机器学习分享——反向传播算法推导

1,196 阅读1分钟

反向传播(英语:Backpropagation,缩写为BP)是“误差反向传播”的简称,是一种与最优化方法(如梯度下降法)结合使用的,用来训练人工神经网络的常见方法。该方法对网络中所有权重计算损失函数的梯度。这个梯度会反馈给最优化方法,用来更新权值以最小化损失函数。

很多同学在学习深度神经网络的时候,对反向传播的相关细节表示难以理解,国外有一篇技术博客,用例子进行了非常清晰的推导。我们对此进行了汉化,并提供了相关的代码。有兴趣的同学快来看看吧。

相关代码

原文地址

假设,你有这样一个网络层。

现在对他们赋上初值,如下图:

前向传播过程

1. 输入层---->隐含层:

2. 隐藏层---->输出层:

反向传播过程

接下来,就可以进行反向传播的计算了

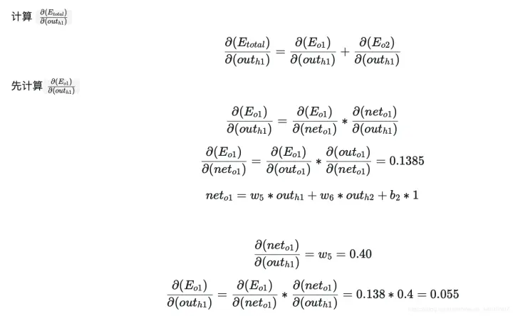
1. 计算总误差

2. 隐含层---->输出层的权值更新:

image.png

下面的图可以更直观的看清楚误差是怎样反向传播的

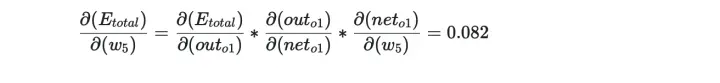
我们分别计算每个式子的值:

最后三者相乘

看看上面的公式,我们发现:

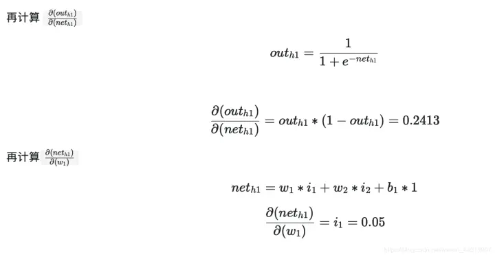
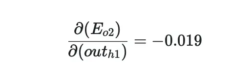
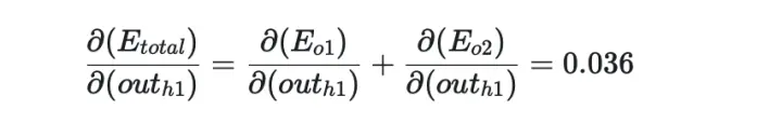
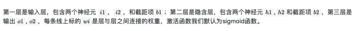
3.隐含层---->隐含层的权值更新:

同理,计算出

两者相加,得到总值

最后,三者相乘

image.png

这样误差反向传播法就完成了,最后我们再把更新的权值重新计算,不停地迭代。

PC端查看完整代码

———————————————————————————————————————————Mo (网址:momodel.cn )是一个支持 Python 的人工智能建模平台,能帮助你快速开发训练并部署 AI 应用。