Module8 系统的型:稳态误差
★★★1 系统分析总结
- 稳(稳定性):闭环极点的位置 -> 极点实部的正负
- 快(动态特性):a闭环极点的位置 -> ζ,ω -> Tp,Tr,Ts,PO b闭环零点的位置
- 准(稳态误差):system type and the kind of input
★★★2 单位负反馈控制系统分析


system type定义:

【注】:G(s)是开环传函,等于正向通路方框和反馈方框的积
【type判断方法】:1/s 是一个积分器,开环传函G(s)分母能提出多少阶1/s就是几型系统
易错点: 【order判断方法】:闭环传函Φ(s)分母s的最高次数;对于单位反馈系统Φ=G/(1+G) 所以G分母s的最高次数也可以判断order
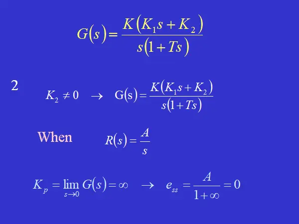
example(单位负反馈控制系统):

推导过程:

★★★必背表:

| -1 | 0 | 1 | 2 | |
|---|---|---|---|---|
| 0 | 0 | ∞ | ∞ | |
| 1 | 0 | 0 | ∞ | |
| 2 | 0 | 0 | 0 |
★三点结论:
- 这个3×4的表可以扩展下去
- 对于这四个unit input,输入乘倍数,稳态误差乘倍数(齐次性),
- 【稳态误差】和【系统动态特性】没有关系,即【瞬态部分】和【稳态部分】没有关系
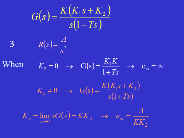
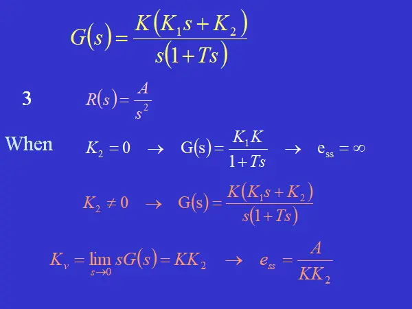
对于3的解释:

3 其他情况
3.1 非单位负反馈控制系统的稳态误差分析
强制转换为单位负反馈控制系统


3.2 由扰动引起的稳态误差分析
3.3 multiple input
用线性特性:

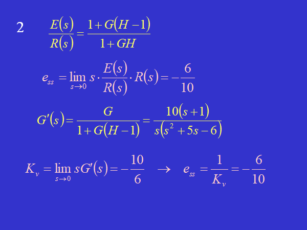
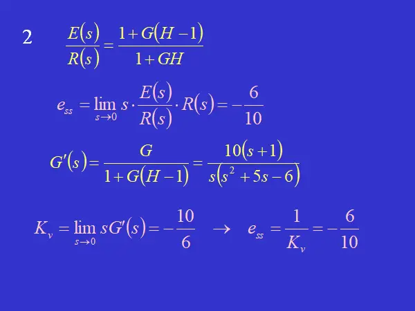
4 example





non-unity-feedback case

multiple-input case
