《signals and systems》 二十二 Z Transform

473 阅读1分钟

二十二 Z Transform

1 z transform

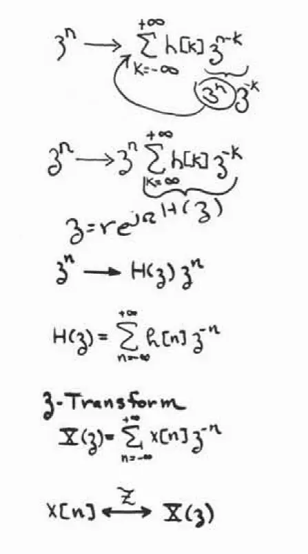
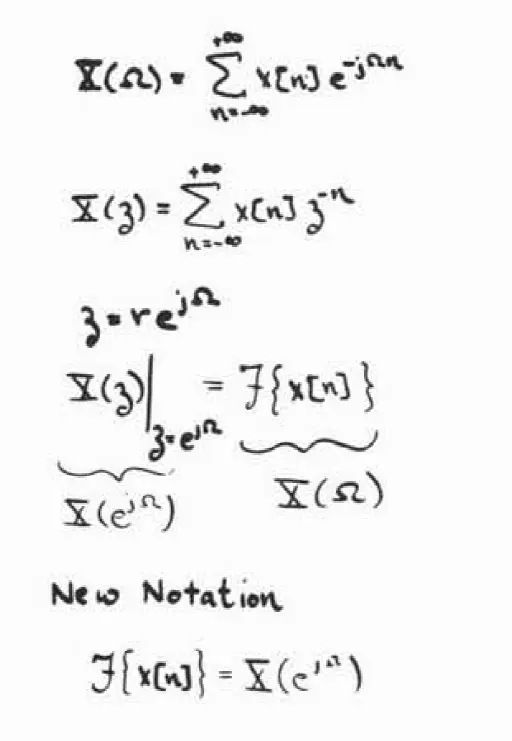
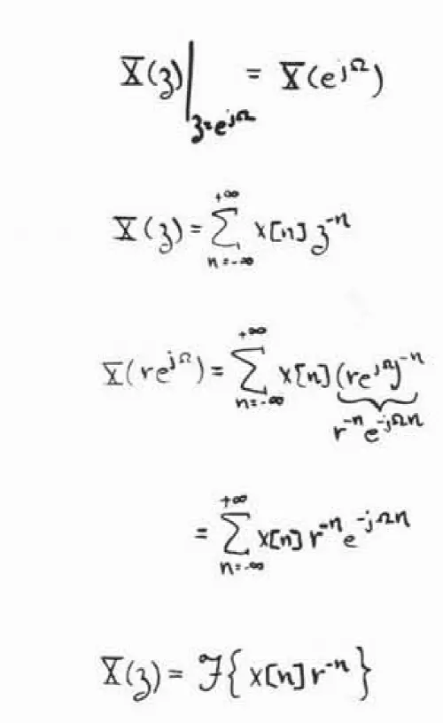
回顾离散时间傅里叶变换:

选择新的基本信号【z^{n}】(z=re^{jΩ}),引入z 变换:

z变换和DT傅里叶变换的关系:

相比之下出现了ROC的问题:

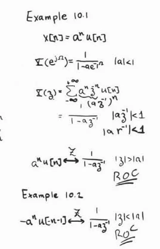
★2 收敛性;零极点

★结论:一个信号的z变换的收敛域包含单位圆(z=e^{jΩ}/|z|=1/r=1),则这个信号的傅里叶变换收敛

研究z变换中沿着单位圆移动,傅里叶变换的频率响应的变化;类似研究L变换中沿着jω轴移动,傅里叶变换的频率响应的变化

对于二阶差分方程的冲激频率响应|H(Ω)|:

对于一阶差分方程的冲激频率响应:

概述:

★收敛性分析总结 L变换:

Z变换:

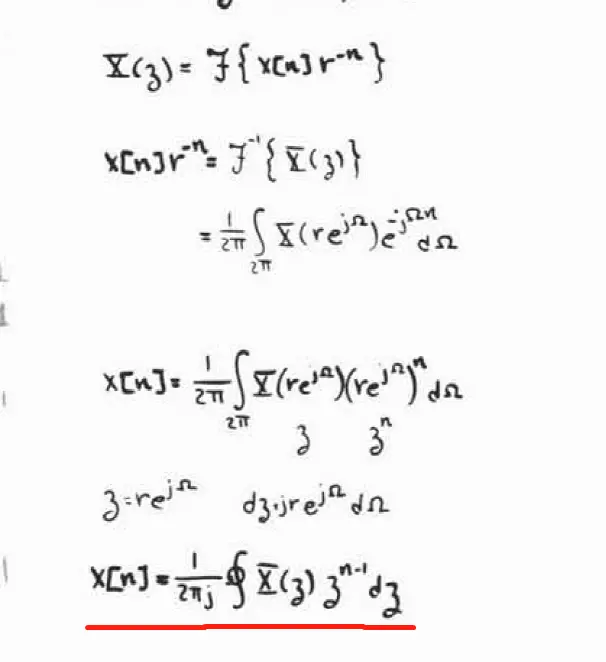
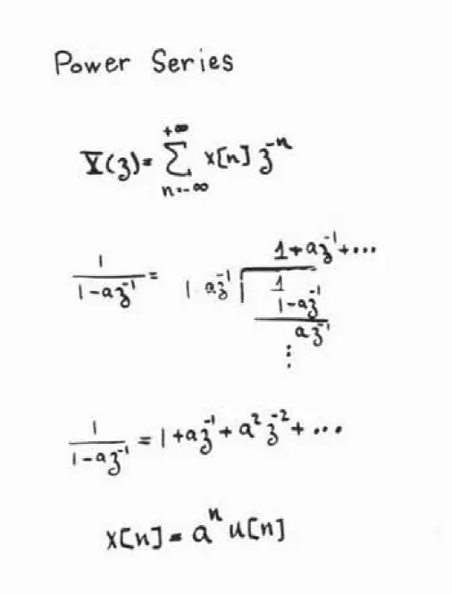
3 逆z变换

①公式法:

②部分分式+背诵

③求系数法(技巧)