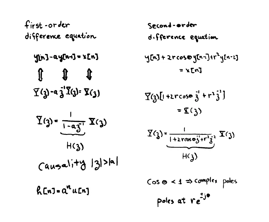
《signals and systems》 二十三 z-TRANSFORM PROPERTIES 赤西沽 2020-04-20 666 阅读1分钟 二十三 z-TRANSFORM PROPERTIES 1 z变换基本性质 ★2 系统性质和ROC的关系 example: 3 一阶系统和二阶系统 求解差分方程: 二阶系统频率响应和零极点位置的关系: