在训练机器学习模型中,结果不能被很好地预测通常是因为高偏差(欠拟合)或高方差(过拟合)。把交叉验证集的代价函数和测试集的代价函数画在一个图像中:

左面红色部分为高偏差(欠拟合),右边红色部分为高方差(过拟合)。
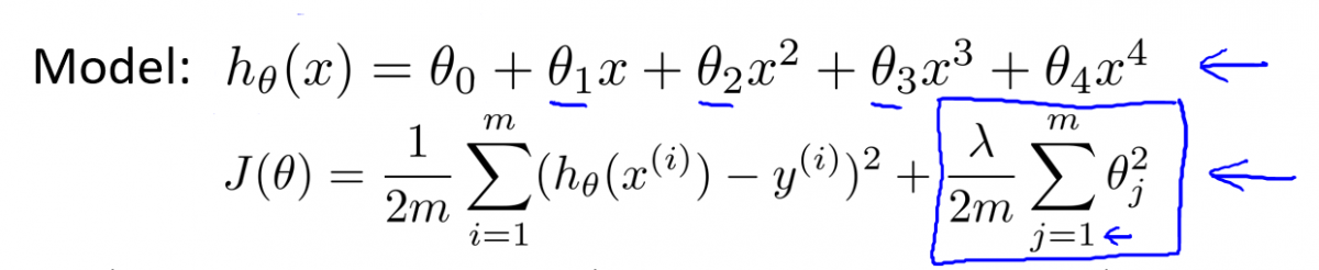
对于如下模型,线性回归正则化的代价函数为:
其中蓝色框为正则化项,λ 越大,代表对参数的惩罚就越大。
训练集代价函数 J_train (θ) 、交叉验证集代价函数 J_cv (θ) 和测试集代价函数 J_test (θ) 不需要加正则化项,如下:

对于正则化代价函数,通过不同的 λ 值计算出参数集 θ,然后计算出相应的交叉验证集代价函数 J_cv (θ) 和测试集代价函数 J_test (θ)。

将它们画在一张图像中:

你会发现,随着 λ 增加, J_test (θ) 在不断增大,也就是说拟合程度越来越差。λ 刚开始增加时, J_cv (θ) 先减小,表示正则化优化了多项式的拟合,泛化程度较好;但随着 λ 不断增加,多项式对数据的拟合也会越来越差。通过这个图像,就可以找出最佳拟合的位置。
ps. 本篇文章是根据吴恩达机器学习课程整理的学习笔记。如果想要一起学习机器学习,可以关注微信公众号「SuperFeng」,期待与你的相遇。
