BPR推荐算法的简单实现

2,315 阅读2分钟

BPR推荐算法

BPR的基本原理

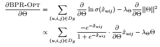
BPR是一种采用pairwise训练的个性化推荐算法,其在netflex算法大赛被首次提出,损失函数表示为当有训练数据中的偏序集合时,最可能的用户向量表示和item向量表示矩阵,推导如下

在这里插入图片描述
损失函数求导

整体训练过程

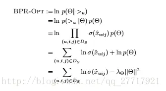
把模型西塔,用矩阵分解的形式表示为

在这里插入图片描述

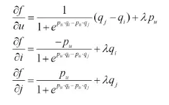
求各自的偏导,这里的f时(u, i ,j)三元祖的关系x~uij~。 可以简单有x~uij~=x~ui~-x~uj~

在这里插入图片描述

BPR的简单实现

利用上述的训练过程的推导,训练代码实现如下:

            r_ui = np.dot(self.U[u], self.V[i].T) + self.biasV[i]
            r_uj = np.dot(self.U[u], self.V[j].T) + self.biasV[j]
            r_uij = r_ui - r_uj
            loss_func = -1.0 / (1 + np.exp(r_uij))
            # update U and V
            self.U[u] += -self.lr * (loss_func * (self.V[i] - self.V[j]) + self.reg * self.U[u])
            self.V[i] += -self.lr * (loss_func * self.U[u] + self.reg * self.V[i])
            self.V[j] += -self.lr * (loss_func * (-self.U[u]) + self.reg * self.V[j])
            # update biasV
            self.biasV[i] += -self.lr * (loss_func + self.reg * self.biasV[i])
            self.biasV[j] += -self.lr * (-loss_func + self.reg * self.biasV[j])

上述r_ui 表示用户u对item i 的评分,U表示用户表示矩阵,V表示item表示矩阵,bias是偏置。

完整代码如下:

import random
from collections import defaultdict
import numpy as np
from sklearn.metrics import roc_auc_score
import scores

class BPR:
    user_count = 10000
    item_count = 5000
    latent_factors = 10
    lr = 0.01
    reg = 0.01
    train_count = 1000
    train_data_path = 'train.txt'
    test_data_path = 'test.txt'
    size_u_i = user_count * item_count
    U = np.random.rand(user_count, latent_factors) * 0.01
    V = np.random.rand(item_count, latent_factors) * 0.01
    biasV = np.random.rand(item_count) * 0.01
    test_data = np.zeros((user_count, item_count))
    test = np.zeros(size_u_i)
    predict_ = np.zeros(size_u_i)

    def load_data(self, path):
        user_ratings = defaultdict(set)
        with open(path, 'r') as f:
            for line in f.readlines():
                u, i = line.split(" ")
                u = int(u)
                i = int(i)
                user_ratings[u].add(i)
        return user_ratings

    def load_test_data(self, path):
        file = open(path, 'r')
        for line in file:
            line = line.split(' ')
            user = int(line[0])
            item = int(line[1])
            self.test_data[user - 1][item - 1] = 1

    def train(self, user_ratings_train):
        for user in range(self.user_count):
            # sample a user
            u = random.randint(1, self.user_count)
            if u not in user_ratings_train.keys():
                continue
            # sample a positive item from the observed items
            i = random.sample(user_ratings_train[u], 1)[0]
            # sample a negative item from the unobserved items
            j = random.randint(1, self.item_count)
            while j in user_ratings_train[u]:
                j = random.randint(1, self.item_count)
            u -= 1
            i -= 1
            j -= 1
            r_ui = np.dot(self.U[u], self.V[i].T) + self.biasV[i]
            r_uj = np.dot(self.U[u], self.V[j].T) + self.biasV[j]
            r_uij = r_ui - r_uj
            loss_func = -1.0 / (1 + np.exp(r_uij))
            # update U and V
            self.U[u] += -self.lr * (loss_func * (self.V[i] - self.V[j]) + self.reg * self.U[u])
            self.V[i] += -self.lr * (loss_func * self.U[u] + self.reg * self.V[i])
            self.V[j] += -self.lr * (loss_func * (-self.U[u]) + self.reg * self.V[j])
            # update biasV
            self.biasV[i] += -self.lr * (loss_func + self.reg * self.biasV[i])
            self.biasV[j] += -self.lr * (-loss_func + self.reg * self.biasV[j])

    def predict(self, user, item):
        predict = np.mat(user) * np.mat(item.T)
        return predict

    def main(self):
        user_ratings_train = self.load_data(self.train_data_path)
        self.load_test_data(self.test_data_path)
        for u in range(self.user_count):
            for item in range(self.item_count):
                if int(self.test_data[u][item]) == 1:
                    self.test[u * self.item_count + item] = 1
                else:
                    self.test[u * self.item_count + item] = 0
        # training
        for i in range(self.train_count):
            self.train(user_ratings_train)
        predict_matrix = self.predict(self.U, self.V)
        # prediction
        self.predict_ = predict_matrix.getA().reshape(-1)
        self.predict_ = pre_handel(user_ratings_train, self.predict_, self.item_count)
        auc_score = roc_auc_score(self.test, self.predict_)
        print('AUC:', auc_score)
        # Top-K evaluation
        scores.topK_scores(self.test, self.predict_, 5, self.user_count, self.item_count)

def pre_handel(set, predict, item_count):
    # Ensure the recommendation cannot be positive items in the training set.
    for u in set.keys():
        for j in set[u]:
            predict[(u - 1) * item_count + j - 1] = 0
    return predict

if __name__ == '__main__':
    bpr = BPR()
    bpr.main()