python上机

4,111 阅读20分钟

python第一次上机练习

7-1 jmu-python-运算符-找钱

买单时,营业员要给用户找钱。营业员手里有10元、5元、1元(假设1元为最小单位)几种面额的钞票,其希望以尽可能少(张数)的钞票将钱换给用户。比如,需要找给用户17元,那么其需要给用户1张10元,1张5元,2张1元。 而不是给用户17张1元或者3张5元与2张1元。

输入格式: 输入n,代表要进行n次测试。 然后输入n行整数,每行代表要找的钱。

输出格式: 按照如下格式输出,x代表要找的钱总数,?代表每种面额所需的数量。

x = ?*10 + ?*5 + ?*1

注意:= 与 +左右均有空格。

输入样例:

109
17
10
3
0

输出样例:

109 = 10*10 + 1*5 + 4*1
17 = 1*10 + 1*5 + 2*1
10 = 1*10 + 0*5 + 0*1
3 = 0*10 + 0*5 + 3*1
0 = 0*10 + 0*5 + 0*1

代码:

def Jmu(a):
    x = 0
    y = 0
    z = 0
    b = a
    while True:
        if a >= 10:
            a -= 10
            x += 1
        elif a >= 5:
            a -= 5
            y += 1
        elif a > 0:
            a -= 1
            z += 1
        else:
            break

    print("%d = %d*10 + %d*5 + %d*1" % (b, x, y, z))
    # print("{} = {}*10 + {}*5 + {}*1".format(b, x, y, z))

n = eval(input())
for i in range(n):
    a = eval(input())
    Jmu(a)

7-2 jmu-python-是否偶数

输入一个整数,判断是否偶数

输入样例:

7

输出样例:

7不是偶数

输入样例:

8

输出样例:

8是偶数

代码:

a =int(input())
if a % 2 == 0:
    print("%d是偶数" % a)
else:
    print("%d不是偶数" % a)

7-3 jmu-python-求三角形面积及周长

输入的三角形的三条边a、b、c,计算并输出面积和周长。假设输入三角形三边是合法整形数据。

三角形面积计算公式:

,其中

s=(a+b+c)/2
import math  #导入math库
math.sqrt(x)  #调用sqrt函数实现开平方运算,x表示要求值的数据
输入格式:
每行输入一个数据,表示三角形一条边。

输出格式: area=面积;perimeter=周长, 面积和周长保留2位小数

输入样例:

3
4
5

输出样例:

area=6.00;perimeter=12.00

代码:

import math
a = eval(input())
b = eval(input())
c = eval(input())
s = (a+b+c)/2
area = math.sqrt(s*(s-a)*(s-b)*(s-c))
perimeter = a+b+c
print("area=%.2f;perimeter=%.2f" % (area, perimeter))

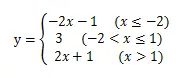
7-4 jmu-分段函数l

本题目要求计算以下分段函数的值(x为从键盘输入的一个任意实数):

如果输入非数字,则输出“Input Error!”

输入格式: 在一行中输入一个实数x。

输出格式: 在一行中按”y=result”的格式输出,其中result保留两位小数。

输入样例:

-2

输出样例: 在这里给出相应的输出。例如:

y=3.00

代码:

# 运行错误时,主动抛出异常
def demo1(x):
    if x > 1:
        y = 2 * x + 1
    elif x > -2:
        y = 3
    else:
        y = -2 * x - 1
    print("y={:.2f}".format(y))


try:
    x = eval(input())
    demo1(x)
except Exception as result:
    print("Input Error!")

python第二次上机练习

7-1 jmu-python-回文数判断(5位数字)

本题目要求输入一个5位自然数n,如果n的各位数字反向排列所得的自然数与n相等,则输出yes,否则输出no

输入格式:

13531

输出格式:

yes

输入样例1:

13531

输出样例1:

yes

输入样例2:

13530

输出样例2:

no

代码:

num1 = eval(input())
num = num1
num3 = 0
for i in range(5):
    num2 = num1 % 10
    num1 = (num1 - num2) / 10
    num3 += num2 *(10 ** (4-i))
if num3 == num:
    print("yes")
else:
    print("no")

7-2 jmu-python-凯撒密码加密算法

编写一个凯撒密码加密程序,接收用户输入的文本和密钥k,对明文中的字母a-z和字母A-Z替换为其后第k个字母。

输入格式:

接收两行输入,第一行为待加密的明文,第二行为密钥k。

输出格式:

输出加密后的密文。

输入样例:

在这里给出一组输入。例如:

Hello World!
3

输出样例:

在这里给出相应的输出。例如:

Khoor Zruog!

