《signals and systems》 八 连续时间傅里叶变换

784 阅读1分钟

八 连续时间傅里叶变换

1 分析过程

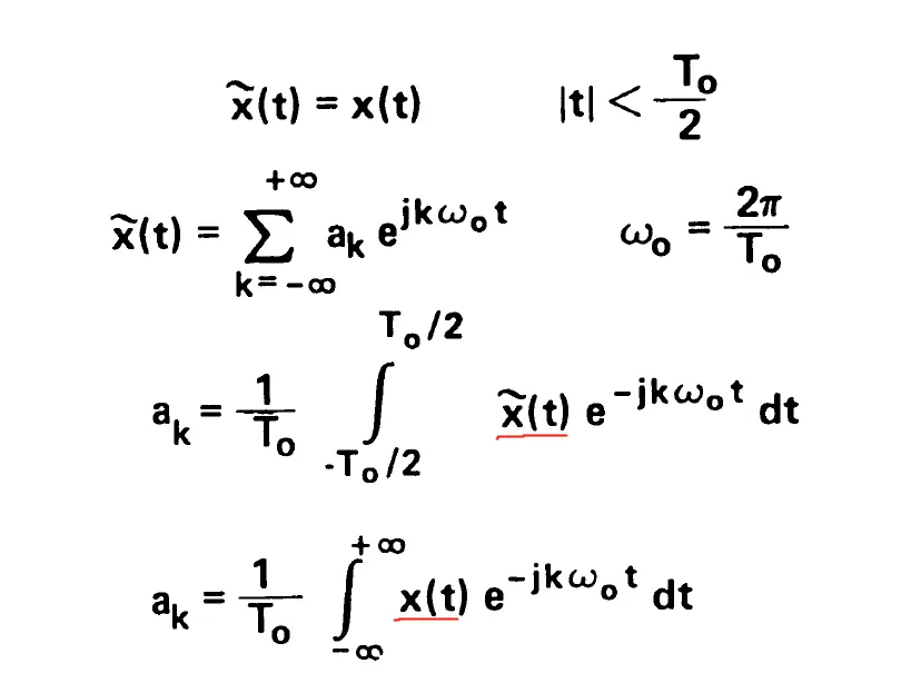
对于一个周期信号,引入傅里叶级数表示:

对于一个非周期信号,我们把它扩展成周期信号,当T0→∞,周期信号→非周期信号

傅里叶级数的系数ak等式右边为周期信号在一个周期内的积分,相当于非周期信号在整个坐标轴上的积分(仅有一个周期)

我们把kω0当作是一个变量的某个取值,ak就是包络函数X(ω)的一些采样值,(包络函数X(ω)即为傅里叶变换综合方程)。

非周期信号对应一个包络函数(傅里叶变换)

周期信号的傅里叶级数系数ak就是对应一个周期内非周期信号的傅里叶变换的采样,并且随着周期的变大,采样频率变小,当周期→∞,周期信号就→非周期信号。

傅里叶变换总结

傅里叶变换式子可以由实部和虚部组成,或者由幅频和相位组成

example: 【注】在傅里叶级数和傅里叶变换中,由于我们选择复指数作为基本信号,所以我们要求X(ω)有正频率也有负频率;(如果用正余弦函数表示,则只要正频率)

2 傅里叶级数和傅里叶变换的关系

傅里叶级数的系数是一个周期内信号(非周期信号)傅里叶变换的样本。

由上定义周期信号的傅里叶变换:(是一系列的冲击串)

例子:

★3 总结

example: