【学界】JuMP: 用Julia进行优化建模及求解

1,286 阅读22分钟
原文链接: mp.weixin.qq.com

↑↑↑↑↑ 点击上方 蓝色字 关注我们!



『运筹OR帷幄』原创

作者:覃含章

0 为什么要用Julia做优化?

本文是我在Julia中文社区2018用户见面会上关于用Julia进行优化建模及求解的分享内容。

本Tutorial主要介绍JuMP.jl,一种在Julia语言中的开源AML(Algebraic Modeling Language), 类似于AMPL, YALMIP, CVX, Poymo, GAMS等。JuMP的优化建模+solver内存传递速度,与其它商业/开源AML的比较见下表。不涉及Convex.jl,类似Matlab中的CVX,由Boyd et al. 开发的另一种Julia中的AML。

该表来自:Dunning, Iain, Joey Huchette, and Miles Lubin. JuMP: A modeling language for mathematical optimization. SIAM Review 59.2 (2017): 295-320. 更多JuMP的实现细节和与其它AML的比较可参

我们发现JuMP在优化建模速度上不输商业AML,比其它的开源AML要明显快出许多。

该表来自:https://www.juliaopt.org/

JuMP的另一大好处在于无缝衔接各种商业/开源solver: Gurobi, CPLEX, SCIP, Knitro, Mosek等......

1 优化建模初步(最基本的线性规划)

(这部分主要针对优化理论零基础的读者,例子来自于——覃含章:运筹学中应该如何理解互补松弛性。这条性质又该如何运用?)

假设你是一个木匠,出售手工制作的木头桌子和木头椅子。现在你想要制定一个生产计划,让这个月的利润最大化。

注意,生产一张桌子,或者一把椅子,都需要消耗一定数量的木材和时间,而作为一个手工小作坊,你每个月能用来生产的时间是有限的,你每个月能进到的木材也是有限的。

简单起见,我们假定桌子的利润固定为一张10元,椅子为一把3元。生产一张桌子需要5单位木材和3单位时间,生产一把椅子需要2单位木材和1单位时间。且我们所有生产的桌子椅子都是能被卖掉的。先假设当月我们总共有200单位木材和90单位时间。

显然,这个生产规划问题可以用线性规划来建模:

根据对偶理论,我们也知道等价的对偶问题为:

# 利用JuMP求解原问题function CarpenterPrimal(c,A,b)
    # 定义Model对象, OutputFlag = 0指不输出log
    Primal = Model(solver = GurobiSolver(OutputFlag = 0))
    # 定义变量,注意这里使用了宏(macro),宏的调用也是Julia&JuMP高效编译/元编程(metaprogramming)的重要技巧
    @variable(Primal, x[1:2]>=0)
    # 定义不等式约束
    constr = @constraint(Primal, A*x.<=b)
    # 定义目标函数
    @objective(Primal, Max, dot(c,x))
    # 求解
    solve(Primal)
    # 返回最优目标函数值,最优解(原问题),最优解(对偶问题)
    return getobjectivevalue(Primal), getvalue(x), getdual(constr)end

调用CarpenterPrimal函数,得到最优解是生产30张桌子,不生产椅子:  。接下来我们看一下这个解背后所蕴含的其他信息。同时,对应木材和时间的影子价格   是0和10/3。

我们指出,也可以利用JuMP进行敏感度分析(Sensitivity Analysis)。考虑以下四个(P)的变种问题:(当然,其实都可以手解,用CarpenterPrimal进行验证)

(1) 把(P)中的(P1)右端项改成250,即木材总量增加。其余不变。最优解是什么?(2) 把(P)中的(P2)右端项改成120,即生产时间增加。其余不变。最优解是什么?增加的利润(相比原来的(P))和(P2)的影子价格的关系?(3) 假设桌子的单位利润不变,椅子的单位利润增加到多少的时候(P)的最优解开始生产椅子(而不生产桌子)?(4) 假设时间的总量仍为90,木材的总量减少到多少的时候木材的影子价格严格大于0(时间的影子价格反而变成0)?

如对这些基本概念不熟悉,可参阅本节一开始提到的我的回答。

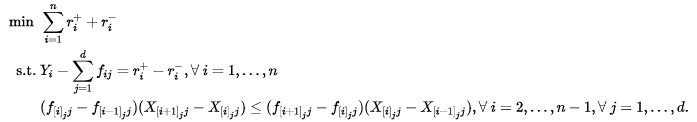
2 线性规划中的Column Generation实例: 大规模additive convex regression

给定数据  我们考虑以下线性规划问题:

注意我们如果在目标函数中再额外加上正则项, 则我们可以得到一个稀疏的(sparse) additive model。详见:Ravikumar, Pradeep, et al. "Sparse additive models." Journal of the Royal Statistical Society: Series B (Statistical Methodology) 71.5 (2009): 1009-1030.

上述模型是线性规划因为等价于(记  为  升序排序后的对应原index的序列)

# 生成样本n = 5000d = 2function_list = [x->0.5*abs.(x).^2,x->2*abs.(x),x->5*x.^2,x->0.5*exp.(x),x->0.3*x,x->0.7*x,x->2*x.^2,x->0.1*exp.(x),x->x.^2,x->exp.(x)]srand(123)X = rand(n,d) - 0.5Y = 0.02*randn(n,1)for i = 1:d
    Y = Y + function_list[mod(i-1,10)+1](X[:,i])end
# Full-sized的线性规划模型function Full_ConvReg(Max_T)
    M_conv_full = Model(solver=GurobiSolver(TimeLimit=Max_T, OutputFlag=0))
    @variable(M_conv_full, f_hat[1:n,1:d])
    @variable(M_conv_full, Res_pos[1:n]>=0)
    @variable(M_conv_full, Res_neg[1:n]>=0)    
    for k = 1:d
        xx = X[:,k] 
        ids = sortperm(vec(xx),rev=false)
        xx = xx[ids]
        for i in 2:(n-1)
            d1 = (xx[i+1]-xx[i]); d2=(xx[i]-xx[i-1]);
            @constraint(M_conv_full, (f_hat[ids[i],k]-f_hat[ids[i-1],k])*d1<=(f_hat[ids[i+1],k]-f_hat[ids[i],k])*d2);
        end   
    end
    
        for i in 1:n
            @constraint(M_conv_full, Y[i] - sum(f_hat[i,k] for k=1:d) == Res_pos[i] - Res_neg[i]  )
        end  
        @objective(M_conv_full, :Min, sum(Res_pos[i] + Res_neg[i] for i = 1:n) )   
        solve(M_conv_full)   
    return getvalue(f_hat)end

接下来我们介绍什么是Column Generation,并展示如何对上述问题利用JuMP和Gurobi进行Column Generation。这种方法是基于单纯形法(simplex methopd)的。即我们在一开始默认所有的变量都为0且不是基变量,而在每步iteration的时候利用前一轮的对偶变量的值计算reduced cost(只需要计算一步矩阵和向量的乘法),并将reduced cost最负的变量加入(成为基变量)。同时注意到,因为原问题的约束矩阵实际上具有分块特性(按照  分块),实际上我们可以采取Dantzig-Wolfe的formulation,即利用一个cyclic的update方式,在每个iteration对每个block单独计算reduced cost(比一起算快了  倍)。当所有reduced cost非负的时候,找到最优解:算法终止。

对Dantzig-Wolfe或者column generation不太了解的同学,请见一些经典的资料,如:https://perso.uclouvain.be/anth ony.papavasiliou/public_html/DantzigWolfe.pdf

当然,第五个例子里的constraint generation其实原理和column(variable) generation类似,那个例子对于零背景知识的同学可能更容易看。

# Column Generation化的线性规划模型function CG_ConvReg(Max_T)
    # build the LO: no Δ included
    M_conv = Model(solver=GurobiSolver(TimeLimit = Max_T,OutputFlag = 0,Method = 0))
    @variable(M_conv, Res_pos[1:n]>=0)
    @variable(M_conv, Res_neg[1:n]>=0)
    @constraintref constr[1:n]
    
    MaxIter = 1000
    
    XX = zeros(n,d)
    L = zeros(n,n+2,d)
    ids = convert(Array{Int64,2},zeros(n,d))
    ids_rec = convert(Array{Int64,2},zeros(n,d))
    
    for k = 1:d
        # sort the sequences
        ids[:,k] = sortperm(vec(X[:,k]),rev=false)
        ids_rec[:,k] = sortperm(ids[:,k],rev=false)
        XX[:,k] = X[ids[:,k],k]  
        # needed for column generation
        L[:,1,k] = ones(n,1)
        L[:,2,k] = -ones(n,1)
        L[2,3,k] = XX[2] - XX[1]
        L[2,4,k] = - XX[2] + XX[1]
        for i = 3:n
            L[i,3,k] = XX[i,k] - XX[1,k]
            L[i,4,k] = - XX[i,k] + XX[1,k]
            L[i,5:i+2,k] = [XX[i,k]-XX[j+1,k] for j=1:i-2]'
        end
        L[:,:,k] = L[ids_rec[:,k],:,k] 
    end
    
    @constraint(M_conv, constr[i=1:n], Res_pos[i] - Res_neg[i] == Y[i])
    @objective(M_conv, :Min, sum(Res_pos[i] + Res_neg[i] for i = 1:n) )
    
    solve(M_conv)
    dual_var = getdual(constr)
                    
    NewColumns = [Variable[] for i=1:d]
    IdxList = [[] for i=1:d]                       
    
    # Implement column generation                 
    iter = 1   
    flag = vec(ones(d,1))
    while sum(flag) > 1e-3 && iter < MaxIter
    #for t = 1:30
    for k = 1:d    
        if flag[k] == 1 
            Δ_r = -L[:,:,k]'*dual_var 
        else
            continue
        end
        if findmin(Δ_r)[1] < -1e-3
            idx = findmin(Δ_r)[2]
            constr_list = constr[1:n]
            coeff_list = L[:,idx,k]
            @variable(M_conv, Δ_temp >= 0, objective = 0., inconstraints = constr_list, coefficients =  coeff_list ) 
            #print("CG iteration ", iter,": enter Δ ",idx," for covariate ",k, "\n")
            push!(NewColumns[k],Δ_temp)
            push!(IdxList[k],idx)
            solve(M_conv) 
            iter = iter + 1
            dual_var = getdual(constr);
        else
            #print("Skip covariate ", k,"\n")
            flag[k] = 0
        end
    end
    end
    #print("CG ends after ", iter-1, " itertaions.\n")
                
    # Retrieve the ϕ values
    delta = zeros(n+2,d)
    zz = zeros(n,d)
    phi = zeros(n,d)
    for k = 1:d
        delta[IdxList[k],k]=getvalue(NewColumns[k])
        if isempty(find(IdxList[k].==2))
                zz[1,k] = delta[1,k]
        else
                zz[1,k] = -delta[2,k]
        end
        if isempty(find(IdxList[k].==4))
                zz[2,k] = delta[3,k]
        else
                zz[2,k] = -delta[4,k]
        end
        phi[1,k] = zz[1,k]
        phi[2,k] = zz[1,k]+zz[2,k]*(XX[2,k]-XX[1,k])                           
        for i = 3:n
            zz[i,k] = zz[i-1,k] + delta[i+2,k]
            phi[i,k] = zz[i,k]*(XX[i,k]-XX[i-1,k])+phi[i-1,k]
        end
    end
    
    return phiend
phi = CG_ConvReg(200);# 画出第一维上的解XX = zeros(n,d)ids = convert(Array{Int64,2},zeros(n,d))ids_rec = convert(Array{Int64,2},zeros(n,d))
    for k = 1:d 
        # sort the sequences
        ids[:,k] = sortperm(vec(X[:,k]),rev=false)
        ids_rec[:,k] = sortperm(ids[:,k],rev=false)
        XX[:,k] = X[ids[:,k],k] endplot(XX[:,1],phi[:,1])

接下来我们比较这两种formulation的求解速度。

@benchmark CG_ConvReg(200)
@benchmark Full_ConvReg(600)

令人惊讶的是,基于古老的单纯形法和Column Generation的算法竟然要远快于Gurobi求解LP默认的non-deterministic concurrent方法!这证明针对特定的优化问题,有时候更聪明的建模会给你更快的算法。

3 鲁棒线性规划 (Robust Linear Programming)

我们考虑最小费用流问题(minimum cost flow),其中每条边上的cost具有不确定性(uncertainty)。即我们考虑一个有向 ,我们考虑优化问题:

# Nominal Problemfunction NominalProblem(n,μ,δ)
    NetworkModel = Model(solver=GurobiSolver(OutputFlag=0))
    capacity = (ones(n,n)-eye(n,n))*0.5
    capacity[1,n] = 0
    capacity[n,1] = 0
    @variable(NetworkModel, flow[i=1:n,j=1:n]>=0)
    @constraint(NetworkModel, flow .<= capacity)
    @constraint(NetworkModel, sum(flow[1,i] for i=1:n)==1)
    @constraint(NetworkModel, sum(flow[i,n] for i=1:n)==1)
    for j = 2:n-1
        @constraint(NetworkModel, sum(flow[i,j] for i=1:n) == sum(flow[j,k] for k=1:n)  )
    end
    @objective(NetworkModel,Min, sum(flow[i,j]*μ[i,j] for i=1:n for j=1:n) );
    solve(NetworkModel)
    return getvalue(flow)end

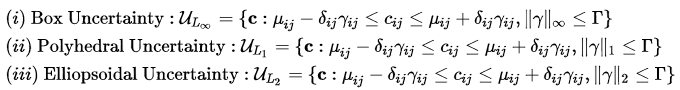
我们考虑以下三种uncertainty set:

其实,容易知道(i)(ii)的robust min cost flow问题仍可写成一个线性规划,(iii)的robust min cost flow问题可写成一个二阶锥规划问题(second-order cone optimization)。不过我们这里展示利用JuMPeR包可以省去推导robust counterpart的步骤。

# Robust Problemfunction RobustProblem(n,μ,δ,Γ,norm_type)
    NetworkModel_robust = RobustModel(solver=GurobiSolver(OutputFlag=0))
    capacity = (ones(n,n)-eye(n,n))*0.5
    capacity[1,n] = 0
    capacity[n,1] = 0
    @variable(NetworkModel_robust, flow[i=1:n,j=1:n]>=0)
    @uncertain(NetworkModel_robust, cost[i=1:n,j=1:n])
    @uncertain(NetworkModel_robust, r[i=1:n,j=1:n])
    @variable(NetworkModel_robust, obj) 
    for i = 1:n
        for j = 1:n
        @constraint(NetworkModel_robust, cost[i,j] == μ[i,j]+r[i,j]*δ[i,j])
        end
    end  
    @constraint(NetworkModel_robust, norm(r,norm_type) <= Γ)
    @constraint(NetworkModel_robust, flow .<= capacity)
    @constraint(NetworkModel_robust, sum(flow[1,i] for i=1:n) == 1)
    @constraint(NetworkModel_robust, sum(flow[i,n] for i=1:n) == 1)
    for j = 2:n-1
        @constraint(NetworkModel_robust, sum(flow[i,j] for i=1:n) == sum(flow[j,k] for k=1:n))
    end
    @constraint(NetworkModel_robust, sum(cost[i,j]*flow[i,j] for i=1:n for j=1:n) <= obj )
    @objective(NetworkModel_robust, Min, obj)
    solve(NetworkModel_robust)
    return getvalue(flow)end

我们这里做一些仿真来看一下robust solution的表现。假设G是完全连同的,所有边的容量都是0.5,我们随机产生 

  ,然后我们再随机产生 

 来看实际的cost的情况。我们以nominal problem的解为benchmark,输出robust solution的cost与其的差。

function Evaluation()
    n_type = [10,25,50,75,100]
    Γ_type = [1e-4,1e-1,1e1,1e4]
    report_data = zeros(13,5)
    for n_idx = 1:5
        n = n_type[n_idx]
        count = 2
        μ = 10*rand(n,n)
        δ = zeros(n,n)
        for i = 1:n
            for j = 1:n
                δ[i,j] = μ[i,j]*rand()
            end
        end
        cost_sim = zeros(n,n)
                for i = 1:n
                    for j = 1:n
                        cost_sim[i,j] = μ[i,j] + δ[i,j] * (rand()-0.5) * 2
                    end
                end
        sol_0 = NominalProblem(n,μ,δ)
        report_data[1,n_idx] = sum(sum(cost_sim.*sol_0))
        for Γ in Γ_type
            print("n=",n," Γ=",Γ)
            sol_inf = RobustProblem(n,μ,δ,Γ,Inf)
            sol_1 = RobustProblem(n,μ,δ,Γ,1)
            sol_2 = RobustProblem(n,μ,δ,Γ,2)    
            report_data[count,n_idx] = sum(sum(cost_sim.*(sol_inf-sol_0)))
            report_data[count+1,n_idx] = sum(sum(cost_sim.*(sol_1-sol_0) ))
            report_data[count+2,n_idx] = sum(sum(cost_sim.*(sol_2-sol_0) ))
            count = count + 3
        end
    end
    return report_dataendoutput = Evaluation();# 输出Γ=10时三种uncertainty set给出的differencetemp_p = plot([10,25,50,75,100],output[8,:],xlabel = "n", label = "Uinf")plot!(temp_p,[10,25,50,75,100],output[9,:], label = "U1")plot!(temp_p,[10,25,50,75,100],output[10,:], label = "U2")

那么我们确实看到box constraint给出了更robust的solution,而L1/2 uncertainty构建下的鲁棒优化问题更mild一些。

JuMPeR也可以model多阶段的鲁棒优化问题,尤其比如是affinely-adjustable policy的(这比uncertainty set的formulation要松的多)。这里只是提一下,不详细介绍了,有兴趣的同学可以自行研究,其实也是很有用的。

4 近似解Stable Number:  半正定规划/整数规划

一个无向图  的stable(independent) set是V的一个子集,其中所有节点互相都不相连。 stable set的最大cardinality定义为α(G),也叫做图的stability number. 假设|V|=n. 自然,其0/1整数规划可以写成:

利用

 等价, 我们可以得到一个半正定规划的relaxation:

例子来源:Pena, Javier, Juan Vera, and Luis F. Zuluaga. "Computing the stability number of a graph via linear and semidefinite programming." SIAM Journal on Optimization 18.1 (2007): 87-105.

function StableBin(A)
    n = size(A,1)
    StableB = Model(solver = GurobiSolver(OutputFlag = 0))
    @variable(StableB, x[1:n], Bin)
    for i = 1:n
        for j in find(A[i,:].== 1)
            @constraint(StableB, x[i] + x[j] <= 1)
        end
    end
    @objective(StableB, Max, sum(x))
    solve(StableB)
    return getobjectivevalue(StableB)end
function StableSDP(A)
    n = size(A,1)
    StableDD = Model(solver = MosekSolver(MSK_IPAR_LOG = 0))
    @variable(StableDD, X[1:n,1:n])
    @SDconstraint(StableDD, X>=0)
    @constraint(StableDD, X.>=0)
    @constraint(StableDD, sum(sum(A.*X)) == 0 )
    @constraint(StableDD, sum(X[i,i] for i=1:n) == 1)
    @objective(StableDD, Max, sum(sum(X)))
    solve(StableDD)
    return getobjectivevalue(StableDD)end

以这个G为例子。

A14 = [0 1 1 0 0 0 0 0 0 0 0 0 0 0; 
       1 0 0 1 0 0 0 0 0 0 0 0 0 0;
       1 0 0 0 1 1 0 0 1 0 0 1 0 0;
       0 1 0 0 1 1 0 0 1 0 0 1 0 0;
       0 0 1 1 0 0 1 0 0 0 1 0 0 1;
       0 0 1 1 0 0 0 1 0 0 1 0 0 1;
       0 0 0 0 0 1 0 1 0 0 0 0 0 0;
       0 0 0 0 0 1 1 0 0 0 0 0 0 0;
       0 0 1 1 0 0 0 0 0 1 0 0 0 0;
       0 0 0 0 0 0 0 0 1 0 1 0 0 0;
       0 0 0 0 1 1 0 0 0 1 0 1 0 0;
       0 0 1 1 0 0 0 0 0 0 1 0 1 0;
       0 0 0 0 0 0 0 0 0 0 0 1 0 1;
       0 0 0 0 1 1 0 0 0 0 0 0 1 0];# α(G14) = 5StableBin(A14)# 松弛之后的解:5.694362954824882StableSDP(A14)
5 Lazy Constriant Generation:  在整数规划中用分段线性函数近似L2球

我们指出Gurobi还暂不支持整数规划和column generation结合(即branch and price),然而自定义user cut确是支持的(即branch and cut)!简单来说,即我们可以一开始只加入少量的约束,在一边求解整数规划的过程中将被violate的约束加入,因此也叫lazy callback。

这个例子来自于:http://t.cn/ReWaORM

我们要求解的问题是一个整数约束的二阶锥规划问题:

function solve_ball(c, Γ, ϵ=1e-6)
    n = length(c)
    m = Model(solver=GurobiSolver(OutputFlag=0))
    # 初始consrtaint: 一个box
    @variable(m, -Γ ≤ x[1:n] ≤ Γ, Int)
    # 定义目标函数
    @objective(m, Max, dot(c,x))
    #核心:定义callback function,记录加入cut的数量
    num_callbacks = 0
    function norm_callback(cb)
        num_callbacks += 1
        N = getvalue(x)
        # 求得当前x的L2 norm
        L = norm(N)
        # 如果足够小,说明已经得到一个可行解,即解最优
        if L ≤ Γ + ϵ
            return
        end
        # 不然的话,加入cut!注意这个cut将使得x变得不可行(infeasible),下步迭代必然会得到一个新的解
        @lazyconstraint(cb, dot(N,x) ≤ Γ*L)
    end
    # 将callback函数加入JuMP/Gurobi模型
    addlazycallback(m, norm_callback)
    
    #求解
    solve(m)
    return getvalue(x), num_callbacksend#产生一个随机样例srand(1234)n = 2c = rand(n)Γ = 50.0# 求解,输出callback次数sol, num_callbacks = solve_ball(c, Γ)println(sol)println(norm(sol))println(num_callbacks)

经过11次lazycallback我们得到最优解。接下来还有个交互的例子,我这边懒得做动画了,只给code。效果请自行在jupyter notebook里体验。实际上就是说可以手动在bar上调整参数看到不同情况下的最优解和可行域在二维平面的图像。

