《signals and systems》 七 连续时间傅里叶级数

288 阅读2分钟

七 连续时间傅里叶级数

1 引言

对于LTI系统,如果输入x(t)可以分解为一系列【基本信号】的线性组合,并且知道这些【基本信号】各自经过LTI系统的输出值,则输出y(t),就可以分解为这些【基本信号输出】的线性组合,不管是连续时间系统还是离散时间系统

【基本信号】必须满足两个条件

  • 经过LTI系统的输出容易计算
  • 信号很普遍,可以线性组合表示各种类型的信号

我们可以取【基本信号】为【impulse signal】,就引出了【卷积积分/卷积和】的概念,输出可以用【卷积积分/卷积和】来表示

在本章我们取【基本信号】为【复指数信号】,其可以满足两个前提条件

对于连续和离散信号,可以分别取如下的复指数信号作为【基本信号】,s_{k}z_{k}是复数

下面我们以 s 和 z 取纯虚数来分析,也就引入了【傅里叶变换】;如果是复数的话就可以引出【拉氏变换】和【z变换】

2 傅里叶级数分析

将复指数信号扔进LTI系统中,得到的输出仅仅是信号的幅值有变化。所以很适合作为【基本信号】

对于周期信号,我们进行傅里叶级数分析 对于非周期信号,我们进行傅里叶变换分析

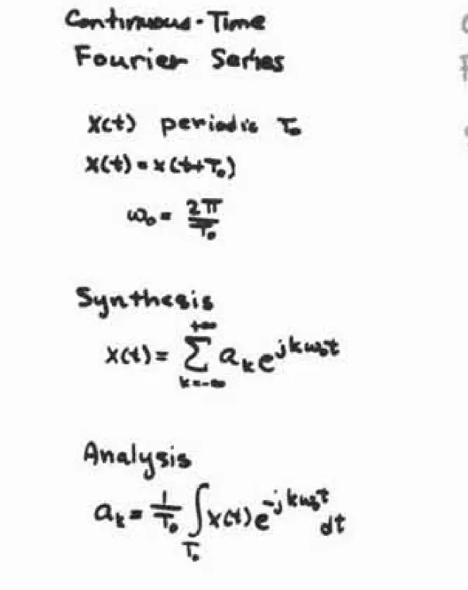
以下为【傅里叶级数】的综合和分析式

example: 可以用正余弦的累加来构造方波

结论:傅里叶级数和傅里叶变换中,【低频成分】用来构建信号的长期普遍特性(整体外观),【高频成分】用来构建信号在时遇上的一些突变部分(细节)。

傅里叶级数收敛条件

①信号平方可积,不是部分和每一个时刻的值都是正确值(无误差),而是则当N->∞时,误差的能量会趋于零 ②迪利克雷条件下,the signal goes to the right value at every time(误差趋于0) except at the continuties when N->∞

对于example中的方波,既满足①:误差能量趋于0,也满足②迪利克雷条件,除了不连续点外,当N->∞,误差->0

3 总结

对于【周期信号】,我们用一系列的【复指数基本信号】的线性组合来表示它,这个线性组合称之为【傅里叶级数】;我们使用线性组合的【部分和】来表示该周期信号,当信号满足【收敛条件】时,部分和的N → ∞,则误差能量为0,或误差为0。 对于【非周期信号】,我们把它变为一段周期信号,并延展至坐标轴无穷远,再进行【傅里叶级数】表示,此为【傅里叶变换】

4 复习精简版本