2个月前,业界开始流传youtube成功将RL应用在了推荐场景,并且演讲者在视频(https://www.youtube.com/watch?v=HEqQ2_1XRTs)中说是youtube近几年来取得的最显著的线上收益。
放出了两篇论文:Top-K Off-Policy Correction for a REINFORCE Recommender System和Reinforcement Learning for Slate-based Recommender Systems: A Tractable Decomposition and Practical Methodology。本文不想做论文讲解,已经有同学做的不错了:http://wd1900.github.io/2019/06/23/Top-K-Off-Policy-Correction-for-a-REINFORCE-Recommender-System-on-Youtube/。
个人建议两篇论文都仔细读读,TopK的篇幅较短,重点突出,比较容易理解,但细节上SlateQ这篇更多,对比着看更容易理解。而且,特别有意思的是,这两篇论文都说有效果,但是用的方法却不同,一个是off-policy,一个是value-base,用on-policy。很像大公司要做,把主流的几种路线让不同的组都做一遍,谁效果好谁上。个人更喜欢第二篇一些,会有更多的公式细节和工程实践的方案。
很多做个性化推荐的同学,并没有很多强化学习的背景,而RL又是一门体系繁杂的学科,和推荐中常用的supervised learning有一些区别,入门相对会困难一些。本文将尝试根据这两篇有工业界背景的论文,来解答下RL在推荐场景解决什么问题,又会遇到什么困难,我们入门需要学习一些哪些相关的知识点。本文针对有一定机器学习背景,但对RL领域并不熟悉的童鞋。
本文的重点如下:
- 目前推荐的问题是什么
- RL在推荐场景的挑战及解决方案
- 常见的套路是哪些
推荐系统目前的问题
目前主流的个性化推荐技术的问题,突出的大概有以下几点:
- 优化的目标都是short term reward,比如点击率、观看时长,很难对long term reward建模。
- 最主要的是预测用户的兴趣,但模型都是基于logged feedback训练,样本和特征极度稀疏,大量的物料没有充分展示过,同时还是有大量的新物料和新用户涌入,存在大量的bias。另外,用户的兴趣变化剧烈,行为多样性,存在很多Noise。
- pigeon-hole:在短期目标下,容易不停的给用户推荐已有的偏好。在另一面,当新用户或者无行为用户来的时候,会更倾向于用大爆款去承接。
RL应用在推荐的挑战
看slide
- extremely large action space:many millions of items to recommend.如果要考虑真实场景是给用户看一屏的物料,则更夸张,是一个排列组合问题。
- 由于是动态环境,无法确认给用户看一个没有看过的物料,用户的反馈会是什么,所以无法有效模拟,训练难度增加。
- 本质上都要预估user latent state,但存在大量的unobersever样本和noise,预估很困难,这个问题在RL和其他场景中共存。
- long term reward难以建模,且long/short term reward。tradeoff due to user state estimate error。
旅程开始
熟悉一个新领域,最有效率的做法是和熟悉的领域做结合。接下来,让我们先简单看下RL的基本知识点,然后从label、objective、optimization、evaluation来切入吧。
RL的基本知识
有一些基本的RL知识,我们得先了解一下,首先是场景的四元组结构:

RL最大的特点是和环境的交互,是一种trial-error的过程,通常我们会用MDP来描述整个过程,结合推荐场景,四元组数学定义如下:
• S: a continuous state space describing the user states;
• A: a discrete action space, containing items available for recommendation;
• P : S × A × S → R is the state transition probability;
• R : S × A → R is the reward function, where r(s, a) is the immediate reward obtained by performing action a at user state s;
RL在推荐场景的Label特点
众所周知,RL是典型的需要海量数据的场景,比如著名的AlphaGo采用了左右互博的方式来弥补训练数据不足的问题。但是在推荐场景,用户和系统的交互是动态的,即无法模拟。举个例子,你不知道把一个没有推荐过的商品a给用户,用户会有什么反馈。
老生常谈Bias
好在推荐场景的样本收集成本低,量级比较大,但问题是存在较为严重的Bias。即只有被系统展示过的物料才有反馈,而且,还会有源源不断的新物料和用户加入。很多公司会采用EE的方式去解决,有些童鞋表示EE是天问,这个点不能说错,更多的是太从技术角度考虑问题了。
EE要解决是的生态问题,必然是要和业务形态结合在一起,比如知乎的内容自荐(虽然效果是呵呵的)。这个点估计我们公司是EE应用的很成功的一个了,前阵子居然在供应商口中听到了准确的EE描述,震惊于我们的业务同学平时都和他们聊什么。
off-policy vs on-policy
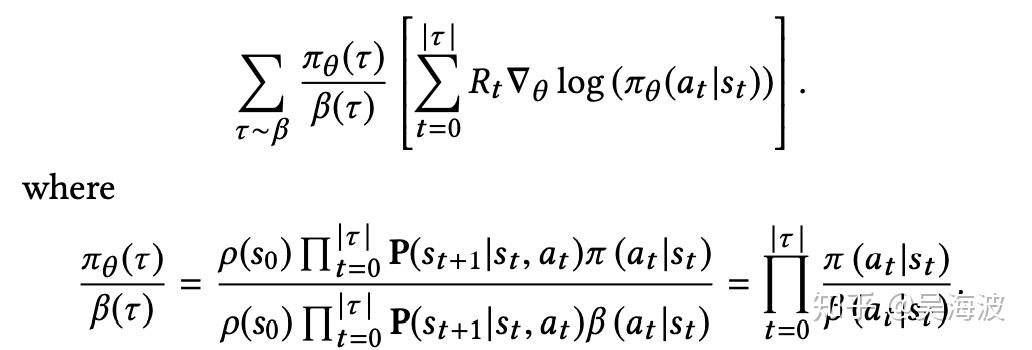
论文[1]则采取off-policy的方式来缓解。off-policy的特点是,使用了两个policy,一个是用户behavior的β,代表产生用户行为Trajectory:(s0,A0,s1, · · · )的策略,另一个是系统决策的π,代表系统是如何在面对用户a在状态s下选择某个action的。
RL中还有on-policy的方法,和off-policy的区别在于更新Q值的时候是沿用既定策略还是用新策略。更好的解释参考这里:https://www.zhihu.com/question/57159315
importance weight
off-policy的好处是一定程度上带了exploration,但也带来了问题:
In particular, the fact that we collect data with a periodicity of several hours and compute many policy parameter updates before deploying a new version of the policy in production implies that the set of trajectories we employ to estimate the policy gradient is generated by a different policy. Moreover, we learn from batched feedback collected by other recommenders as well, which follow drastically different policies. A naive policy gradient estimator is no longer unbiased as the gradient in Equation (2) requires sampling trajectories from the updated policy πθ while the trajectories we collected were drawn from a combination of historical policies β.
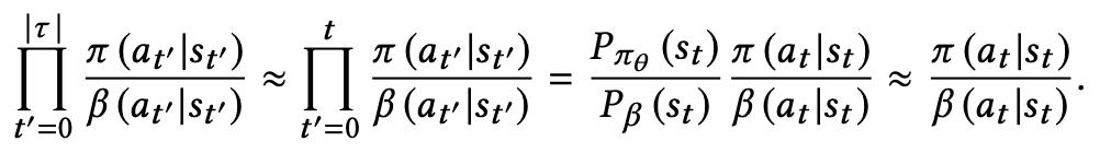
常见的是引入importance weighting来解决。看下公式

从公式看,和标准的objective比,多了一个因子,因为这个因子是连乘和rnn的问题类似,梯度容易爆炸或消失。论文中用了一个近似解,并有人证明了是ok的。

RL在推荐场景的Objective特点
在前文中,我们提到,现有的推荐技术,大多是在优化短期目标,比如点击率、停留时长等,用户的反馈是实时的。用户的反馈时长越长,越难优化,比如成交gmv就比ctr难。
同时也说明,RL可能在这种场景更有优势。看下objective的形式表达:

可以发现,最大的特点是前面有个累加符号。这也意味着,RL可以支持和用户多轮交互,也可以优化长期目标。这个特点,也是最吸引做个性化推荐的同学,大家想象下自已在使用一些个性化产品的时候,是不是天然就在做多轮交互。
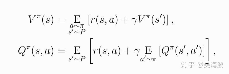
轮到Bellman公式上场了,先看下核心思想:
The value of your starting point is the reward you expect to get from being there, plus the value of wherever you land next.
看下公式,注意它包含了时间,有助于理解。

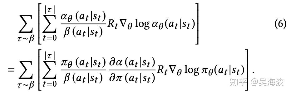
在论文[2]中,有更多关于bellman在loss中推导的细节。由于论文[1]采用的policy-gradient的优化策略,我们需要得到loss的梯度:

加入importance weighting和一些correction后,

更多细节可以去参考论文。
optimization和evaluation
通常,RL可以分成两种,value-base和policy-base,虽然不是完全以optimial的角度看,但两种套路的优化方法有较大的区别。其中value-base虽然直观容易理解,但一直被质疑不能稳定的收敛。
they are known to be prone to instability with function approximation。
而policy-base则有较好的收敛性质,所以在很多推荐场景的RL应用,大部分会选择policy-base。当然现在也很有很多二者融合的策略,比如A3C、DDPG这种,也是比较流行的。
怎么训练β和π
π的训练是比较常规的,有意思的是β的学习。用户的behavior是很难建模的,我们还是用nn的方式去学一个出来,这里有一个单独的分支去预估β,和π是一个网络,但是它的梯度不回传,如下图:

这样就不会干扰π。二者的区别如下:
(1) While the main policy πθ is effectively trained using a weighted softmax to take into account of long term reward, the behavior policy head βθ′ is trained using only the state-action pairs;
(2) While the main policy head πθ is trained using only items on the trajectory with non-zero reward 3, the behavior policy βθ′ is trained using all of the items on the trajectory to avoid introducing bias in the β estimate.
为何要把evaluation拿出来讲呢?通常,我们线下看AUC,线上直接看abtest的效果。本来我比较期待论文中关于长期目标的设计,不过论文[1]作者的方式还是比较简单,可借鉴的不多:
The immediate reward r is designed to reflect different user activities; videos that are recommended but not clicked receive zero reward. The long term reward R is aggregated over a time horizon of 4–10 hours.
论文[2]中没有细讲。
两篇论文中还有很大的篇幅来讲Simulation下的结果,[1]的目的是为了证明作者提出的correction和topK的作用,做解释性分析挺好的,[2]做了下算法对比,并且验证了对user choice model鲁棒,但我觉得对实践帮助不大。
One more thing:TopK在解决什么问题?
listwise的问题
主流的个性化推荐应用,都是一次性给用户看一屏的物料,即给出的是一个列表。而目前主流的个性化技术,以ctr预估为例,主要集中在预估单个物料的ctr,和真实场景有一定的gap。当然,了解过learning to rank的同学,早就听过pointwise、pairwise、listwise,其中listwise就是在解决这个问题。
通常,listwise的loss并不容易优化,复杂度较高。据我所知,真正在实践中应用是不多的。RL在推荐场景,也会遇到相同的问题。但直接做list推荐是不现实的,假设我们一次推荐K个物料,总共有N个物料,那么我们能选择的action就是一个排列组合问题,C_N_K * K!个,当N是百万级时,量级非常夸张。
这种情况下,如果不做些假设,问题基本就没有可能在现实中求解了。
youtube的两篇论文,都将问题从listwise(他们叫slatewise)转化成了itemwise。但这个itemwise和我们常规理解的pointwise的个性化技术还是有区别的。在于这个wise是reward上的表达,同时要引申出user choice model。
user choice model
pointwise的方法只考虑单个item的概率,论文中提出的itemwise,虽然也是认为最后的reward只和每个被选中的item有关,且item直接不互相影响,但它有对user choice做假设。比如论文[2]还做了更详细的假设,将目标函数的优化变成一个多项式内可解的问题:

这两个假设也蛮合理的,SC是指用户一次指选择一个item,RTDS是指reward只和当前选择的item有关。
有不少研究是专门针对user choice model的,一般在经济学中比较多。推荐中常见的有cascade model和mutilnomial logit model,比如cascade model,会认为用户选择某个item的概率是p,那么在一个list下滑的过程中,点击了第j个item的概率是(1-p(i))^j * p(j).
论文[1]中最后的objective中有一个因子,表达了user choice的假设:

简单理解就是,用π当做用户每次选择的概率,那上面就是K-1不选择a概率的连乘。而论文[2]中,RL模型和现有的监督模型是融合在一起的,直接用pCTR模型预估的pctr来当这个user choice的概率。
最后
这篇写的有点长,但就算如此,看了本文也很难让大家一下子就熟悉了RL,希望能起到抛砖引玉的作用吧。从实践角度讲,比较可惜的是long term reward的建模、tensorflow在训练大规模RL应用时的问题讲的很少。最后,不知道youtube有没有在mutil-task上深入实践过,论文[2]中也提到它在long term上能做一些事情,和RL的对比是怎么样的。
参考
[1] Top-K Off-Policy Correction for a REINFORCE Recommender System
[2] Reinforcement Learning for Slate-based Recommender Systems: A Tractable Decomposition and Practical Methodology*
[3] https://slideslive.com/38917655/reinforcement-learning-in-recommender-systems-some-challenges
[4] https://zhuanlan.zhihu.com/p/72669137
[5] 强化学习中on-policy 与off-policy有什么区别?https://www.zhihu.com/question/57159315