
1. 定义
马尔可夫链:过程在
时刻所处状态条件与过程在时刻
之前所出的状态无关。(在已经知道“现在”的条件下,其“将来”与“过去”无关)
数学表达为:
%20%3D%20x_n%7CX(t_1)%3Dx_1%2C%20X(t_2)%3Dx_2%2C....%2CX(t_%7Bn-1%7D)%3Dx_%7Bn-1%7D%20%5C%7D%20%5C%5C%0A%3D%20P%5C%7BX(t_n)%20%3D%20x_n%7CX(t_%7Bn-1%7D)%3Dx_%7Bn-1%7D%20%5C%7D%0A%5Ctag%20%7B1.1%7D%0A%5Cend%7Balign%7D)
2. 案例
2.1 模型准备
Bob和Alice是一对好朋友,Bob的心情与天气有关,如果天气很好为sunny,记为S,Bob一般是处于happy,记为H状态的,如果天气是rain,记为R,Bob的心情一般是处于grumpy,记为G状态的。 Alice呢,是一个很细心很会观察的女孩,收集了14天以来天气情况,以及Bob15天的心情。

头一天天气 | 第二天天气 | 数量 | 比例 |
---|---|---|---|
sunny | sunny | 8 | 0.8 |
sunny | rain | 2 | 0.2 |
rain | sunny | 2 | 0.4 |
rain | rain | 3 | 0.6 |

统计图中状态转换对应的数量:
天气 | 心情 | 数量 | 比例 |
---|---|---|---|
sunny | happy | 8 | 0.8 |
sunny | grumpy | 2 | 0.2 |
rain | happy | 2 | 0.4 |
rain | grumpy | 3 | 0.6 |

绘制了下面这张图。

图3-1中的几个概率值称为transition probabilities

图3-2中的几个概率值称为emission probabilities


2.2 考虑三个问题:
Question 1:如果随机选一天,Alice没从Bob那得到任何消息,那这天是晴天还是下雨天?
在[图2. Bob心情与天气对应关系]中,晴天有十天,雨天有五天,在Bob没有任何信息提示的情况下,晴天所占比例为,雨天所占比例为
。所以第一问题的答案为有
的可能性是晴天,
的可能性是雨天。
Question 2:如果Bob今天很开心,那么是晴天和雨天的概率各是多少?
其实这是一个贝叶斯问题:
已知
,
,
,
,
,
,
,
求与
的概率。
Question 3:连续三天Bob的心情是Happy-Grumpy-Happy,最后一天是什么天气?

连续三天,共有中可能:
- Sunny - Sunny - Sunny
- Sunny - Sunny - Rain
- Sunny - Rain - Sunny
- Sunny - Rain - Rain
- Rain - Rain - Rain
- Rain - Rain - Sunny
- Rain - Sunny - Rain
- Rain - Sunny - Sunny
以第3种情况为例:

这样分别计算8中情况,取概率最大的
2.3 Viterbi 算法:
如果Bob的心情是“Happy-Happy-Grumpy-Grumpy-Grumpy-Happy”问最后一天的天气?
2.3.1 思路
考虑了六天,那么总共有种可能性,每增加一天,考虑的可能性是呈指数上升的,在这里,需要借助动态规划的思想。
-
step1: 最后一天可能为Rain或者Sunny,因此,需要分别计算Sunny情况下Bob处于Happy的状态、Rain状态下Happy的状态,比较概率大小。
-
step 2:考虑最后一天是Sunny的情况下,倒数第二天是Sunny使Bob感觉Grumpy的概率以及倒数第二天是Rain使Bob感觉Grumpy的概率,选出概率最大的值。对于倒数第二天是Rain同样执行上述操作。
-
重复Step1 和Step2,直到状态完成。
Happy | Grumpy | Happy |
---|---|---|
Sunny: |
Sunny : |
Sunny : |
Rain : |
Rain |
Rain : |
2.3.2 案例代码(Viterbi Algorithm)
# 根据图中定义天气之间状态转移概率(transition probability)
Weather2Weather_Prob = {
'sunny': {
'sunny': 0.8,
'rain': 0.2
},
'rain': {
'sunny': 0.4,
'rain': 0.6
}
}
# 定义发射概率(emission probability)
Mood2Weather_Prob = {
'happy': {
'sunny': 0.8,
'rain': 0.4,
},
'grumpy': {
'sunny': 0.2,
'rain': 0.6
}
}
weather_state = ['sunny', 'rain']
mood_state = ['happy', 'grumpy']
# 初始化两种天气的概率
sunny_init_prob = 2/3
rain_init_prob = 1/3
def predictMood(BobMood):
weather = {}
weather_prob = {}
# 定义概率矩阵
for iday in range(len(BobMood)+1):
weather_prob[iday] = {
'sunny': 0,
'rain': 0
}
weather_prob[0] = {
'sunny': sunny_init_prob,
'rain': rain_init_prob
}
# 根据Bob的心情,计算每一天可能的概率
for iday, iday_mood in enumerate(BobMood):
# 考虑当前天气的状态数量
for icurrent_weather_state in weather_state:
weather_prob[iday][icurrent_weather_state] *= Mood2Weather_Prob[iday_mood][icurrent_weather_state]
# 考虑状态转移之后的概率
for ifuture_weather_state in weather_state:
weather_prob[iday+1][ifuture_weather_state] = max(
weather_prob[iday][icurrent_weather_state] * Weather2Weather_Prob[icurrent_weather_state][ifuture_weather_state],
weather_prob[iday + 1][ifuture_weather_state]
)
weather[iday] = 'sunny' if weather_prob[iday]['sunny'] > weather_prob[iday]['rain'] else 'rain'
return weather, weather_prob
if __name__ == '__main__':
BobMood = ['happy', 'happy', 'grumpy', 'grumpy', 'grumpy', 'happy']
weather, weather_prob = predictMood(BobMood)
print('weather is:')
print(weather)
print('probabilities are:')
print(weather_prob)
3. 隐马尔科夫的科学推导
3.1 基本概念

-
状态序列:对应上图中的
-
观测序列:对应上图中的
-
一个时刻:序列的每一个位置,对应上图中的
在**“如果Bob的心情是“Happy-Happy-Grumpy-Grumpy-Grumpy-Happy”问最后一天的天气?”中: 观测序列就是Bob的心情**,状态序列就是天气。
-
隐马尔可夫模型的形式定义:


对应上例中的天气,
对应上例中的心情。
,
:15天的天气序列,
:15天中Bob的心情序列。
- 状态转移矩阵
(可根据图3列出)
- 观测概率矩阵
(可根据图4列出)
- 初始状态概率向量
(问题1):有
,
。

3.2 隐马尔可夫的前提

4. 马尔科夫的应用

Alice根据Bob心情预测天气的例子就是问题3——预测问题。
4.1 概率计算问题
通过一道简单例题说明:

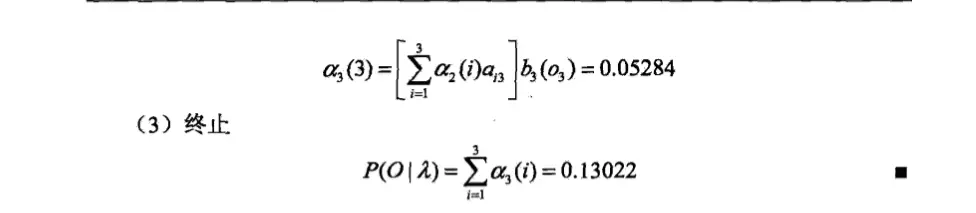
4.1.1 前向算法

分为以下几个步骤:
1. 通过 观测概率矩阵 计算第一个 观测数据 来自不同 状态 的前向概率。
在时刻,红球的概率为
box at |
probability |
---|---|
1(盒子1是红球的概率) | |
2(盒子2是红球的概率) | |
3(盒子3是红球的概率) |
2. 通过 转移概率矩阵 计算生成下一 状态 的概率,再通过 观测概率矩阵 计算生成下一个 观测值 的概率
在时刻,3个盒子转移到不同盒子的概率以及生成白球的概率如下表所示。
box at |
trans_probability |
---|---|
1(三个盒子的红球转换到盒子1的概率) | |
2(三个盒子的红球转换到盒子2的概率) | |
3(三个盒子的红球转换到盒子3的概率) |
box at |
probability |
---|---|
1(盒子1产生红球的概率) | |
2(盒子2产生红球的概率) | |
3(盒子3产生红球的概率) |
3. 重复步骤2,直到 观测序列 终止。
4. 将最后的概率值相加。
完整过程如下:


4.1.2 后向计算
从后往前考虑:

代表,在
时刻,在盒子1是红球的条件的情况下,观测序列是:白,红2(第二颗红球)的概率。
1. 最后一个 观测数据 已经确定,所以初始化三个 状态 的概率为1。
在时刻
box at |
probability |
---|---|
1(盒子1是红球的条件下,观测序列为[空]的概率) | |
2(盒子2是红球的条件下,观测序列为[空]的概率) | |
3(盒子3是红球的条件下,观测序列为[空]的概率) |
通过 观测概率矩阵 计算 指定观测数据 的概率(上表的另一种理解方法)
box at |
color_probability |
---|---|
1 (从盒子1中选一个球,观测序列为空的概率,即选中红球的概率) | |
2 (从盒子2中选一个球,观测序列为空的概率,即选中红球的概率) | |
3 (从盒子3中选一个球,观测序列为空的概率,即选中红球的概率) |
2. 再计算转移到不同 状态 的概率 。
在时刻
box at |
probability |
---|---|
1 (在 |
|
2 (在 |
|
3 (在 |
每一个盒子的概率和的意义为:该盒子是白球的条件下,观测序列为[红球]的概率
3. 重复步骤2,直到观测序列终止。
4. 最后一步将转移概率替换成初始概率,求和即可。
4.1.3 前、后项概率的关系
给定模型参数和观测
,在时刻
处于状态
的概率记为:
4.2 学习算法
在学习算法中,分为监督学习和非监督学习。
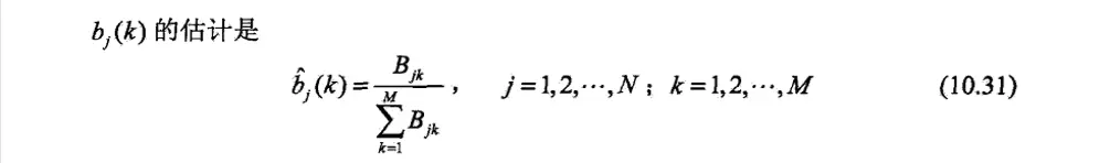
4.2.1 监督学习
基本概念
当训练集中包括了观测序列和状态序列时,可采用监督学习的方法对参数值进行估计。
-
状态转移矩阵的估计:
-
观测概率矩阵的估计:
-
初始状态概率的估计:
具体例子
本文第3节“隐马尔科夫的科学推导” 之“3.1 基本概念” 中“隐马尔可夫模型的形式定义”下方的Bob心情与天气的例子。
4.2.2 非监督学习
当训练集仅包括观测序列,目标是学习估计马尔科夫的参数(状态转移矩阵,观测概率矩阵以及初始概率)
此时,将观测序列看做是观测数据,状态序列看做是隐变量
借助EM模型即可求解。
4.3 预测算法
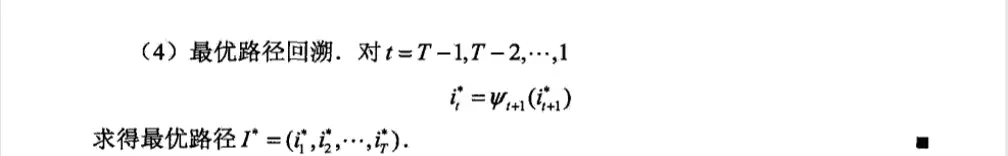
4.3.1 Viterbi算法


具体例子见本文2.3节:Viterbi 算法
5. 参考文献
- 《统计学习方法》
- 参考地址