8.提升方法

279 阅读1分钟
  1. AdaBoost
    1. 提高前一轮弱分类器错误分类样本的权值
    2. 使用加权多数表决,加大分类器误差率小的弱分类器的权值,使其在表决中起较大的作用

    3. 一般AdaBoost的变形是改变策略(即损失函数)
    4. 例子



  2. 前向分布算法

    1. AdaBoost是前向分布加法算法的特例。这时,模型是由基本分类器组成的加法模型,损失函数指数函数
  3. 提升树和GBDT
    1. 提升树
      1. 分类:二叉分类树(指数损失函数);回归:二叉回归树(平方损失函数)。
      2. 采用前向分布算法分类回归树,相当于基本分类器(基函数)为决策树的AdaBoost算法。
      3. 提升树算法即残差与平方误差损失的等价证明

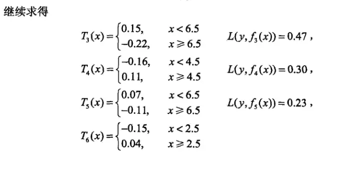
      4. 例子





    2. GBDT
      1. 将最速下降作为残差的近似方法
      2. GBDT算法及最速下降可作为残差近似的证明

        1. 计算出Rmj,Cmj需要代回去计算。由于示性函数,只需计算M项Cmj。