《自控原理》 Module4 二阶系统

493 阅读1分钟

Module4 二阶系统

1 二阶系统的定义

与一阶系统的区别:出现了 oscillation response (振荡响应) and overshoot(系统超调)

二阶系统标准形式:

做题化成标准形式再写出对应参数的值(以分母为标准就行了):

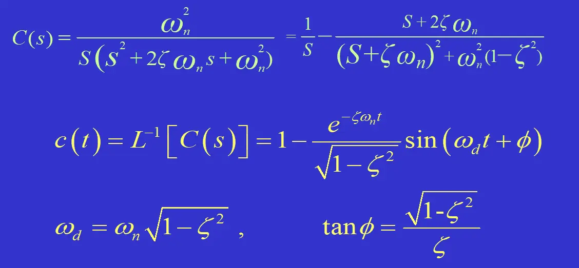
★★★ 2 二阶系统单位阶跃响应

★★★二阶系统的阻尼系数与单位阶跃响应关系1

★★★二阶系统的阻尼系数与单位阶跃响应关系2

★★★总结规律

wd 离实轴的距离;震荡量

ξwn 离虚轴的距离;衰减量

ξ sinθ;超调量

★ξ 和超调量PO的关系:PO只与ξ有关:

3 例题:

problem 4.5:

不同的开环增益K对应了不同的极点位置:根轨迹