Dynamic Memory Networks模型用于文本分类

418 阅读3分钟

Dynamic Memory Networks模型用于文本分类

模型

模型主要包含四个模块:提问、回答、记忆存储、输入。 输入模块首先计算问题和输入得文本向量表示,然后根据问题计算attention,并以此选择和问题相关的输入。然后记忆存储模块会根据问题和输入迭代存储记忆,并以最后的时序向量作为答案模块的输入,答案模块结合问题和该向量输出答案。

在这里插入图片描述

以上图为例,输入时8句话,问题是Where is the football?下面分模块解析求解过程

输入模块

输入主要采用GRU单元进行编码,分两种情况: 1、当输入是一个句子时,直接喂到GRU单元,输出句长个向量表示,这时后续的attention会选择最相关的词 2、当输入是多个句子时,将句子用特殊标识符连接,然后将每个特殊标识符处的隐藏状态输出,这时attention会选择和句子相关的句子

问题模块

也采用GRU单元编码,不同的是这里只需输出最后的隐藏状态,而输入模块需输出全部的隐藏状态,熟悉tensorflow的朋友一定知道tf.nn.dynamic_rnn,这个函数的输出是一个拥有两个值得矢量,其中一个是RNN得最后隐藏状态,一个是全部的状态

记忆存储模块

这一块分两部分,attention和记忆更新 1、attention:attention的计算如下图,在i次迭代的t时刻参数分别为输入向量(8句话的向量表示,迭代过程中保持不变)、上一时刻的记忆、问题向量表示

在这里插入图片描述
其中:
在这里插入图片描述

这里利用了多种向量相似性计算方法,并拼接后输入到两层神经网络中计算attention值。

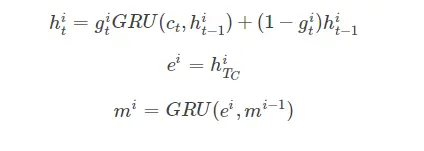
2、记忆更新:在第i次迭代,计算如下图,第0次迭代m的初始值为q,c~t~每次迭代都保存不变,为输入(8个句子)向量,h~t~为隐藏向量表示,每轮迭代中,将每个时刻的隐藏向量表示和记忆向量上一时刻的向量放入GRU单元,更新记忆向量m。

在这里插入图片描述
在模块实例图中,以8个句子和“Where is the football”作为问题 第一次迭代:通过q和input以及m(初始为q)计算attention,找到和q最相关的句子是s~7~:"John put down the football",并给予高权重g,以此更新记忆向量m,例如记住‘john’。 第二次迭代:通过q和input、m计算attention,此时m记住了“john”,而不是q了,找到的最相关句子为S~2~和S~6~,它们都包含了“john”,接着继续更新记忆向量,最后输出到回答模块

回答模块

如下计算表示,a~0~=m(m为记忆模块最后的记忆)

在这里插入图片描述

DMN简单实现

记忆更新门控单元:这里用到了Attention based GRU, 把g添加到GRU内部。

    def gated_gru(self,c_current,h_previous,g_current):
        """
        gated gru to get updated hidden state
        :param  c_current: [batch_size,embedding_size]
        :param  h_previous:[batch_size,hidden_size]
        :param  g_current: [batch_size,1]
        :return h_current: [batch_size,hidden_size]
        """
        # 1.compute candidate hidden state using GRU.
        h_candidate=self.gru_cell(c_current, h_previous,"gru_candidate_sentence") #[batch_size,hidden_size]
        # 2.combine candidate hidden state and previous hidden state using weight(a gate) to get updated hidden state.
        h_current=tf.multiply(g_current,h_candidate)+tf.multiply(1-g_current,h_previous) #[batch_size,hidden_size]
        return h_current