代码:

ch = input()
k = int(input())
a = 'abcdefghijklmnopqrstuvwxyz'
A = 'ABCDEFGHIJKLMNOPQRSTUVWXYZ'
for i in ch:
    if 'a'<= i<= 'z':
        n = a.find(i)
        print(a[(n + k + 26)%26],end='')
    elif 'A'<= i <='Z':
        n = A.find(i)
        print(A[(n + k + 26)%26],end='')
    else:
        print(i,end = '')

7-3 你好

你的程序会读入一个名字,比如John,然后输出“Hello John”。

输入格式:

一行文字。

输出格式:

一行文字。

输入样例:

Mary Johnson

输出样例:

Hello Mary Johnson

代码:

name1 = input()
print('Hello ' + name1)

7-4 Py的A+B

程序会读入两行,每行都是一个数字,输出这两个数字的和

输入格式:

两行文字,每行都是一个数字

输出格式:

一行数字

输入样例:

18
21

输出样例:

39

代码:

num1 = eval(input())
num2 = eval(input())
num = num1 + num2
print(num)

7-5 摄氏温度转换华氏温度

温度刻画存在不同体系,摄氏度以1标准大气压下水的结冰点为0度,沸点为100度,将温度进行等分刻画。华氏度以1标准大气压下水的结冰点为32度,沸点为212度,将温度进行等分刻画。

根据华氏和摄氏温度定义,转换公式如下:

  • C = ( F – 32 ) / 1.8
  • F = C * 1.8 + 32

输入格式:

一个不带小数点的数字,表示设摄氏温度。

输出格式:

一个表示华氏温度的数字。请直接采用print()输出计算结果,不需要对输出格式做处理。

输入样例:

36

输出样例:

96.8

代码:

C = eval(input())  
F = C * 1.8 + 32
print(F)

7-6 从键盘输入三个数到a,b,c中,按公式值输出

在同一行依次输入三个值a,b,c,用空格分开,输出b*b-4*a*c的值

输入格式:

在一行中输入三个数。

输出格式:

在一行中输出公式值。

输入样例:

在这里给出一组输入。例如:

3 4 5

输出样例:

在这里给出相应的输出。例如:

-44

代码:

a,b,c = map(int,input().split())
print(b * b - 4 * a * c)

7-7 产生每位数字相同的n位数

读入2个正整数A和B,1<=A<=9, 1<=B<=10,产生数字AA...A,一共B个A

输入格式:

在一行中输入A和B。

输出格式:

在一行中输出整数AA...A,一共B个A

输入样例1:

在这里给出一组输入。例如:

1, 5

输出样例1:

在这里给出相应的输出。例如:

11111

输入样例2:

在这里给出一组输入。例如:

3 ,4

输出样例2:

在这里给出相应的输出。例如:

3333

代码:

A,B = map(int,input().split(','))
for i in range(B):
    print("%d" % A,end = '')


python第三次(上机)练习

7-1 jmu-python-汇率兑换

按照1美元=6人民币的汇率编写一个美元和人民币的双向兑换程序

输入格式:

输入人民币或美元的金额,人民币格式如:R100,美元格式如:$100

输出格式:

输出经过汇率计算的美元或人民币的金额,格式与输入一样,币种在前,金额在后,结果保留两位小数

输入样例1:

R60

输出样例1:

$10.00

输入样例2:

$5

输出样例2:

R30.00

代码:

money = input()

if money[0] == 'R':
    R_num = int(money[1:])
    M_num = R_num / 6.0
    print("$%.2f" % M_num)
elif money[0] == '$':
    M_num = int(money[1:])
    R_num = M_num * 6.0
    print("R%.2f" % R_num)

7-2 jmu-python-九九乘法表(矩形)

本题目要求输出如下图所示的九九乘法表

注:乘积要求做格式控制,占4个位置的宽度

输入样例:

输出样例:

1*1=1   1*2=2   1*3=3   1*4=4   1*5=5   1*6=6   1*7=7   1*8=8   1*9=9   
2*1=2   2*2=4   2*3=6   2*4=8   2*5=10  2*6=12  2*7=14  2*8=16  2*9=18  
3*1=3   3*2=6   3*3=9   3*4=12  3*5=15  3*6=18  3*7=21  3*8=24  3*9=27  
4*1=4   4*2=8   4*3=12  4*4=16  4*5=20  4*6=24  4*7=28  4*8=32  4*9=36  
5*1=5   5*2=10  5*3=15  5*4=20  5*5=25  5*6=30  5*7=35  5*8=40  5*9=45  
6*1=6   6*2=12  6*3=18  6*4=24  6*5=30  6*6=36  6*7=42  6*8=48  6*9=54  
7*1=7   7*2=14  7*3=21  7*4=28  7*5=35  7*6=42  7*7=49  7*8=56  7*9=63  
8*1=8   8*2=16  8*3=24  8*4=32  8*5=40  8*6=48  8*7=56  8*8=64  8*9=72  
9*1=9   9*2=18  9*3=27  9*4=36  9*5=45  9*6=54  9*7=63  9*8=72  9*9=81  

代码:

for x in range(1, 10, 1):
    if x>1:
        print()
    for y in range(1, 10, 1):
        print("%d*%d=%-4d" % (x, y, x * y), end="")

7-3 jmu-python-判断是否构成三角形

输入三角形的三边,判断是否能构成三角形。若能构成输出yes,否则输出no。 输入格式:

在一行中直接输入3个整数,3个整数之间各用一个空格间隔,没有其他任何附加字符。

输出格式:

直接输出yesno,没有其他任何附加字符。

输入样例1:

3 4 5

输出样例1:

yes

输入样例2:

1 2 3

输出样例2:

no

代码

x, y, z = map(int, input().split(" "))
if (x + y > z) and (x + z > y) and (y + z > x):
    print("yes")
else:
    print("no")

7-4 jmu_python_最大公约数&最小公倍数

本题要求从键盘输入两个整数(以逗号间隔),编程求出这两个数的最大公约数和最小公倍数

提示: 求最大公约数可用辗转相除法,最小公倍数用两数的积除以最大公约数 输入格式:

在一行中输入两个整数,以逗号间隔

输出格式:

输出“GCD:a, LCM:b",其中a为求出的最大公约数,b为求出的最小公倍数

注意:在逗号后面有个空格

输入样例:

12,14

输出样例:

GCD:2, LCM:84

代码:

def gcd(a, b):
    while b != 0:
        temp = a % b
        a = b
        b = temp
    return a


a, b = map(int, input().split(","))
print("GCD:%d, LCM:%d" % (gcd(a, b), a * b / gcd(a, b)))

7-5 转换函数使用

输入一个整数和进制,转换成十进制输出

输入格式:

在一行输入整数和进制

输出格式:

在一行十进制输出结果

输入样例:

在这里给出一组输入。例如:45,8

输出样例:

在这里给出相应的输出。例如: 37

代码:

'''
基数:base
'''
num_str, base = map(str, input().split(","))
num_end = 0  # 记录最终结果
num_len = len(num_str)
for i in range(0, num_len, 1):
    num_int = int(num_str[num_len - i - 1])
    num_end = num_end + num_int * (int(base) ** i)
print(num_end)

7-6 水仙花数

水仙花数是指一个N位正整数(N≥3),它的每个位上的数字的N次幂之和等于它本身。 例如:153=1×1×1+5×5×5+3×3×3。 本题要求编写程序,计算所有N位水仙花数。

输入格式: 输入在一行中给出一个正整数N3≤N≤5

输出格式:

按递增顺序输出所有N位水仙花数,每个数字占一行。

输入样例:

在这里给出一组输入。例如:

3

输出样例:

在这里给出相应的输出。例如:

153
370
371
407

代码

'''
理解:
以三位数为例,所取数的范围是[100,1000);
for i in range(100,1000):
    num_str = str(i)
    temp1 = int(num_str[0])
    temp2 = int(num_str[1])
    temp3 = int(num_str[2])
    if temp1 ** 3 + temp2 ** 3 + temp3 ** 3 == i:
        print(i)
输入N位数字时,就是对三位水仙花数的改进
'''


def p(a, b):
    num = 1
    for i in range(1, b + 1, 1):
        num = num * a
    return num


N = int(input())  # N位正整数
begin = p(10, N - 1)
end = p(10, N)

for i in range(begin, end, 1):
    num_str = str(i)
    add = 0
    for j in range(0, N, 1):
        temp = int(num_str[j])
        add = add + temp ** N
    if add == i:
        print(i)
        continue  # 可以省略

7-7 jmu-python-成绩转换

本题要求编写程序将一个百分制成绩转换为五分制成绩。转换规则:

大于等于90分为A; 小于90且大于等于80为B; 小于80且大于等于70为C; 小于70且大于等于60为D; 小于60为E。

输入样例:

98

输出样例:

A

代码:

# 省事版
grade = int(input())
if grade >= 90:
    print("A")
elif grade >= 80:
    print("B")
elif grade >= 70:
    print("C")
elif grade >= 60:
    print("D")
else:
    print("E")

7-8 jmu-python-韩信点兵

在中国数学史上,广泛流传着一个“韩信点兵”的故事:韩信是汉高祖刘邦手下的大将,他英勇善战,智谋超群,为汉朝建立了卓越的功劳。据说韩信的数学水平也非常高超,他在点兵的时候,为了知道有多少兵,同时又能保住军事机密,便让士兵排队报数:

按从1至5报数,记下最末一个士兵报的数为1; 再按从1至6报数,记下最末一个士兵报的数为5; 再按从1至7报数,记下最末一个士兵报的数为4; 最后按从1至11报数,最末一个士兵报的数为10; 请编写程序计算韩信至少有多少兵。

输入格式:

无输入

输出格式:

输出韩信至少拥有的士兵人数。

输入样例:

无输入

输出样例:

输出人数

代码:


tool = True
i = 11
while (tool):
    i = i + 1
    if (i % 5 == 1) and (i % 6 == 5) and (i % 7 == 4) and (i % 11 == 10):
        print(i)
        tool = False
'''
# 无脑版
"""
假设韩信最多有4千兵将
"""
for i in range(11, 4000, 1):
    if (i % 5 == 1) and (i % 6 == 5) and (i % 7 == 4) and (i % 11 == 10):
        print(i)

'''

7-9 求误差小于输入值的e的近似值

自然常数e可以用级数1+1/1!+1/2!+⋯+1/n!来近似计算。ei代表前i项求和。输入误差范围error,当

,则表示e的近似值满足误差范围。

输入格式:

在一行输入误差范围。

输出格式:

在一行输出e的近似值(保留6位小数)。

输入样例1:

在这里给出一组输入。例如:

0.01

输出样例1:

在这里给出相应的输出。例如:

2.716667

输入样例2:

在这里给出一组输入。例如:

0.000000001

输出样例2:

在这里给出相应的输出。例如:

2.718282

代码:

'''
分母:Denominator
阶乘:Factorial
自然常数e可以用级数1+1/1!+1/2!+⋯+1/n!来近似计算。ei代表前i项求和。输入误差范围error,当
ei+1-ei<error,则表示e的近似值满足误差范围。
'''


def Fact(a):
    deno = 1
    for i in range(1, a + 1, 1):
        deno = deno * i
    return deno


error = eval(input())
tool = True
num = 0
ei = 1  # 记录 ei+1
while (tool):
    e = ei # 记录 ei
    num = num + 1
    ei = ei + 1 / Fact(num)
    if ei - e < error:  # 判断是否满足误差范围
        tool = False
print("%.6f" % ei)

7-10 jmu-python-区间数之和

输入一个区间,计算里面能被3整除或被5整除的数和。

输入格式:

每行输入一个数据,代表区间左界和右界。数据必须是整数。

输出格式:

满足条件数和。

输入样例:

2
10

输出样例:

33

代码:

'''
能被三,或被5整除数之和
'''

begin = int(input())
end = int(input())
nums = 0
for i in range(begin, end + 1, 1):
    if i % 5 == 0 or i % 3 == 0:
        nums += i

print(nums)

7-11 企业根据利润提成发放奖金问题

企业根据利润提成发放奖金问题。利润低于或等于10万元时,奖金可提10%;利润高于10万元,低于20万元时,低于10万元的部分按10%提成,高于10万元的部分,可提成7.5%; 20万到40万之间时,高于20万元的部分,可提成5%;40万到60万之间时高于40万元的部分,可提成3%;

60万到100万之间时,高于60万元的部分,可提成1.5%;

高于100万元时,超过100万元的部分按1%提成。从键盘输入当月利润,求应发放奖金总数?

输入格式:

输入一个利润整数。例如:输入120000

输出格式:

输出一个实数。例如:11500.0

输入样例:

在这里给出一组输入。例如:

120000

输出样例:

在这里给出相应的输出。例如:

11500.0

代码

'''
prifit:利润
bonus:奖金
注意:利润小于0时,奖金应为0
'''
profit = eval(input())
bonus_1 = 100000 * 0.1  # 10万元时
bonus_2 = (200000 - 100000) * 0.075 + bonus_1  # 20万元时
bonus_3 = (400000 - 200000) * 0.05 + bonus_2  # 40万时
bonus_4 = (600000 - 400000) * 0.03 + bonus_3  # 60万元时
bonus_5 = (1000000 - 600000) * 0.015 + bonus_4  # 100万元时
# bonus_6 = (profit - 1000000) * 0.01 + bonus_5  # 高于一百万时
if profit < 0:
    print("0")
elif profit <= 100000:
    bonus = profit * 0.1
    print("%.1f" % bonus)
elif profit <= 200000:
    bonus = (profit - 100000) * 0.075 + bonus_1
    print("%.1f" % bonus)
elif profit <= 400000:
    bonus = (profit - 200000) * 0.05 + bonus_2
    print("%.1f" % bonus)
elif profit <= 600000:
    bonus = (profit - 400000) * 0.03 + bonus_3
    print("%.1f" % bonus)
elif profit <= 1000000:
    bonus = (profit - 600000) * 0.015 + bonus_4
    print("%.1f" % bonus)

else:
    bonus = (profit - 1000000) * 0.01 + bonus_5
    print("%.1f" % bonus)

7-12 求前n项的阶乘之和

从键盘输入一个整数n,求前n项的阶乘之和,1+2!+3!+...+n!的和

输入格式:

输入一个大于1的整数。例如:输入20

输出格式:

输出一个整数。例如:2561327494111820313

输入样例:

在这里给出一组输入。例如:

20

输出样例:

在这里给出相应的输出。例如:

2561327494111820313

代码:

'''
阶乘:Factorial
'''


def fact(a):
    num = 1
    for i in range(1, a + 1, 1):
        num = num * i
    return num


n = eval(input())
add = 0
for j in range(1, n + 1, 1):
    add = add + fact(j)
print(add)

7-13 计算逆序的四位数

输入一个四位数,得到一个新的四位数。新数的千位数字、百位数字、十位数字和个位数字分别是原数的个位数、十位数、百位数和千位数。

输入格式:

输入一个四位数(假设输入必定是四位数,并且最后一位不为0)。

输出格式:

输出一个四位数。

输入样例:

在这里给出一组输入。例如: 1234

输出样例:

在这里给出相应的输出。例如:

4321

代码:

n1 = str(input())  # 输入原数字
n2 = ''
for i in range(0, 4, 1):  # 可以拓展为n位数,利用len()函数
    # print(type(n1[i]))
    n2 = n2 + n1[3 - i]
print(n2)

期中测验

7-2 *号金字塔

输入金字塔层数,输出*号金字塔

输入格式:

输入一个正整数。

输出格式:

输出*号金字塔

输入样例:

在这里给出一组输入。例如:

3

输出样例:

在这里给出相应的输出。例如:

  *
 ***
*****

代码:

# *号金字塔
n = int(input())
for i in range(1,n+1,1):
    for j in range(n,i,-1):
        print(" ",end="")
    for k in range(1,2*i,1):
        print("*",end ="")
    print("")
    

7-3 计算两个日期间隔天数

输入两组同年的年月日,计算之间相隔天数。

其中,默认第二组输入日期比第一组输入日期大。例如,输入2018-3-12018-7-18,输出间隔天数140。提示输入的字符串转换为整数需要用到split()函数以及map()函数"2018-3-1".split("-")的含义是将字符串按-切分,返回["2018","3","1"]列表。map(int,list)含义是将int函数依次应用于list中的每一个元素。