# 这里展示Interact和Compose包,可用来进行交互# 画出2D情况下的解set_default_graphic_size(8cm, 8cm)@manipulate for c1 in -1:0.1:+1, c2 in -1:0.1:+1, logϵ in -4:2
    sol, _ = solve_ball([c1,c2], 100, 10.0^logϵ)

    compose(context(),
    compose(context(),
            line([(0.5,0.5),(0.5+sol[1]/300,0.5+sol[2]/300)]),
            Compose.stroke("black")),
    compose(context(),
            circle((0.5 + (100/norm(sol))*sol/300)...,0.02),
            fill("red")),
    compose(context(),circle(0.5,0.5,0.333),fill("lightblue"))
    )end
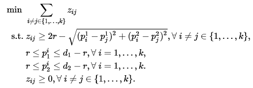
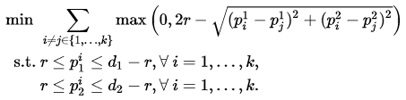
6 一般的非线性整数规划:密堆积球问题 我们考虑这样一个问题:有k个半径为r的球和一个尺寸d1×d2的长方形盒子,是否有办法将这些球塞入长方形?显然,一个更一般的问题是对任意长方形找到最大的k。不过这个一般的问题可以通过顺序求解(不断增大k)之前的决策问题来解决,所以我们就讨论给定k的决策问题。

定义变量   为圆心的x和y坐标. 那么决策问题可以用如下非凸非线性规划问题来求解, 也见:Birgin, Ernesto G., J. M. Martınez, and Débora P. Ronconi. "Optimizing the packing of cylinders into a rectangular container: a nonlinear approach." European Journal of Operational Research 160.1 (2005): 19-33.

和上一节思路类似,我们这里也利用分段线性函数和整数规划来近似这里的L2函数。当然,我们这里采取更一般的做法,利用PiecewiseLinear包来方便完成。具体来说,我们考虑用整数线性规划近似如下非线性规划中的非凸约束。

# 画图function PlotCirclesRectangle(p1,p2)
    p = scatter((p2),(p1))
    for i = 1:k
        plot!(p,(p2[i]).+r*cos.(linspace(0,2*π,100)), (p1[i]).+r*sin.(linspace(0,2*π,100)), color = "blue", legend=false, aspect_ratio = 1 )
    end
    plot!(p,linspace(0,d2,100),zeros(100,1),color = "red")
    plot!(p,zeros(100,1),linspace(0,d1,100),color = "red")
    plot!(p,linspace(0,d2,100),ones(100,1)*d1,color = "red")
    plot!(p,d2*ones(100,1),linspace(0,d1,100),color = "red")
    pend
# 考虑这样一组问题r = 25d1 = 160d2 = 190k = 11;# MIOfunction PackCirclesGen(r,d1,d2,k,Method,MaxTime)
    tic()
    PackCircles = Model(solver = GurobiSolver(MIPGap = 1e-3, OutputFlag = 0, TimeLimit = MaxTime))
    @variable(PackCircles, p1[1:k]>=r)
    @variable(PackCircles, p2[1:k]>=r)
    @variable(PackCircles, s1[1:k,1:k])
    @variable(PackCircles, s2[1:k,1:k]>=0)
    @variable(PackCircles, z[1:k,1:k]>=0)

    @constraint(PackCircles, p1.<=d1-r)
    @constraint(PackCircles, p2.<=d2-r)

    for i = 1:k
        for j = i+1:k
        if j - i > 2 
            continue
        end
        @constraint(PackCircles,s1[i,j] == p1[j]-p1[i])
        @constraint(PackCircles,s2[i,j] == p2[j]-p2[i])
        #使用PiecewiseLinearOpt包近似nonconvex constraint
        fun_dist = piecewiselinear(PackCircles, s1[i,j] , s2[i,j], -(j-i)*r*2:r/5:(j-i)*r*2, 0:r/5:(j-i)*r*2, (u,v) -> (u^2+v^2)^0.5, method=Method)
        @constraint(PackCircles, z[i,j] >=  2*r - fun_dist )
        end
    end
    @objective(PackCircles, Min, sum(z[i,j] for i = 1:k for j = i+1:k))
    solve(PackCircles)
    return getvalue(p1),getvalue(p2),toc()endp1,p2,time = PackCirclesGen(r,d1,d2,k,:ZigZagInteger,Inf);# 一个可行解PlotCirclesRectangle(p1,p2)

