吴恩达机器学习系列13:机器学习诊断法

435 阅读3分钟

在机器学习中,我们训练了一个模型,可能会发现这个模型得到的数据与实际数据偏差太大。这时,通常我们会在如下办法中选择去优化我们的算法。

  • 得到更多的训练集;

  • 减小特征的数目;

  • 尝试去增加特征;

  • 增加多项式;

  • 增大 λ

  • 减小 λ

以上这些步骤通常会花费你大量的时间,而且毫无目的地选择很可能会没有效果。

9150e4e5ly1fkna6imbtaj20go0azgmf.jpg

为了防止以上的事情发生,减少让你抓狂的几率,维护世界的和平,我们需要用到机器学习诊断法(Machine learning diagnostic)去决定如何优化我们的算法。



评估假设(Evaluating a Hypothesis


我们在训练机器学习模型时,经常会遇到过拟合问题。但何时是过拟合呢?这就需要我们来发现,一种方法是通过画出函数图像,例如下面这幅图就能看出是一个过拟合。

未命名图片.png

事实上我们拟合的函数经常有很多个特征,导致函数图像很难画出,需要另一种方法——评估假设(Evaluating a Hypothesis。具体怎么操作呢?我们一起来看一下。


我们拥有如下数据集,需要把这些数据集随机按 7:3 的比例划分为两类:训练集和测试集。训练集用来训练模型,测试集用来对模型的准确性进行评估。

未命名图片.png

对于线性回归来说,我们就用测试集的代价函数来评估。

未命名图片.png


对于逻辑回归这种分类问题,我们除了可以用测试集的代价函数去解决以外,还可以用测试误差来计算。

未命名图片.png

对于这个函数,我们可以这么理解。如果预测结果与原结果不一致,函数值就为 1,也就是出现误差;否则函数值为 0。最后求测试误差求平均值得到最终结果。

未命名图片.png



模型选择


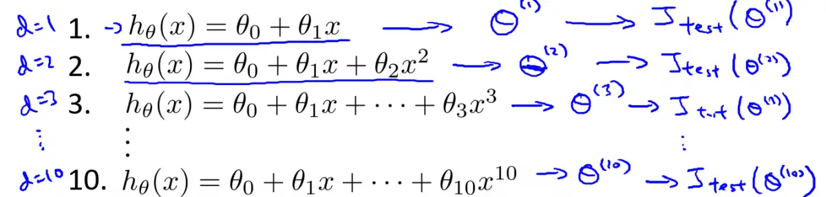
对于机器学习,我们可能选择各种次数的多项式作为模型。但是如何确定多项式的次数才是一个令人头痛的问题。


我们用 d 来表示选择模型多项式的次数:

未命名图片.png

选择完成后,我们会先用数据集训练出参数集 θ,根据参数集 θ 计算出对应的代价函数,比较代价函数之后,选择一个最优的多项式作为模型。


这时候,我们的数据集就不能按照之前的原则进行划分了,要划分成 3 部分:训练集(60%)、交叉验证集(20%)和测试集(20%)。

未命名图片.png

首先我们通过训练集训练出参数集 θ,然后根据交叉验证集选择出最优的多项式模型,最后通过测试集去评估假设。



ps. 本篇文章是根据吴恩达机器学习课程整理的学习笔记。如果想要一起学习机器学习,可以关注微信公众号「SuperFeng」,期待与你的相遇。

请关注公众号.PNG