吴恩达机器学习系列10:线性回归与逻辑回归的正则化

362 阅读1分钟

线性回归的正则化

还记得在线性回归中我们有哪两种方法去求代价函数的最小值吗?当然是梯度下降正规方程了。让我们来复习一下线性回归中梯度下降算法,如下:

未命名图片.png

其中黄色部分就是代价函数对参数 θ 的偏导数。当我们正则化代价函数后,代价函数发生了改变:

未命名图片.png

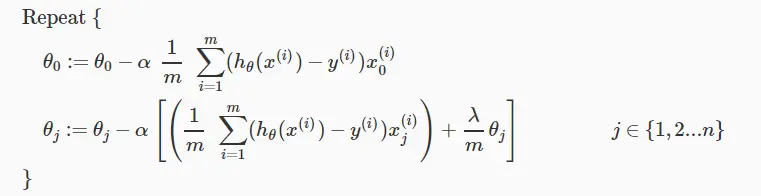
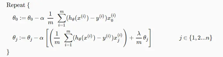
相应地,偏导数也会改变,得到正则化后的梯度下降算法:

未命名图片.png

把其中的 θ_j  提出来,简化后:

未命名图片.png


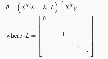
正规方程正则化后呢?就成了下面这样:

未命名图片.png



逻辑回归的正则化

逻辑回归的代价函数为:

未命名图片.png与线性回归的正则化类似,逻辑回归的正则化就是在逻辑回归的代价函数中加入对参数的惩罚:

未命名图片.png正则化后得到的梯度下降算法与线性回归中非常像,只是假设函数不同而已。

未命名图片.png



ps. 本篇文章是根据吴恩达机器学习课程整理的学习笔记。如果想要一起学习机器学习,可以关注微信公众号「SuperFeng」,期待与你的相遇。

请关注公众号.PNG