原理
相关概率论知识(概率论)
在生成模型中,我们的学习目标是:

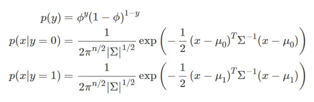
而在高斯判别分析中,我们有如下假设:

即:

其中 是高斯分布的均值向量,
是协方差矩阵.
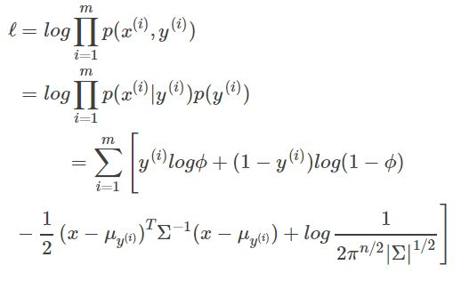
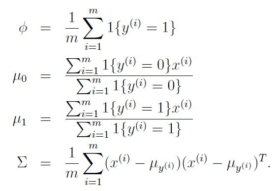
然后,我们使用 极大似然估计 ,首先构造 :

于是得到:

于是我们只要将学习到的参数 代入
和
的函数,在预测时,只需要代入数据,计算出不同类别中最大的
,便可以得到预测的类别.
代码实现
import numpy as np
import random
import matplotlib.pyplot as plt
# 高斯判别分析(Gaussian discriminant analysis)
def load_data(gauss_1, gauss_2, point_num):
"""
数据输入
:param gauss_1: 类别0的μ和σ组成的数组
:param gauss_2: 类别1的μ和σ组成的数组
:param point_num: 样本总数
:return: x_0,y_0 二维高斯分布样本点(x_0,y_0)
x_1,y_1 二维高斯分布样本点(x_1,y_1)
label 类别标签
"""
x_0 = []
x_1 = []
y_0 = []
y_1 = []
label = []
while len(label) < point_num:
if random.random() > 0.5:
x_0.append(random.gauss(gauss_1[0], gauss_1[1]))
y_0.append(random.gauss(gauss_1[0], gauss_1[1]))
label.append(0)
else:
x_1.append(random.gauss(gauss_2[0], gauss_2[1]))
y_1.append(random.gauss(gauss_2[0], gauss_2[1]))
label.append(1)
return x_0, y_0, x_1, y_1, label
def train(x_train_0, x_train_1, label):
"""
训练高斯判别分析模型
:param x_train_0: 类别为0的样本
:param x_train_1: 类别为1的样本
:param label: 样本标签
:return: phi: Φ
mu_0: μ_0
mu_1: μ_1
sigma: Σ
"""
m = len(label)
label_cnt_0 = float(label.count(0))
label_cnt_1 = float(label.count(1))
phi = label_cnt_1 / m
mu_0 = np.sum(x_train_0[0])/label_cnt_0, np.sum(x_train_0[1])/label_cnt_0
mu_1 = np.sum(x_train_1[0])/label_cnt_1, np.sum(x_train_1[1])/label_cnt_1
x0_u0 = np.mat(x_train_0.T - mu_0)
x1_u1 = np.mat(x_train_1.T - mu_1)
x_u = np.mat(np.concatenate([x0_u0, x1_u1]))
sigma = (1.0 / m) * (x_u.T * x_u)
'''
print(phi)
print(mu_0)
print(mu_1)
print(sigma_0)
print(sigma_1)
'''
return phi, np.mat(mu_0), np.mat(mu_1), sigma
def predict(x, gauss):
"""
预测数据
:param x: 输入的预测样本
:param gauss: 得到的高斯模型的数组
:return: p_y0 类别为0的概率
p_y1 类别为1的概率
"""
p_y0 = (1-gauss[0]) * np.exp(-1/2 * (x-gauss[1]) * gauss[3].I * (x-gauss[1]).T)
p_y1 = (gauss[0]) * np.exp(-1/2 * (x-gauss[2]) * gauss[3].I * (x-gauss[2]).T)
if p_y1 > p_y0:
print(str(x) + "is 1")
else:
print(str(x) + "is 0")
return p_y0, p_y1
if __name__ == '__main__':
x_0, y_0, x_1, y_1, label = load_data([15, 3], [30, 3], 5000)
train_0 = np.vstack((x_0, y_0))
train_1 = np.vstack((x_1, y_1))
gauss = train(train_0, train_1, label)
for i in range(10,40):
pre_x = [i, i]
p_0, p_1 =predict(pre_x, gauss)
# 绘制训练样本点
plt.scatter(x_0, y_0, 4, "lightblue")
plt.scatter(x_1, y_1, 4, "red")
# 绘制分隔曲线(取样本中心点连线的中垂线)
x_point = []
y_point = []
x0 = ((gauss[2] + gauss[1]) /2).T
# 直线的斜率
tmp = (gauss[2] -gauss[1]).T
k = float(- tmp[0] / tmp[1])
for i in np.linspace(0, 40, 100):
x_point.append(i)
y_point.append(k*i - k*float(x0[0])+float(x0[1]))
plt.plot(x_point, y_point)
plt.show()
实现后的图像如下:
