#(一)随机变量的概念
定义(随机变量)
设随机试验E的样本空间为S={e}
若X=X(e)是定义在样本空间S上的一个单值实函数,则称X=X(e)为随机变量。


随机变量主要有离散型和连续型两类:
若随机变量只可能取有限个或可数无限个值 时,则称之为离散型随机变量。
若随机变量可以取一个区间中的所有实数 时,则称之为连续型随机变量。
#(二)随机变量的例子
例1 掷硬币的试验中
样本空间 S={正面(H), 反面(T)}
令 X(H)=1, X(T)=0,得随机变量X=X(e)。 离散型
例2 随机取一个正实数,其结果η是一个随机 变量,取值范围是区间(0, +∞)。 连续型
#(三)随机变量的概率
随机变量的取值是由随机试验的结果确定。
随机变量 X 取某个值x的事件用记号 {X=x} 表示,其概率记为P{X=x}。
一般,若L是一个实数集,将随机变量 X 在 L中取值的事件记作 {X ∈ L}
其概率记为 P{X∈L}
P{X∈L}=P{e|X(e)∈L}
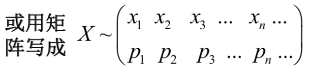
#(四)离散型随机变量的分布律
要掌握或描述一个离散型随机变量X的统计规 律,必须且只需知道X的所有可能的取值,以及每一个可能的取值的概率。



(1) 非负性 pk≧0, k=1, 2, ...
(2) 规范性 p1+p2+...+pn+...= 1 所有概率相加等于1


掷一枚骰子的分布律为



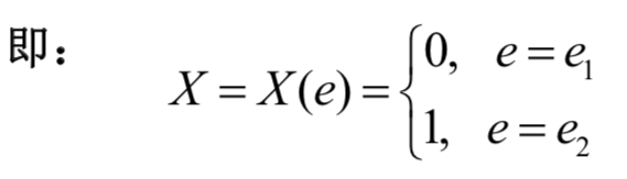
#(五)(0-1)分布
定义
只取0和1两个值的随机变量所服从的 分布称为 0-1分布 (两点分布)。
例
如果一个随机试验的样本空间只包含两个元素,即S={e1 ,e2 }
我们总能在S上定义一个服从0-1分布(两点分布) 的随机变量X来描述这个随机试验的结果,

#(六)伯努利试验



n重伯努利试验的特点:
(1) 每次试验只有两个结果:A及其对立事件。
(2) 概率不变:P(A)=p。
(3) 各次试验相互独立。
例如,抛硬币一次,结果只有两个结果: 出现正面和出现反面 这就是伯努利试验。若将硬币抛n次,每次出现正面的概率都是1/2, 这就是n重伯努利试验。又如,设一批产品的合格率为90%。从中取出一件,检查它是否合格,结果只有两个结果:合格和不合格。这就是伯努利试验。
#(七) 二项分布
二项分布是伯努利概型的概率分布