这个程序也可以作为这个知乎问题的探索:

2×1000的矩形中能放多少个直径为1的圆?(https://www.zhihu.com/question/276177865/answer/390216070

# 不同bivariate分段线性方法的比较r = 21d1 = 120d2 = 120k = 6;Method_List = [:CC,:MC,:DisaggLogarithmic,:SOS2,:Logarithmic,:ZigZag,:ZigZagInteger]# The experiment, note the cutoff time set as 600 secondsfor Method in Method_List
    p1,p2,time = PackCirclesGen(r,d1,d2,k,Method,600)
    print("The method ", Method, " uses ", time, " seconds!\n")end

我们注意到不同的线性分段逼近方法的计算速度是大不一样的,ZigZag的速度最快,CC/MC这样的formulation一般不建议用。详细的理论方法请见:Huchette, Joey, and Juan Pablo Vielma. "Nonconvex piecewise linear functions: Advanced formulations and simple modeling tools."

7 更多

这篇Tutorial的GitHub链接,包括meetup上其它的julia相关资料:

1、https://github.com/JuliaCN/MeetUpMaterials/tree/master/Beijing2018

2、https://github.com/JuliaOpt/juliaopt-notebooks/blob/master/notebooks/JuMP-LazyL2Ball.ipynb

其它JuMP支持的优化拓展包可见: https://www.juliaopt.org/packages/

比如,支持多目标优化的MultiJuMP.jl,机会约束(chance constraint)的JuMPChance.jl,多项式(polynomial)优化的 PolyJuMP.jl,还有支持随机动态规划,非线性控制,平衡约束问题,图论算法,元启发式算法等等的package。

 活动板块招聘

【加入我们】 “运筹OR帷幄”公众号【活动】板块招聘责任编辑一至两名(也欢迎小伙伴以志愿者的形式加入),参与这个板块活动的策划和文章编写,希望感兴趣的小伙伴加入我们,认识更多志同道合的朋友,一起努力给10W+的受众提供好的活动交流平台,还会有一定报酬哦!

【满足条件】 希望你是Industrial Engineering/Operations Research/Supply Chain Management/Statistics/Applied Math相关研究生在读或者优秀的大四本科生,英语六级、托福|雅思成绩优异者优先!学生会或社团部长级以上经验优先!有社群活动组织经验者优先!       

【联系我们】 简历请发送到juminaa@163.com, 期待你的加入!!


文章作者:覃含章

责任编辑:王源

微信编辑:葡萄

文章来源 申明:本篇文章来自知乎文章: JuMP: 用Julia进行优化建模及求解( https://zhuanlan.zhihu.com/p/40807662

如需转载请在公众号后台获取转载须知

友情提醒: 本文由运筹OR帷幄编译整理,不作为商业用途如有内容侵权,我们将随时删除。


往期精彩文章推荐

※  【报道】在Google从事运筹学工作是怎样的体验?

【专访】顺丰科技胡武华:运筹学在中国的发展将迎来一个春天

【学界】关于KKT条件的深入探讨

【学界】混合整数规划/离散优化的精确算法--分支定界法及优化求解器

【学界/编码】从下料问题看整数规划中的列生成方法(附Gurobi求解器源代码)

如果你是运筹学|人工智能硕博或在读,请在下图公众号后台留言:“加微信群”。系统会提示您进一步的加群要求和步骤,邀请您进全球运筹或AI学者群(群内学界、业界大佬云集)。

同时我们有:【运筹|优化】【供应链|物流】【人工智能】【数据科学|分析】爱好者千人QQ群,想入群的小伙伴可以关注下方公众号点击“加入社区”按钮,获得入群传送门。

点击 阅读原文, 查看更多