains(eState)) {
                                continue;
                            }
                            nextStates.addAll(getNextEStates(eState, efinishedState));
                            efinishedState.add(eState);
                        }
                    }
                    // 将NFA节点列表转化为DFA节点,如果已经有对应的DFA节点就返回,否则创建一个新的DFA节点
                    DFAState nextDFAstate = dfaGraph.getOrBuild(nextStates);
                    if (!finishedStates.contains(nextDFAstate)) {
                        queue.add(nextDFAstate);
                    }
                    curState.addNext(edge, nextDFAstate);
                }
            }
            finishedStates.add(curState);
        }
        return dfaGraph;
    }
public class DFAState extends State {
    public Set<State> nfaStates = new HashSet<>();
    // 保存对应NFAState的id,一个DFAState可能是多个NFAState的集合,所以拼接成String
    private String allStateIds;
    public DFAState() {
        this.stateType = 2;
    }

    public DFAState(String allStateIds, Set<State> states) {
        this.allStateIds = allStateIds;
        this.nfaStates.addAll(states);
         //这里我将步骤五直接集成在创建DFA节点的过程中了
        for (State state : states) {
            if (state.isEndState()) {
                this.stateType = 1;
            }
        }
    }

    public String getAllStateIds() {
        return allStateIds;
    }
}

另外我在DFAGraph中封装了有些NFA节点列表到DFA节点的转化和查找,具体如下。

public class DFAGraph {

    private Map<String, DFAState> nfaStates2dfaState = new HashMap<>();
    public DFAState start = new DFAState();

    // 这里用map保存NFAState结合是已有对应的DFAState, 有就直接拿出来用
    public DFAState getOrBuild(Set<State> states) {
        String allStateIds = "";
        int[] ids = states.stream()
                          .mapToInt(state -> state.getId())
                          .sorted()
                          .toArray();
        for (int id : ids) {
            allStateIds += "#";
            allStateIds += id;
        }
        if (!nfaStates2dfaState.containsKey(allStateIds)) {
            DFAState dfaState = new DFAState(allStateIds, states);
            nfaStates2dfaState.put(allStateIds, dfaState);
        }
        return nfaStates2dfaState.get(allStateIds);
    }
}

DFA引擎匹配过程

dfa引擎的匹配也可以完全复用NFA的匹配过程,所以对之前NFA的匹配代码,可以针对DFA模式取消回溯即可(不取消也没问题,但会有性能影响)。

   private boolean isMatch(String text, int pos, State curState) {
        if (pos == text.length()) {
            if (curState.isEndState()) {
                return true;
            }
            for (State nextState : curState.next.getOrDefault(Constant.EPSILON, Collections.emptySet())) {
                if (isMatch(text, pos, nextState)) {
                    return true;
                }
            }
            return false;
        }

        for (Map.Entry<String, Set<State>> entry : curState.next.entrySet()) {
            String edge = entry.getKey();
            // 如果是DFA模式,不会有EPSILON边
            if (Constant.EPSILON.equals(edge)) {
                for (State nextState : entry.getValue()) {
                    if (isMatch(text, pos, nextState)) {
                        return true;
                    }
                }
            } else {
                MatchStrategy matchStrategy = MatchStrategyManager.getStrategy(edge);
                if (!matchStrategy.isMatch(text.charAt(pos), edge)) {
                    continue;
                }
                // 遍历匹配策略
                for (State nextState : entry.getValue()) {
                    // 如果是DFA匹配模式,entry.getValue()虽然是set,但里面只会有一个元素,所以不需要回溯
                    if (nextState instanceof DFAState) {
                        return isMatch(text, pos + 1, nextState);
                    }
                    if (isMatch(text, pos + 1, nextState)) {
                        return true;
                    }
                }
            }
        }
        return false;
    }

因为DFA的匹配不需要回溯,所以可以完全改成非递归代码。

    private boolean isDfaMatch(String text, int pos, State startState) {
        State curState = startState;
        while (pos < text.length()) {
            boolean canContinue = false;
            for (Map.Entry<String, Set<State>> entry : curState.next.entrySet()) {
                String edge = entry.getKey();
                MatchStrategy matchStrategy = MatchStrategyManager.getStrategy(edge);
                if (matchStrategy.isMatch(text.charAt(pos), edge)) {
                    curState = entry.getValue().stream().findFirst().orElse(null);
                    pos++;
                    canContinue = true;
                    break;
                }
            }
            if (!canContinue) {
                return false;
            }
        }
        return curState.isEndState();
    }

DFA和NFA引擎性能对比

我用jmh简单做了一个非严格的性能测试,随手做的 看看就好,结果如下:

Benchmark                   Mode  Cnt       Score   Error  Units
RegexTest.dfaNonRecursion  thrpt    2  144462.917          ops/s
RegexTest.dfaRecursion     thrpt    2  169022.239          ops/s
RegexTest.nfa              thrpt    2   55320.181          ops/s

DFA的匹配性能远高于NFA,不过这里居然递归版还比非递归版快,有点出乎意料, 详细测试代码已传至Github github.com/xindoo/rege…,欢迎查阅。

参考资料