对于核反应堆控制系统,要判断稳定性,但是闭环传函/开环传函难以求解!所以我们通过看open-loop frequency response来判断稳定性。


频率响应即输入一个正弦信号;发现正弦输入和输出的“频率”相同,输出的“幅值”和“相位“是“频率”的函数。
由开环传函求频率响应:令s=jω;问题:与上面核反应堆例子说的是否矛盾?不知道传函,这里又是由传函求频率响应。对应关系是确定的;先通过已知传函得到一些结论,再通过结论反推未知传函



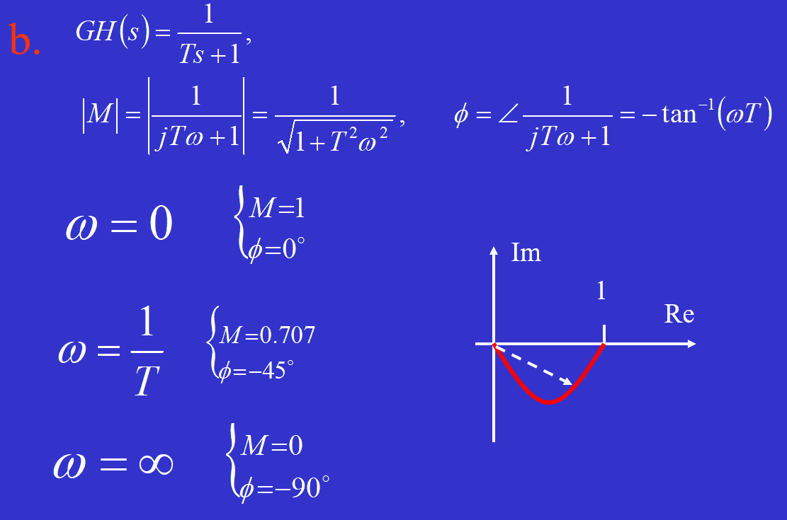
起点:除了积分环节,起点都是(1,0);积分环节起点是∞,趋近方向为-90*n(n是积分的阶数)
终点:除了微分环节,终点都是原点,趋近方向为(n-m)*(-90) (n=分母s的阶数,m=分子s的阶数)
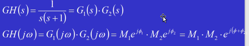
时域分析的出发点是“闭环传函”,频域分析的出发点是“开环传函GH”,a generalized open-loop transfer function:

画奈奎斯特图如下(考试不考)
比例环节是一个点






起点:除了积分环节,起点都是(1,0);积分环节起点是∞,趋近方向为-90*n(n是积分的阶数)
终点:除了微分环节,终点都是原点,趋近方向为(n-m)*(-90) (n=分母s的阶数,m=分子s的阶数)

做题总结:
先将开环传递函数化为标准形式(Bode form)

王老师讲义
什么是“频率特性”: 若系统的传递函数为G(s),令s=jω,则G(jω)就称为系统的频率特性


绘制方法
