《signals and systems》 三/五 properties of (LTI) systems

556 阅读2分钟

三/五 properties of (LTI) systems

Memoryless

系统在18:30的输出只和18:30的输入有关

LTI:

要求h(t)是一个脉冲函数

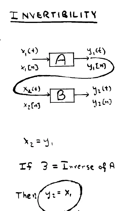
Invertibility

系统的输出对应唯一一个输入

example:

积分电路是可逆系统√

微分电路不是可逆系统,因为输入的常数项不唯一

y(t)=x(t)^{2}不是可逆系统,因为input的正负不唯一

LTI:

Causality

三种定义:

①output at any time depends only on input prior or equal to that time

②system can't acticipate "future" inputs

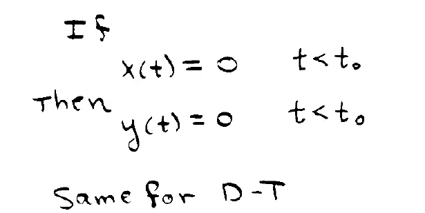
某个时刻之前,如果输入恒等,则输出恒等(之后则无法判断,因为system can't acticipate "future" inputs)

【注】 memoryless必定causal,causal不一定memoryless

Linear system:

system is intial rest:系统在没有输入之前,输出均为0(输入为0,输出为0);这是因为线性系统的零输入响应:没有输入就没有输出

LTI system:

必要性: h(t)=0,t<0 -> 若x(t)=0,t<0,则y(t)=0,t<0成立 -> causal

充分性: 若系统causal -> y[n] 就必须与k>n的 x[k] 无关,为此乘以x[k的所有系数 h[n-k]对于k>n都必须为零,所以 h[n]=0,n<0

Stability

stable <=> 有界输入有界输出

example:

正立摆,有界输入有界输出,稳定

倒立摆,有界输入无界输出,不稳定

视觉反馈系统,稳定

积分电路系统不稳定:

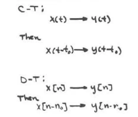
Time Invariant

输入产生时移,则输出也产生响应得时移

example:

Linear

不同输入的线性组合,得到的输出是各自输出的响应的线性组合

example:

Linear systems's zeros input response

没有输入就没有输出

直观且不严谨的证明:(利用线性性质)

综合example

【注】冲激函数和任意信号的卷积结果就是该信号 \delta(t)*h(t)=h(t)

因为\delta(t)*h(t)=\int ^∞_{-∞}\delta(\tau)h(t-\tau)d\tau,由于冲出性质,=h(t-\tau)=h(t)