CocosCreator中worldMatrix到底是什么(下)

1,412 阅读9分钟

Cocos Creator 中 _worldMatrix 到底是什么(下)

1. 摘要

上篇介绍了矩阵的基本知识以及对应图形变换矩阵推倒。中篇具体介介绍了对应矩阵转换成cocos creator代码的过程。这篇我们将通过一个具体的实例来验证我们上篇和中篇的结果。

2. 场景准备

新建一个cocos项目,在层级管理器Canvas下依次完成以下节点建立。

  1. 新建一个Sprite(单色)节点并设置大小为100,100黄色背景,取名matrixReference
  2. 新建一个Sprine(单色)节点并设置大小为100,100浅蓝色背景,取名matrix
  3. 在matrix节点下新建一个空节点,取名center。然后在属性检查器中添加Graphics组件,并设置Stroke Color 为蓝色
  4. 回到Canvas,新建一个空节点,取名line。然后在属性检查器中添加Graphisc组件,并设置Stroke Color为白色

脚本文件准备。在资源管理器scripts文件夹下,新建脚本 matrix.ts 和 line.ts。matrix.ts用来完成矩阵的验证操作。line.ts用来绘画一个平面的xy坐标系。

3. 绘制平面坐标系

利用Graphic画笔功能,分别沿水平方向和垂直方向绘制长度100的两条直线。然后在轴的正方向绘制一个三角形箭头。绘制代码如下

start() {
let g = this.getComponent(cc.Graphics);
//  y轴
g.moveTo(0, -100);
g.lineTo(0, 100);
g.lineTo(-10, 80);
g.lineTo(10, 80);
g.lineTo(0, 100);
// x 轴
g.moveTo(-100, 0);
g.lineTo(100, 0);

g.lineTo(80, -10);
g.lineTo(80, 10);
g.lineTo(100, 0);
g.stroke();
}

将此用户组件分别绑定到节点line和center下,完成后刷新浏览器我们会看到如下界面

从上图可知,cocos creator 中层级覆盖方式是下覆盖上。所目前只能看浅蓝色的方块以及白色线条的坐标系。

4. 测试代码准备

验证cocos creator 对应节点变换的矩阵信息,需要通过输出当前节点的本地矩阵和世界矩阵,以及当前节点设置信息,和父级节点的设置信息。所以我们在matrix.ts中先创建一个log函数用于输出当前节点各种属性状态值。代码如下:

log(title) {
console.log(`---${title}---`);
let wm = cc.mat4();
this.node.getWorldMatrix(wm);
console.log("---1. [世界坐标矩阵]---");
console.log(wm.toString());

let lm = cc.mat4();
this.node.getLocalMatrix(lm);
console.log("---2. [本地坐标矩阵]---");
console.log(lm.toString());

console.log("---3. [当前各属性状态]---");

console.log(`
   1. position: ${this.node.position.toString()}
   2. scale: ${this.node.scale.toString()}
   3. angle: ${this.node.angle}
   4. skewX: ${this.node.skewX}
   5. skewY: ${this.node.skewY}
   6. width: ${this.node.width}
   7. height: ${this.node.height}
   8. parentWidth: ${this.node.parent.width}
   9. parentHeight: ${this.node.parent.height}`)

console.log("---4. [锚点角(0,0)坐标信息]---")
let wordVec = this.node.convertToWorldSpaceAR(cc.v2(0, 0));
let localVec = this.node.parent.convertToNodeSpaceAR(wordVec);
console.log(`原点的世界坐标:${wordVec.toString()}  本地坐标: ${localVec.toString()}`);

console.log("---5. [右上角(50,50)坐标信息]---")
wordVec = this.node.convertToWorldSpaceAR(cc.v2(50, 50));
localVec = this.node.parent.convertToNodeSpaceAR(wordVec);
console.log(`右上角的世界坐标:${wordVec.toString()}  本地坐标: ${localVec.toString()}`);
}

将matrix.ts以用户组件的方式添加到matrix节点。然后回到matrix.ts脚本当中,并在start方法中添加如下代码

start() {
  this.log("初始状态");
}

编译运行,刷新浏览器,我们就可以在Console控制台中,看到如下信息

------------------初始状态-------------------
---1. [世界坐标矩阵]---
[
1, 0, 0, 0,
0, 1, 0, 0,
0, 0, 1, 0,
480, 320, 0, 1
]
---2. [本地坐标矩阵]---
[
1, 0, 0, 0,
0, 1, 0, 0,
0, 0, 1, 0,
0, 0, 0, 1
]
---3. [当前各属性状态]---
1. position: (0.00, 0.00, 0.00)
2. scale: 1
3. angle: 0
4. skewX: 0
5. skewY: 0
6. width: 100
7. height: 100
8. parentWidth: 960
9. parentHeight: 640
---4. [锚点角(0,0)坐标信息]---
原点的世界坐标:(480.00, 320.00)  本地坐标: (0.00, 0.00)
---5. [右上角(50,50)坐标信息]---
右上角的世界坐标:(530.00, 370.00)  本地坐标: (50.00, 50.00)

