文 / 软件工程实习生 Raymond Yuan
来源 | TensorFlow 公众号
在本教程中,我们将学习如何使用深度学习来以另一幅图像的风格创作图像(有没有希望自己可以像毕加索或梵高一样作画?)。这就是我们所说的神经风格迁移!Leon A. Gatys 在其论文《一种艺术风格的神经网络算法》(A Neural Algorithm of Artistic Style)中概要介绍了这项技术,文章非常值得一读,千万不要错过。 注:教程链接 colab.research.google.com/github/tens…
神经风格迁移是一项优化技术,可用于选取三幅图像,即一幅内容图像、一幅风格参考图像(例如一幅名家作品),以及您想要设定风格的输入图像,然后将它们融合在一起,这样输入图像转化后就会看起来与内容图像相似,但其呈现的是风格图像的风格。
例如,我们选取一张乌龟的图像和 Katsushika Hokusai 的 《神奈川冲浪里》:

如果 Hokusai 决定将他作品中海浪的纹理或风格添加到海龟图像中,这幅图看起来会是什么样?会不会是这样?

这是魔法吗?又或者只是深度学习?幸运的是,这和魔法没有任何关系:风格迁移是一项好玩又有趣的技术,可以展现神经网络的能力和内部表现形式。
神经风格迁移的原理是定义两个距离函数,一个描述两幅图像的不同之处,即 Lcontent 函数,另一个描述两幅图像的风格差异,即 Lstyle 函数。然后,给定三幅图像,一幅所需的风格图像、一幅所需的内容图像,还有一幅输入图像(用内容图像进行初始化)。我们努力转换输入图像,借助内容图像将内容距离最小化,并借助风格图像将风格距离最小化。
简而言之,我们会选取基本输入图像、我们想要匹配的内容图像以及想要匹配的风格图像。我们将使用反向传播算法最小化内容和风格距离(损失),以转换基本输入图像,创建与内容图像的内容和风格图像的风格相匹配的图像。
下文要提及的特定概念有:
在此过程中,我们会围绕下列概念积累实际经验,形成直觉认识:
-
Eager Execution — 使用 TensorFlow 的命令式编程环境,该环境可以立即评估操作
-
了解更多有关 Eager Execution 的信息
-
查看动态教程(许多教程都可以在 Colaboratory 中运行)
-
使用功能 API 来定义模型 — 我们会构建一个模型的子集,由其赋予我们使用功能 API 访问必要的中间激活的权限
-
利用预训练模型的特征图 — 学习如何使用预训练模型及其特征图
-
创建自定义训练循环 — 我们会研究如何设置优化器,以最小化输入参数的既定损失
我们会按照下列常规步骤来进行风格迁移:
-
可视化数据
-
对我们的数据进行基本的预处理/准备
-
设定损失函数
-
创建模型
-
优化损失函数
受众:
此篇博文面向熟知机器学习基本概念的中级用户。要充分利用此博文,您需要:
阅读 Gaty 的论文 — 我们会有全程讲解,但这篇论文有助您更加透彻地理解这一任务 了解梯度下降法 注:Gaty 的论文链接 arxiv.org/abs/1508.06… 了解梯度下降法链接 developers.google.com/machine-lea…
预计所需时间:60 分钟
代码: 您可以点击此链接获取本文中的完整代码。如想单步调试此示例,您可以点击此处,打开 Colab。 注:此链接 github.com/tensorflow/… 此处链接 colab.research.google.com/github/tens…
实现
首先,我们要启用 Eager Execution。借助 Eager Execution,我们可以最清晰易读的方式学习这项技术
1 tf.enable_eager_execution()
2 print("Eager execution: {}".format(tf.executing_eagerly()))
3
4 Here are the content and style images we will use:
5 plt.figure(figsize=(10,10))
6
7 content = load_img(content_path).astype('uint8')
8 style = load_img(style_path)
9
10 plt.subplot(1, 2, 1)
11 imshow(content, 'Content Image')
12
13 plt.subplot(1, 2, 2)
14 imshow(style, 'Style Image')
15 plt.show()

