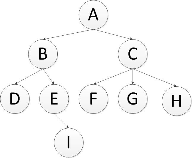
在编程生活中,我们总会遇见树性结构,这几天刚好需要对树形结构操作,就记录下自己的操作方式以及过程。现在假设有一颗这样树,(是不是二叉树都没关系,原理都是一样的)

1.广度优先遍历
英文缩写为BFS即Breadth FirstSearch。其过程检验来说是对每一层节点依次访问,访问完一层进入下一层,而且每个节点只能访问一次。对于上面的例子来说,广度优先遍历的 结果是:A,B,C,D,E,F,G,H,I(假设每层节点从左到右访问)。
先往队列中插入左节点,再插右节点,这样出队就是先左节点后右节点了。
广度优先遍历树,需要用到队列(Queue)来存储节点对象,队列的特点就是先进先出。例如,上面这颗树的访问如下:
首先将A节点插入队列中,队列中有元素(A);
将A节点弹出,同时将A节点的左、右节点依次插入队列,B在队首,C在队尾,(B,C),此时得到A节点;
继续弹出队首元素,即弹出B,并将B的左、右节点插入队列,C在队首,E在队尾(C,D,E),此时得到B节点;
继续弹出,即弹出C,并将C节点的左、中、右节点依次插入队列,(D,E,F,G,H),此时得到C节点;
将D弹出,此时D没有子节点,队列中元素为(E,F,G,H),得到D节点;
。。。以此类推。。
代码:这里以二叉树为例,遍历所有节点的值
/**
public class TreeNode {
int val = 0;
TreeNode left = null;
TreeNode right = null;
public TreeNode(int val) {
this.val = val;
}
}
*/
public class Solution {
public ArrayList<Integer> PrintFromTopToBottom(TreeNode root) {
ArrayList<Integer> lists=new ArrayList<Integer>();
if(root==null)
return lists;
Queue<TreeNode> queue=new LinkedList<TreeNode>();
queue.offer(root);
while(!queue.isEmpty()){
TreeNode tree=queue.poll();
if(tree.left!=null)
queue.offer(tree.left);
if(tree.right!=null)
queue.offer(tree.right);
lists.add(tree.val);
}
return lists;
}
}
2、深度优先
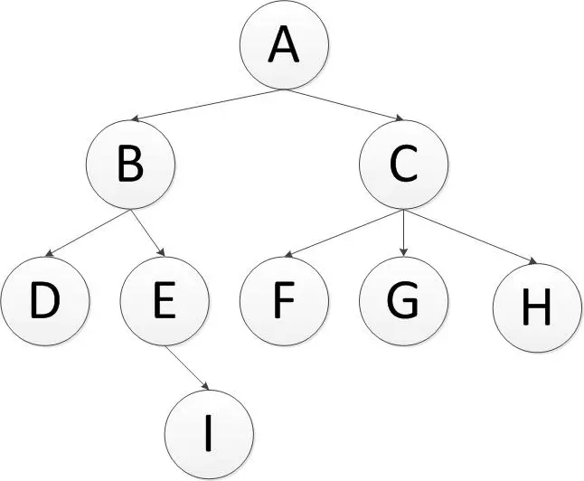
英文缩写为DFS即Depth First Search.其过程简要来说是对每一个可能的分支路径深入到不能再深入为止,而且每个节点只能访问一次。对于上面的例子来说深度优先遍历的结果就是:A,B,D,E,I,C,F,G,H.(假设先走子节点的的左侧)。
深度优先遍历各个节点,需要使用到栈(Stack)这种数据结构。stack的特点是是先进后出。整个遍历过程如下:
先往栈中压入右节点,再压左节点,这样出栈就是先左节点后右节点了。
首先将A节点压入栈中,stack(A);
将A节点弹出,同时将A的子节点C,B压入栈中,此时B在栈的顶部,stack(B,C);
将B节点弹出,同时将B的子节点E,D压入栈中,此时D在栈的顶部,stack(D,E,C);
将D节点弹出,没有子节点压入,此时E在栈的顶部,stack(E,C);
将E节点弹出,同时将E的子节点I压入,stack(I,C);
...依次往下,最终遍历完成。
代码:也是以二叉树为例。非递归
/**
public class TreeNode {
int val = 0;
TreeNode left = null;
TreeNode right = null;
public TreeNode(int val) {
this.val = val;
}
}
*/
public class Solution {
public ArrayList<Integer> PrintFromTopToBottom(TreeNode root) {
ArrayList<Integer> lists=new ArrayList<Integer>();
if(root==null)
return lists;
Stack<TreeNode> stack=new Stack<TreeNode>();
stack.push(root);
while(!stack.isEmpty()){
TreeNode tree=stack.pop();
//先往栈中压入右节点,再压左节点,这样出栈就是先左节点后右节点了。
if(tree.right!=null)
stack.push(tree.right);
if(tree.left!=null)
stack.push(tree.left);
lists.add(tree.val);
}
return lists;
}
}
深度优先的递归实现:
public void depthOrderTraversalWithRecursive()
{
depthTraversal(root);
}
private void depthTraversal(TreeNode tn)
{
if (tn!=null)
{
System.out.print(tn.value+" ");
depthTraversal(tn.left);
depthTraversal(tn.right);
}
}
本文大量引用自:http://www.cnblogs.com/toSeeMyDream/p/5816682.html