1 回顾傅里叶变换
选取【复指数信号】作为基本信号
reason:复指数信号是LTI系统的特征函数/本征函数->a容易计算b能够表示多种信号

于是我们将信号表示成复指数信号的线性组合

2 拉普拉斯变换
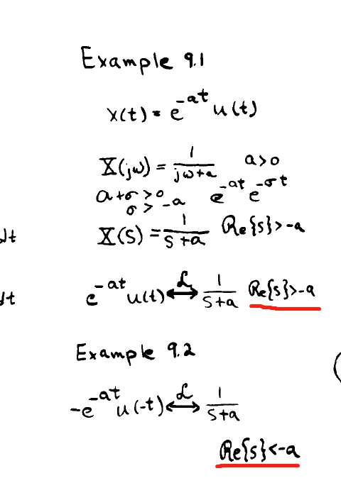
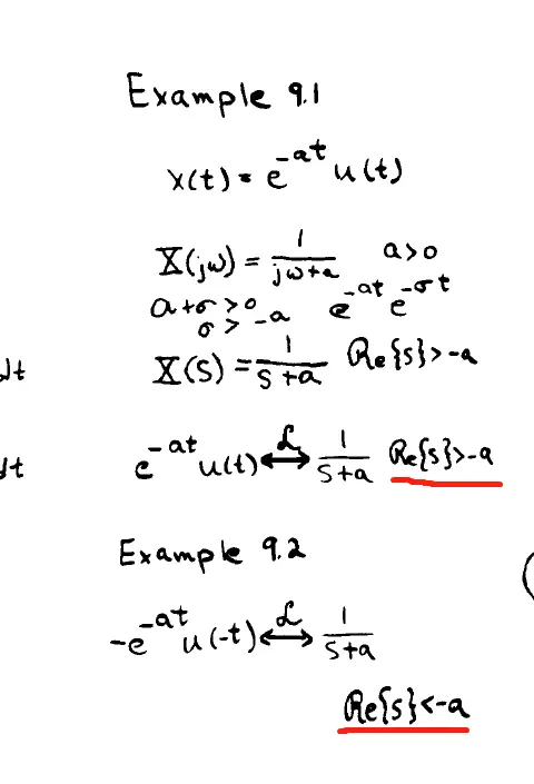
examlpe: 变化:不仅要写出代数式,而且还要写出收敛域

收敛性分析1: ★★结论:
①拉普拉斯变换在极点处没有收敛性(无穷大)
②如果拉普拉斯变换的收敛域包含某一个点,则复平面上此点的垂线上的点都是收敛点(因为收敛性只和σ有关)
③拉普拉斯变换的收敛域必定是【连通区域】(没有分散的区域,一条线可以串起来)
④如果信号x(t)的拉普拉斯变换在y轴(jω轴)上收敛(σ=0即傅里叶变换收敛),则信号x(t)的傅里叶变化收敛

根据信号类型可以判断收敛域,根据收敛域也可以判断信号的特性
example: 这种极点分布的收敛性可能有三种:





★★收敛性分析2:
- 有限持续时间函数不管是上升指数还是衰减指数->收敛域为整个s平面;因为有限时间函数,所以乘上指数不会有无穷大的情况,必定是有界的,所以必定收敛


右侧时间函数,拉普拉斯变换是有理分式->收敛域在最右极点的右边


- 两侧时间函数(两边无穷远)->收敛域是一个有限条形区域(夹在中间)
