第一章 绪论
1信号的运算
移位,反褶,尺度

f(t)=0的点 t=2
-4-2t=2,解出t,然后带入f(-4-2t)
判断是否为0
微分与积分 :(单位冲激和单位阶跃的关系)



2阶跃信号:
①表示复杂的方波信号

Q关于这种信号的分解有没有什么规律可循?
A分段写 [0,1] [1,3] ][3 ∞]
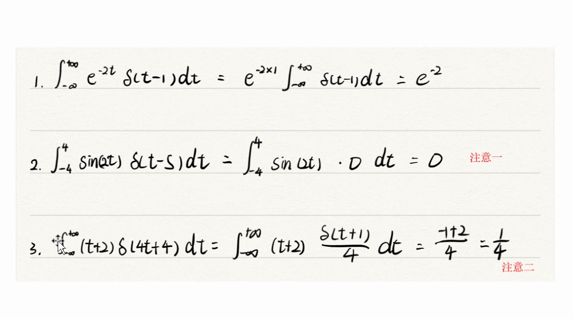
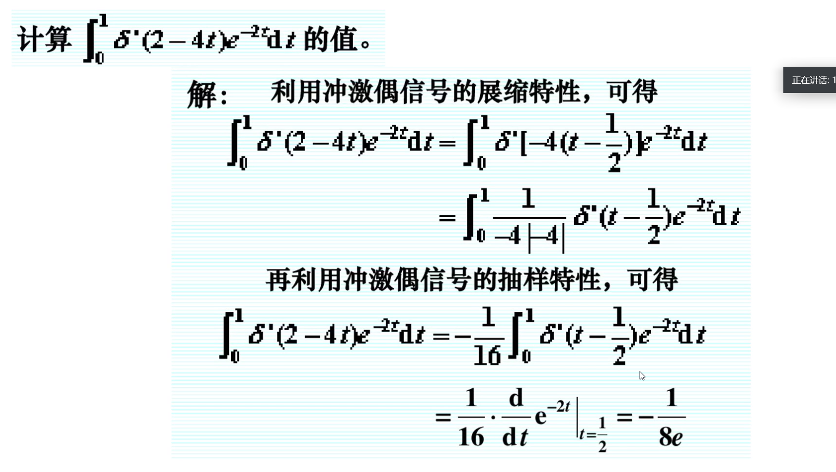
3冲激函数的运算
尺度变换

筛选性质:






冲击偶函数:

第二章 连续时间系统的时域分析
★★★系统性质的判断
判断线性:
e(t)幂次不是 1, e(t)+常数项一般都不是线性的
如 ;
都不是线性系统
★正规步骤:

分为是否有初始状态:

反证法:



判断时不变性:
①自变量t前面有尺度变换at(a≠1)一般就是时变的,如
②e(t)前面乘了时变增益如人,若输入e=1但不知道确切时间t,r(t)无法求,所以是时变的
★正规步骤:



反证法

判断因果性:
①仔细地检验在全部时间上的输入-输出关系,下例不是因果系统

②要把输入信号的影响仔细地与系统,定义 中所用到的其他函数的影响区分开来,下例是因果系统,且不管g(t)是任意函数,该系统都是因果的


代入特殊值法
例题:
令t=Π,y(Π)--x(0);输出时刻超前输入,所以是非因果系统

其他性质
微分性质
积分性质
LTI系统的解题应用