从输出结果可知,当前节点的世界坐标,只有m12和m13有值分别是480和320。然后我们Canvas的宽高分别是960和460,锚点分别是0.5和0.5,此结果就已经说明了平移矩阵。当前节点本地坐标矩阵为单位矩阵,其他属性都保持默认值。这里有必要仔细看看输出的第4和第五。分别输出了当前节点原点位置和右上角的世界坐标和本地坐标。从世界坐标可知,右上角的坐标为原点实际坐标加上50(锚点0.5)480+50=530 。也符合预期。

5. 旋转30度

在start中添加代码

start() {
  this.log("初始状态");
  this.node.angle = 30;
  this.log("1. 旋转30°");
  this.node.rotation=30;
  this.log("2. 旋转30°");
}

在代码中使用了两次旋转分别使用angle以及rotation 前者默认逆时针方向后者默认顺时针方向。也许目前您可能会认为逆时针旋转30°,然后再顺时针旋转30°,刚好回到0°位置。其实不是的,cocos 中矩阵的更新是通过最后的状态值确定的。图像最终表现为顺时针旋转30°。在最初构思这部分内容时,想更清晰展示矩阵在游戏开发中的魔力。计划是通过属性的方式将图形变形,然后直接改变node私有变量_matrix给变回去,就泡汤了。以上代码图形的最终结果如下

回到控制台,输出的日志信息如下

------------------旋转30°-------------------
---1. [世界坐标矩阵]---
[
0.8660254037844387, -0.49999999999999994, 0, 0,
0.49999999999999994, 0.8660254037844387, 0, 0,
0, 0, 1, 0,
480, 320, 0, 1
]
---2. [本地坐标矩阵]---
[
0.8660254037844387, -0.49999999999999994, 0, 0,
0.49999999999999994, 0.8660254037844387, 0, 0,
0, 0, 1, 0,
0, 0, 0, 1
]
---3. [当前各属性状态]---
1. position: (0.00, 0.00, 0.00)
2. scale: 1
3. angle: -30
4. skewX: 0
5. skewY: 0
6. width: 100
7. height: 100
8. parentWidth: 960
9. parentHeight: 640
---4. [锚点角(0,0)坐标信息]---
原点的世界坐标:(480.00, 320.00)  本地坐标: (0.00, 0.00)
---5. [右上角(50,50)坐标信息]---
右上角的世界坐标:(548.30, 338.30)  本地坐标: (68.30, 18.30)

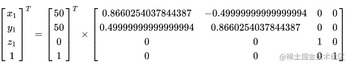
以上输出中 math.sin(math.PI/6)=0.499,math.cos(math.PI/6)=0.866,最终使用的rotation所有需要注意负号。从当前属性的状态中也angle=-30也说明了问题。本地坐标矩阵和世界坐标矩阵结果也符合推导结果。我们这里在看看右上角(50,50)的坐标变成了(68.30,18.30),我们通过结果矩阵来推导下这个坐标值,由于cocos creator中Mat4中 toString方法做了转置,所有需要使用点乘本地坐标矩阵,即

根据矩阵公式可知

6. 分别沿x轴和y轴方向倾斜30°

修改start中代码为如下

start() {
 this.log("初始状态");
 this.node.angle = 30;
 this.log("旋转30°");
 this.node.rotation = 30;
 this.log("旋转30°");
 this.node.skewX = 30;
 this.node.skewY = 30;
 this.log("XY倾斜30°");
}

重新编译,您将在浏览器看到倾斜后的图形,显示如下

回到控制台,输出日志如下

------------------XY倾斜30°-------------------
---1. [世界坐标矩阵]---
[
1.1547005383792515, 5.551115123125783e-17, 0, 0,
1, 0.577350269189626, 0, 0,
0, 0, 1, 0,
480, 320, 0, 1
]
---2. [本地坐标矩阵]---
[
1.1547005383792515, 5.551115123125783e-17, 0, 0,
1, 0.577350269189626, 0, 0,
0, 0, 1, 0,
0, 0, 0, 1
]
---3. [当前各属性状态]---
1. position: (0.00, 0.00, 0.00)
2. scale: 1
3. angle: -30
4. skewX: 30
5. skewY: 30
6. width: 100
7. height: 100
8. parentWidth: 960
9. parentHeight: 640
---4. [锚点角(0,0)坐标信息]---
原点的世界坐标:(480.00, 320.00)  本地坐标: (0.00, 0.00)
---5. [右上角(50,50)坐标信息]---
右上角的世界坐标:(587.74, 348.87)  本地坐标: (107.74, 28.87)