定义内容和风格表征
为了获取我们图像的内容和风格表征,我们先来看看模型内的一些中间层。中间层代表着特征图,这些特征图将随着您的深入变得越来越有序。在本例中,我们会使用 VGG19 网络架构,这是一个预训练图像分类网络。要定义我们图像的内容和风格表征,这些中间层必不可少。对于输入图像,我们会努力匹配这些中间层的相应风格和内容的目标表征。
为什么是中间层?
您可能会好奇,为什么预训练图像分类网络中的中间输出允许我们定义风格和内容表征。从较高的层面来看,我们可以通过这样的事实来解释这一现象,即网络必须要理解图像才能执行图像分类(我们的网络已接受过这样的训练)。这包括选取原始图像作为输入像素,并通过转换构建内部表征,转换就是将原始图像像素变为对图像中所呈现特征的复杂理解。这也可以部分解释卷积神经网络为何能够很好地概括图像:它们能够捕捉不同类别的不变性,并定义其中的特征(例如猫与狗),而且不受背景噪声和其他因素的影响。因此,在输入原始图像和输出类别标签之间的某个位置,模型发挥着复杂特征提取器的作用。通过访问中间层,我们可以描述输入图像的内容和风格。
具体而言,我们会从我们的网络中抽取出这些中间层:
1 # Content layer where will pull our feature maps
2 content_layers = ['block5_conv2']
3
4 # Style layer we are interested in
5 style_layers = ['block1_conv1',
6 'block2_conv1',
7 'block3_conv1',
8 'block4_conv1',
9 'block5_conv1'
10 ]
11
12 num_content_layers = len(content_layers)
13 num_style_layers = len(style_layers)
模型
在本例中,我们将加载 VGG19,并将输入张量输入模型中。这样,我们就可以提取内容图像、风格图像和所生成图像的特征图(随后提取内容和风格表征)。
依照论文中的建议,我们使用 VGG19 模型。此外,由于 VGG19 是一个较为简单的模型(与 ResNet、Inception 等模型相比),其特征图实际更适用于风格迁移。
为了访问与我们的风格和内容特征图相对应的中间层,我们需要使用 Keras 功能 API 来获取相应的输出,从而使用所需的输出激活定义我们的模型。
借助功能 API,定义模型时仅需定义输入和输出即可:model = Model(inputs, outputs)。
1 def get_model():
2 """ Creates our model with access to intermediate layers.
3
4 This function will load the VGG19 model and access the intermediate layers.
5 These layers will then be used to create a new model that will take input image
6 and return the outputs from these intermediate layers from the VGG model.
7 Returns:
8 returns a keras model that takes image inputs and outputs the style and
9 content intermediate layers.
10 """
11 # Load our model. We load pretrained VGG, trained on imagenet data (weights=’imagenet’)
12 vgg = tf.keras.applications.vgg19.VGG19(include_top=False, weights='imagenet')
13 vgg.trainable = False
14 # Get output layers corresponding to style and content layers
15 style_outputs = [vgg.get_layer(name).output for name in style_layers]
16 content_outputs = [vgg.get_layer(name).output 17 for name in content_layers]
18 model_outputs = style_outputs + content_outputs
19 # Build model
20 return models.Model(vgg.input, model_outputs)
在上图的代码片段中,我们将加载预训练图像分类网络。然后,我们会抓取此前定义的兴趣层。之后,我们将定义一个模型,将模型的输入设置为图像,将输出设置为风格层和内容层的输出。换言之,我们创建的模型将接受输入图像并输出内容和风格中间层!
定义和创建我们的损失函数(内容和风格距离)
内容损失: 我们的内容损失定义实际上相当简单。我们将向网络传递所需的内容图像和基本输入图像,这样,我们的模型会返回中间层输出(自上文定义的层)。然后,我们只需选取这些图像的两个中间表征之间的欧氏距离。
更正式地讲,内容损失是一个函数,用于描述内容与我们的输入图像 x 和内容图像 p 之间的距离。设 Cₙₙ 为预训练深度卷积神经网络。再次强调,我们在本例中使用 VGG19。设 X 为任意图像,则 Cₙₙ(x) 为 X 馈送的网络。用 Fˡᵢⱼ(x)∈ Cₙₙ(x) 和 Pˡᵢⱼ(x) ∈ Cₙₙ(x) 分别描述网络在 l 层上输入为 x 和 p 的中间层表征。之后,我们可以将内容距离(损失)正式描述为:

我们以常规方式执行反向传播算法,以便将内容损失降至最低。这样,我们可以更改初始图像,直至其在某个层(在 content_layer 中定义)中生成与原始内容图像相似的响应。
该操作非常容易实现。同样地,在我们的输入图像 x 和内容图像 p 馈送的网络中,其会将 L 层的输入特征图视为输入图像,然后返回内容距离。
1 def get_content_loss(base_content, target):
2 return tf.reduce_mean(tf.square(base_content - target))
风格损失:
计算风格损失时涉及的内容较多,但遵循相同的原则,这次我们要为网络提供基本输入图像和风格图像。但我们要比较的是这两个输出的格拉姆矩阵,而非基本输入图像和风格图像的原始中间输出。
在数学上,我们将基本输入图像 x 和风格图像 a 的风格损失描述为这些图像的风格表征(格拉姆矩阵)之间的距离。我们将图像的风格表征描述为由格拉姆矩阵 Gˡ 给定的不同过滤响应间的相关关系,其中 Gˡᵢⱼ 为 l 层中矢量化特征图 i 和 j 之间的内积。我们可以看到,针对特定图像的特征图生成的 Gˡᵢⱼ 表示特征图 i 和 j 之间的相关关系。
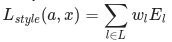
要为我们的基本输入图像生成风格,我们需要对内容图像执行梯度下降法,将其转换为与原始图像的风格表征匹配的图像。我们通过最小化风格图像与输入图像的特征相关图之间的均方距离来进行此项操作。每层对总风格损失的贡献用以下公式描述

其中 Gˡᵢⱼ 和 Aˡᵢⱼ 分别为输入图像 x 和风格图像 a 在 l 层的风格表征。Nl 表示特征图的数量,每个图的大小为 Ml= 高度 ∗ 宽度。因此,每层的总风格损失为

其中,我们用系数 wl 来衡量每层损失的贡献。在这个例子中,我们平均地衡量每个层:

这实施起来很简单:
1 def gram_matrix(input_tensor):
2 # We make the image channels first
3 channels = int(input_tensor.shape[-1])
4 a = tf.reshape(input_tensor, [-1, channels])
5 n = tf.shape(a)[0]
6 gram = tf.matmul(a, a, transpose_a=True)
7 return gram / tf.cast(n, tf.float32)
8
9 def get_style_loss(base_style, gram_target):
10 """Expects two images of dimension h, w, c"""
11 # height, width, num filters of each layer
12 height, width, channels = base_style.get_shape().as_list()
13 gram_style = gram_matrix(base_style)
14 return tf.reduce_mean(tf.square(gram_style - 15 gram_target))
运行梯度下降法
如果您对梯度下降法/反向传播算法不熟悉,或需要复习一下,那您一定要查看此资源。
在本例中,我们使用 Adam 优化器来最小化我们的损失。我们迭代更新输出图像,以最大限度地减少损失:我们不是更新与网络有关的权重,而是训练我们的输入图像以使损失最小化。为此,我们必须知道如何计算损失和梯度。请注意,我们推荐使用 L-BFGS 优化器(如果您熟悉此算法的话),但本教程并未使用该优化器,因为本教程旨在阐述使用 Eager Execution 的最佳实践。通过使用 Adam,我们可以借助自定义训练循环来说明 autograd/梯度带的功能。
计算损失和梯度
我们会定义一些辅助函数,这些函数会加载我们的内容和风格图像,通过网络将它们向前馈送,然后从我们的模型输出内容和风格的特点表征。
1 def get_feature_representations(model, content_path, style_path):
2 """Helper function to compute our content and style feature representations.
3
4 This function will simply load and preprocess both the content and style
5 images from their path. Then it will feed them through the network to obtain
6 the outputs of the intermediate layers.
7
8 Arguments:
9 model: The model that we are using.
10 content_path: The path to the content image. 11 style_path: The path to the style image
12
13 Returns:
14 returns the style features and the content features.
15 """
16 # Load our images in
17 content_image = load_and_process_img(content_path)
18 style_image = load_and_process_img(style_path)
19
20 # batch compute content and style features
21 stack_images = np.concatenate([style_image, content_image], axis=0)
22 model_outputs = model(stack_images)
23 # Get the style and content feature representations from our model
24
25 style_features = [style_layer[0] for style_layer in model_outputs[:num_style_layers]]
26 content_features = [content_layer[1] for content_layer in model_outputs[num_style_layers:]]
27 return style_features, content_features
这里我们使用 tf.GradientTape 来计算梯度。这样,我们可以通过追踪操作来利用可用的自动微分,以便之后计算梯度。它会记录正向传递期间的操作,并能够计算关于向后传递的输入图像的损失函数梯度。
1 def compute_loss(model, loss_weights, init_image, gram_style_features, content_features):
2 """This function will compute the loss total loss.
3
4 Arguments:
5 model: The model that will give us access to the intermediate layers
6 loss_weights: The weights of each contribution of each loss function.
7 (style weight, content weight, and total variation weight)
8 init_image: Our initial base image. This image is what we are updating with
9 our optimization process. We apply the gradients wrt the loss we are
10 calculating to this image.
11 gram_style_features: Precomputed gram matrices corresponding to the
12 defined style layers of interest.
13 content_features: Precomputed outputs from defined content layers of
14 interest.
15
16 Returns:
17 returns the total loss, style loss, content loss, and total variational loss
18 """
19 style_weight, content_weight, total_variation_weight = loss_weights
20
21 # Feed our init image through our model. This will give us the content and
22 # style representations at our desired layers. Since we're using eager
23 # our model is callable just like any other function!
24 model_outputs = model(init_image)
25
26 style_output_features = model_outputs[:num_style_layers]
27 content_output_features = model_outputs[num_style_layers:]
28
29 style_score = 0
30 content_score = 0
31
32 # Accumulate style losses from all layers
33 # Here, we equally weight each contribution of each loss layer
34 weight_per_style_layer = 1.0 / float(num_style_layers)
35 for target_style, comb_style in zip(gram_style_features, style_output_features):
36 style_score += weight_per_style_layer * get_style_loss(comb_style[0], target_style)
37
38 # Accumulate content losses from all layers
39 weight_per_content_layer = 1.0 / float(num_content_layers)
40 for target_content, comb_content in zip(content_features, content_output_features):