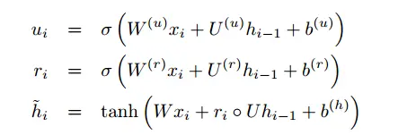
这部分采用了DMN+中的实现,

在这里插入图片描述
最后一步和传统GRU不同
在这里插入图片描述
因此
在这里插入图片描述

attention实现


    def attention_mechanism_parallel(self,c_full,m,q,i):
        """ parallel implemtation of gate function given a list of candidate sentence, a query, and previous memory.
        Input:
           c_full: candidate fact. shape:[batch_size,story_length,hidden_size]
           m: previous memory. shape:[batch_size,hidden_size]
           q: question. shape:[batch_size,hidden_size]
        Output: a scalar score (in batch). shape:[batch_size,story_length]
        """
        q=tf.expand_dims(q,axis=1) #[batch_size,1,hidden_size]
        m=tf.expand_dims(m,axis=1) #[batch_size,1,hidden_size]

        # 1.define a large feature vector that captures a variety of similarities between input,memory and question vector: z(c,m,q)
        c_q_elementwise=tf.multiply(c_full,q)          #[batch_size,story_length,hidden_size]
        c_m_elementwise=tf.multiply(c_full,m)          #[batch_size,story_length,hidden_size]
        c_q_minus=tf.abs(tf.subtract(c_full,q))        #[batch_size,story_length,hidden_size]
        c_m_minus=tf.abs(tf.subtract(c_full,m))        #[batch_size,story_length,hidden_size]
        # c_transpose Wq
        c_w_q=self.x1Wx2_parallel(c_full,q,"c_w_q"+str(i))   #[batch_size,story_length,hidden_size]
        c_w_m=self.x1Wx2_parallel(c_full,m,"c_w_m"+str(i))   #[batch_size,story_length,hidden_size]
        # c_transposeWm
        q_tile=tf.tile(q,[1,self.story_length,1])     #[batch_size,story_length,hidden_size]
        m_tile=tf.tile(m,[1,self.story_length,1])     #[batch_size,story_length,hidden_size]
        z=tf.concat([c_full,m_tile,q_tile,c_q_elementwise,c_m_elementwise,c_q_minus,c_m_minus,c_w_q,c_w_m],2) #[batch_size,story_length,hidden_size*9]
        # 2. two layer feed foward
        g=tf.layers.dense(z,self.hidden_size*3,activation=tf.nn.tanh)  #[batch_size,story_length,hidden_size*3]
        g=tf.layers.dense(g,1,activation=tf.nn.sigmoid)                #[batch_size,story_length,1]
        g=tf.squeeze(g,axis=2)                                         #[batch_size,story_length]
        return g
    def x1Wx2_parallel(self,x1,x2,scope):
        """
        :param x1: [batch_size,story_length,hidden_size]
        :param x2: [batch_size,1,hidden_size]
        :param scope: a string
        :return:  [batch_size,story_length,hidden_size]
        """
        with tf.variable_scope(scope):
            x1=tf.reshape(x1,shape=(self.batch_size,-1)) #[batch_size,story_length*hidden_size]
            x1_w=tf.layers.dense(x1,self.story_length*self.hidden_size,use_bias=False) #[self.hidden_size, story_length*self.hidden_size]
            x1_w_expand=tf.expand_dims(x1_w,axis=2)     #[batch_size,story_length*self.hidden_size,1]
            x1_w_x2=tf.matmul(x1_w_expand,x2)           #[batch_size,story_length*self.hidden_size,hidden_size]
            x1_w_x2=tf.reshape(x1_w_x2,shape=(self.batch_size,self.story_length,self.hidden_size,self.hidden_size))
            x1_w_x2=tf.reduce_sum(x1_w_x2,axis=3)      #[batch_size,story_length,hidden_size]
            return x1_w_x2

模型实现完整代码见github:github.com/DLZWY/Machi… 其中实现了dmn用于多标签文档分类的方法。其中的query和input相同,所有attention求的是与query最相关的词