1. 贝叶斯网的基本独立性

根据上一节概率图模型基础(2)——贝叶斯网络中的因果关系,在节点的独立性方面,可以得出什么结论呢?

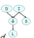
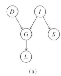
在学生成绩的例子中:在给定父节点Grade的情况下,Letter与图中其他节点都独立。有
成立。
2. 图与分布
这一节概念有点抽象?(至少我是这么觉得,所以后面后回来重新修改了。)
首先我自己先瞎BB几句: 当我们在实际应用中面对一系列的数据的时候,一般来说会从下面两个方面理解:
- 观察数据(其实就是观察数据的分布),从一堆变量中找出相互独立的变量(I、G)以及在某些条件下独立的变量(类似G、I、S),根据观察结果绘制图。这一些列的动作,就是由条件概率分布作注释的图,这个图通过链式法则为贝叶斯网定义了一个联合分布。
- 贝叶斯图其实就是好几堆独立性变量组合在一起的可视化结果。
2.1 I-Maps(independency map)
2.1.1 I-Maps是啥?
2.1.1.1 定义
是
上的分布,
定义为
中满足独立性的集合。
2.1.1.2 理解
I-map:记贝叶斯网络为,概率分布为
,若
中表现出的独立性的集合是
中表现出的独立性的集合的子集。则
是
的一个I-map。比如

先看Graph:
- 对于
来说,
,
未连接,故而
,
独立。
- 对于
来说,
影响
,故而
,
不独立,表现出的独立性为
。
- 对于
来说,
影响
,故而
,
不独立,表现出的独立性为
。
再看分布P:
- 对于左表来说,
,所以
,
独立。
表现出
,
独立,满足条件;
和
独立性为
,可归为任何分布P的I-map。
所以三个图都是P的I-map。
- 对于右表来说,
,所以
,
不独立。
表现出
,
独立,不满足条件。
和
独立性为
,可归为任何分布P的I-map
所以只有是P的I-map。
2.1.2 等价I-Maps
2.1.2.1 定义

2.1.2.2 例子

2.1.3 I-Maps怎么变身分布的表达
熟悉贝叶斯公式的人都清楚,不管啥网络结构(以学生成绩为例),

有了I-maps之后,就可以简化一些因子:
- D,I独立,所以有
- 在给定G的条件下,L和I,D独立,所以有
所以公式2.1可以简化为
公式2.2正好满足《概率图模型基础(2)——贝叶斯网络中的因果关系 》中贝叶斯网络表达式的书写规律。
另外,多一句嘴,所谓分布的表达,其实就是因子分解。

2.1.4 最小I-Map








最小I-map与给定的节点顺序有关。
2.2 )
我又来瞎BB了:这个其实就是给定条件下的I-Maps
2.3.1 定义
:在概率图中,在给定结点
的条件下,结点
和结点
存在有效迹(只要是结点连着的,不管方向对不对就称为迹),若结点
和结点
相互独立,则可以表示为
示例:
若G为不观测变量则S与D的关系可表示为: ![]()
具体如何判断 d-分离,请参考《概率图模型基础(2)——贝叶斯网络中的因果关系》文中第 3.2 结:贝叶斯网络中各节点如何相互影响?
扩展:
与d-separate 相对应的独立性的集合用表示:
2.2.2 寻找所有d-sep
思路:
在寻找之前,确保有:观测变量的集合;贝叶斯网络图结构。
1.从下到上,从叶子结点到根的遍历图结构,标记
及其后代的所有节点。
2. 使用广度优先遍历,遇到如下情况停止,说明不存在d-sep,否则,说明存在d-sep:
a. 节点在v-结构中间,但在第一步中未被标记。
b. 节点不在v-结构中间,但是在第一步中被标记了。
2.3 P-Map




3. 参考文献
Coursera——Probabilistic Graphical Models