  • 闰年的定义为被4整除且不能被100整除或被400整除的年份。

输入格式:

输入第一组年月日:2018-3-1

输入第二组年月日:2018-5-25

输出格式:

输出天数。

输入样例:

在这里给出一组输入。例如:

2018-3-1
2018-5-25

输出样例:

在这里给出相应的输出。例如:

86

代码:

# 计算两个日期间隔

def rn(year):
    tool = 0
    if (year % 4 == 0 and year % 100 != 0) or (year % 400 == 0):
        tool = 1
    return tool


year1,month1,day1 = map(int,input().split("-"))  # 日期1
year2,month2,day2 = map(int,input().split("-"))  # 日期2

days = [0,31,28,31,30,31,30,31,31,30,31,30,31]

runnian = rn(year1)
adds1 = 0
adds2 = 0 
if runnian == 0:
    for i in range(1,month1,1):
        adds1 = adds1 + days[i]
    adds1 = adds1 + day1
    for i in range(1,month2,1):
        adds2 = adds2 + days[i]
    adds2 = adds2 + day2
    print(adds2 - adds1 + 1)
    
elif runnian == 1:
    days[2] = 29
    for i in range(1,month1,1):
        adds1 = adds1 + days[i]
    adds1 = adds1 + day1
    for i in range(1,month2,1):
        adds2 = adds2 + days[i]
    adds2 = adds2 + day2
    print(adds2 - adds1 + 1)

  • 分析:
    • 不足之处:
      • 无法将计算不同年份之间的间隔日期;
      • 日期的输入顺序无法颠倒

7-3 计算两个日期间隔天数PLUS

本题是对上一题的优化,弥补了上一题的不足之处

  • 优点:
    • 1.可以计算两个不同年份之间的日期
    • 2.输入两个年份时,可以不按顺序输入
    • 3.增加了判断年份相同时,而月份或日期不同时,可以不按顺序输入的判断
  • 缺点:
    • 1.代码量太繁琐
    • 2.日期的交换以及计算等,应使用def定义函数模块来解决,可以增加代码的适配性

代码:

# 计算两个不同年份日期的天数

def rn(year):
    tool = 0
    if (year % 4 == 0 and year % 100 != 0) or (year % 400 == 0):
        tool = 1
    return tool


year1, month1, day1 = map(int, input().split("-"))  # 日期1
year2, month2, day2 = map(int, input().split("-"))  # 日期2

days = [0, 31, 28, 31, 30, 31, 30, 31, 31, 30, 31, 30, 31]
# 假如第一次输入的年份大于第二次输入的年份,将二者的数据进行交换
if (year1 > year2) or (year1 == year2 and month1 > month2) or (year1 == year2 and month1 == month2 and day1 > day2):
    year_1 = year2
    year_2 = year1
    month_1 = month2
    month_2 = month1
    day_1 = day2
    day_2 = day1
else:
    year_1 = year1
    year_2 = year2
    month_1 = month1
    month_2 = month2
    day_1 = day1
    day_2 = day2

# 判断是否是闰年
runnian_1 = rn(year_1)
runnian_2 = rn(year_2)

adds_1 = 0  # 记录year_1本年的日期数
adds_2 = 0  # 记录year_2本年的日期数

# 记录year_1本年的日期数
if runnian_1 == 0:
    for i in range(1, month_1, 1):
        adds_1 = adds_1 + days[i]
    adds_1 = adds_1 + day_1

elif runnian_1 == 1:
    days[2] = 29
    for i in range(1, month_1, 1):
        adds_1 = adds_1 + days[i]
    adds_1 = adds_1 + day_1

# 记录year_2本年的日期数
if runnian_2 == 0:
    for i in range(1, month_2, 1):
        adds_2 = adds_2 + days[i]
    adds_2 = adds_2 + day_2

elif runnian_2 == 1:
    days[2] = 29
    for i in range(1, month_2, 1):
        adds_2 = adds_2 + days[i]
    adds_2 = adds_2 + day_2
adds_3 = 0

# 记录year_1与year_2年份之间相差天数
for i in range(year_1, year_2, 1):
    if rn(i) == 0:
        adds_3 = adds_3 + 365
    else:
        adds_3 = adds_3 + 366
print(adds_2 - adds_1 + adds_3 + 1)

7-4 企业根据利润提成发放奖金问题