41 content_score += weight_per_content_layer* get_content_loss(comb_content[0], target_content)
42
43 style_score *= style_weight
44 content_score *= content_weight
45 total_variation_score = total_variation_weight * total_variation_loss(init_image)
46
47 # Get total loss
48 loss = style_score + content_score + total_variation_score
49 return loss, style_score, content_score, total_variation_score
然后计算梯度就很简单了:
1 def compute_grads(cfg):
2 with tf.GradientTape() as tape:
3 all_loss = compute_loss(**cfg)
4 # Compute gradients wrt input image
5 total_loss = all_loss[0]
6 return tape.gradient(total_loss, cfg['init_image']), all_loss
应用并运行风格迁移流程 要实际进行风格迁移:
1 def run_style_transfer(content_path,
2 style_path,
3 num_iterations=1000,
4 content_weight=1e3,
5 style_weight = 1e-2):
6 display_num = 100
7 # We don't need to (or want to) train any layers of our model, so we set their trainability
8 # to false.
9 model = get_model()
10 for layer in model.layers:
11 layer.trainable = False
12
13 # Get the style and content feature representations (from our specified intermediate layers)
14 style_features, content_features = get_feature_representations(model, content_path, style_path)
15 gram_style_features = [gram_matrix(style_feature) for style_feature in style_features]
16
17 # Set initial image
18 init_image = load_and_process_img(content_path)
19 init_image = tfe.Variable(init_image, dtype=tf.float32)
20 # Create our optimizer
21 opt = tf.train.AdamOptimizer(learning_rate=10.0)
22
23 # For displaying intermediate images
24 iter_count = 1
25
26 # Store our best result
27 best_loss, best_img = float('inf'), None
28
29 # Create a nice config
30 loss_weights = (style_weight, content_weight)
31 cfg = {
32 'model': model,
33 'loss_weights': loss_weights,
34 'init_image': init_image,
35 'gram_style_features': gram_style_features,
36 'content_features': content_features
37 }
38
39 # For displaying
40 plt.figure(figsize=(15, 15))
41 num_rows = (num_iterations / display_num) // 5
42 start_time = time.time()
43 global_start = time.time()
44
45 norm_means = np.array([103.939, 116.779, 123.68])
46 min_vals = -norm_means
47 max_vals = 255 - norm_means
48 for i in range(num_iterations):
49 grads, all_loss = compute_grads(cfg)
50 loss, style_score, content_score = all_loss
51 # grads, _ = tf.clip_by_global_norm(grads, 5.0)
52 opt.apply_gradients([(grads, init_image)])
53 clipped = tf.clip_by_value(init_image, min_vals, max_vals)
54 init_image.assign(clipped)
55 end_time = time.time()
56
57 if loss < best_loss:
58 # Update best loss and best image from total loss.
59 best_loss = loss
60 best_img = init_image.numpy()
61
62 if i % display_num == 0:
63 print('Iteration: {}'.format(i))
64 print('Total loss: {:.4e}, '
65 'style loss: {:.4e}, '
66 'content loss: {:.4e}, '
67 'time: {:.4f}s'.format(loss, style_score, content_score, time.time() - start_time))
68 start_time = time.time()
69
70 # Display intermediate images
71 if iter_count > num_rows * 5: continue
72 plt.subplot(num_rows, 5, iter_count)
73 # Use the .numpy() method to get the concrete numpy array
74 plot_img = init_image.numpy()
75 plot_img = deprocess_img(plot_img)
76 plt.imshow(plot_img)
77 plt.title('Iteration {}'.format(i + 1))
78
79 iter_count += 1
80 print('Total time: {:.4f}s'.format(time.time() - global_start))
81
82 return best_img, best_loss
就是这样!
我们在海龟图像和 Hokusai 的 《神奈川冲浪里》上运行该流程:
1 best, best_loss = run_style_transfer(content_path,
2 style_path,
3 verbose=True,
4 show_intermediates=True)


P.Lindgren 拍摄的《绿海龟》图 [CC BY-SA 3.0 (creativecommons.org/licenses/by…)],图片来自 Wikimedia Common
观察这一迭代过程随时间发生的变化:

下面有一些关于神经风格迁移用途的很棒示例。快来看看吧!



试试用自己的图像!
关键知识点
我们的学习内容:
-
为了最大限度地减少这些损失,我们构建了几个不同的损失函数,并使用反向传播技术来转化我们的输入图像。
-
为了进行此项操作,我们载入了一个预训练模型,并使用该模型已学过的特征图来描述我们图像的内容和风格表征。
-
我们的主要损失函数主要根据这些不同的表征计算距离。
-
我们使用自定义模型和 Eager Execution 来进行计算。
-
我们使用功能 API 构建了我们的自定义模型。
-
Eager Execution 让我们可以使用自然的 Python 控制流来动态地使用张量。
-
我们可以直接操控张量,这使调试和使用张量都更加轻松。
通过使用 tf.gradient,我们可以运用优化器更新规则来迭代更新我们的图像。优化器可以最小化与我们输入图像有关的既定损失。