说明,在js中一个很小的值就认为是0,针对输出结果做一下简单推导,由于旋转和倾斜都是30度所有,我们用s c t 分别代表sin(30) cos(30) tan(30) 所以当前输出的复合矩阵P有以下关系

依次带入求值便可得到以上输出结果。

7. 将图形缩放0.5倍

继续修改start方法里边的代码,改动如下

start() {
this.log("初始状态");
this.node.angle = 30;
this.log("旋转30°");
this.node.rotation = 30;
this.log("旋转30°");
this.node.skewX = 30;
this.node.skewY = 30;
this.log("XY倾斜30°");
this.node.scale = 0.5;
this.log("缩小50%");
}

重新编译,您将在浏览器看到缩小后的图形,显示如下

回到控制台,输出日志如下

------------------缩小50%-------------------
---1. [世界坐标矩阵]---
[
0.5773502691896257, 2.7755575615628914e-17, 0, 0,
0.5, 0.288675134594813, 0, 0,
0, 0, 1, 0,
480, 320, 0, 1
]
---2. [本地坐标矩阵]---
[
0.5773502691896257, 2.7755575615628914e-17, 0, 0,
0.5, 0.288675134594813, 0, 0,
0, 0, 1, 0,
0, 0, 0, 1
]
---3. [当前各属性状态]---
1. position: (0.00, 0.00, 0.00)
2. scale: 0.5
3. angle: -30
4. skewX: 30
5. skewY: 30
6. width: 100
7. height: 100
8. parentWidth: 960
9. parentHeight: 640
---4. [锚点角(0,0)坐标信息]---
原点的世界坐标:(480.00, 320.00)  本地坐标: (0.00, 0.00)
---5. [右上角(50,50)坐标信息]---
右上角的世界坐标:(533.87, 334.43)  本地坐标: (53.87, 14.43)

针对缩放相对简单,输出结果矩阵每项直接乘以缩放比列0.5可得

8. 将图形向右上方平移10px

继续修改start方法里边的代码,改动如下

 start() {
   this.log("初始状态");
   this.node.angle = 30;
   this.log("旋转30°");
   this.node.rotation = 30;
   this.log("旋转30°");
   this.node.skewX = 30;
   this.node.skewY = 30;
   this.log("XY倾斜30°");
   this.node.scale = 0.5;
   this.log("缩小50%");
   this.node.setPosition(10, 10);
   this.log("平移(10,10)");
 }

重新编译,您将在浏览器看到平移后的图形,显示如下

回到控制台,输出日志如下

------------------平移(10,10)-------------------
---1. [世界坐标矩阵]---
[
0.5773502691896257, 2.7755575615628914e-17, 0, 0,
0.5, 0.288675134594813, 0, 0,
0, 0, 1, 0,
490, 330, 0, 1
]
---2. [本地坐标矩阵]---
[
0.5773502691896257, 2.7755575615628914e-17, 0, 0,
0.5, 0.288675134594813, 0, 0,
0, 0, 1, 0,
10, 10, 0, 1
]
---3. [当前各属性状态]---
1. position: (10.00, 10.00, 0.00)
2. scale: 0.5
3. angle: -30
4. skewX: 30
5. skewY: 30
6. width: 100
7. height: 100
8. parentWidth: 960
9. parentHeight: 640
---4. [锚点角(0,0)坐标信息]---
原点的世界坐标:(490.00, 330.00)  本地坐标: (10.00, 10.00)
---5. [右上角(50,50)坐标信息]---
右上角的世界坐标:(543.87, 344.43)  本地坐标: (63.87, 24.43)

对比输出结果可知,平移对a b c d并无影响。仅仅是将m12和m13的值分别加上(x,y)方向的平移量。从输出4和5可知,平移改变了原点的位置。

9. 总结

游戏中的matrix,欧拉角,四元素,复数。这些基础知识在学习时不知其有何用。当真实使用起来时,才发现其中的奥秘。技术这块路,不一定要追新。往往原理性的东西,那些伟人早都研究透彻了。这三篇文章,从计划到完成预计2月时间。确实很多基础知识需要补充。当然,其中肯定有理解不对的地方,如有发现,希望热心的同行,能加我wx反馈。在此先谢谢了

原创欢迎感兴趣的朋友关注我的微信订阅号"小院不小",或者点击下方的二维码关注。我将多年开发中遇到的难点,以及一些有意思的功能,体会都会一一发布到我的订阅号中。需要本文demo可以在公众号中回复matrix

维护了一个Coscos Creator 的游戏开发群,欢迎喜欢聊技术的朋友加入

闲来无事,采用cocos creator开发了一个小游戏【坦克侠】,感兴趣的朋友一个可以来玩玩