ReLU激活函数:从趋近于零开始,然后变成一条直线,要尝试输入一个x,即可把它映射成y
结构化数据意味着数据的基本数据库。例如在房价预测中,你可能有一个数据库,有专门的几列数据告诉你卧室的大小和数量,这就是结构化数据
非结构化数据是指比如音频,原始音频或者你想要识别的图像或文本中的内容。这里的特征可能是图像中的像素值或文本中的单个单词
你需要训练一个规模足够大的神经网络,以发挥数据规模量巨大的优点
要么训练一个更大的神经网络,要么投入更多的数据

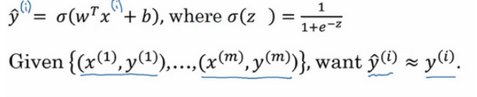
逻辑回归是一个用于二分类(binary classification)的算法

逻辑函数输出函数:





代价函数是对m个样本的损失函数求和然后除以m:
