深度学习面试100题(第11-15题)

189 阅读6分钟
原文链接: zhuanlan.zhihu.com

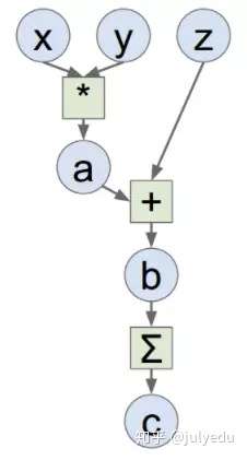
1.请简要介绍下tensorflow的计算图。

解析:

Tensorflow是一个通过计算图的形式来表述计算的编程系统,计算图也叫数据流图,可以把计算图看做是一种有向图,Tensorflow中的每一个节点都是计算图上的一个Tensor, 也就是张量,而节点之间的边描述了计算之间的依赖关系(定义时)和数学操作(运算时)。

如下两图表示:

a=x*y; b=a+z; c=tf.reduce_sum(b);

2.你有哪些deep learning(rnn、cnn)调参的经验?

解析:

一、参数初始化

下面几种方式,随便选一个,结果基本都差不多。但是一定要做。否则可能会减慢收敛速度,影响收敛结果,甚至造成Nan等一系列问题。

下面的n_in为网络的输入大小,n_out为网络的输出大小,n为n_in或(n_in+n_out)*0.5

Xavier初始法论文:

jmlr.org/proceedings…

He初始化论文:

arxiv.org/abs/1502.01…

uniform均匀分布初始化:

w = np.random.uniform(low=-scale, high=scale, size=[n_in,n_out])

Xavier初始法,适用于普通激活函数(tanh,sigmoid):scale = np.sqrt(3/n)

He初始化,适用于ReLU:scale = np.sqrt(6/n)

normal高斯分布初始化:w = np.random.randn(n_in,n_out) * stdev # stdev为高斯分布的标准差,均值设为0

Xavier初始法,适用于普通激活函数 (tanh,sigmoid):stdev = np.sqrt(n)

He初始化,适用于ReLU:stdev = np.sqrt(2/n)

svd初始化:对RNN有比较好的效果。

二、数据预处理方式

zero-center ,这个挺常用的.X -= np.mean(X, axis = 0) # zero-centerX /= np.std(X, axis = 0) # normalize

PCA whitening,这个用的比较少.

三、训练技巧

要做梯度归一化,即算出来的梯度除以minibatch size

clip c(梯度裁剪): 限制最大梯度,其实是value = sqrt(w1^2+w2^2….),如果value超过了阈值,就算一个衰减系系数,让value的值等于阈值: 5,10,15

dropout对小数据防止过拟合有很好的效果,值一般设为0.5,小数据上dropout+sgd在我的大部分实验中,效果提升都非常明显.因此可能的话,建议一定要尝试一下。 dropout的位置比较有讲究, 对于RNN,建议放到输入->RNN与RNN->输出的位置.关于RNN如何用dropout,可以参考这篇论文:arxiv.org/abs/1409.23…

adam,adadelta等,在小数据上,我这里实验的效果不如sgd, sgd收敛速度会慢一些,但是最终收敛后的结果,一般都比较好。如果使用sgd的话,可以选择从1.0或者0.1的学习率开始,隔一段时间,在验证集上检查一下,如果cost没有下降,就对学习率减半. 我看过很多论文都这么搞,我自己实验的结果也很好. 当然,也可以先用ada系列先跑,最后快收敛的时候,更换成sgd继续训练.同样也会有提升.据说adadelta一般在分类问题上效果比较好,adam在生成问题上效果比较好。

除了gate之类的地方,需要把输出限制成0-1之外,尽量不要用sigmoid,可以用tanh或者relu之类的激活函数.1. sigmoid函数在-4到4的区间里,才有较大的梯度。之外的区间,梯度接近0,很容易造成梯度消失问题。2. 输入0均值,sigmoid函数的输出不是0均值的。

rnn的dim和embdding size,一般从128上下开始调整. batch size,一般从128左右开始调整.batch size合适最重要,并不是越大越好。

word2vec初始化,在小数据上,不仅可以有效提高收敛速度,也可以可以提高结果。

四、尽量对数据做shuffle

LSTM 的forget gate的bias,用1.0或者更大的值做初始化,可以取得更好的结果,来自这篇论文:jmlr.org/proceedings…, 我这里实验设成1.0,可以提高收敛速度.实际使用中,不同的任务,可能需要尝试不同的值.

Batch Normalization据说可以提升效果,不过我没有尝试过,建议作为最后提升模型的手段,参考论文:Accelerating Deep Network Training by Reducing Internal Covariate Shift

如果你的模型包含全连接层(MLP),并且输入和输出大小一样,可以考虑将MLP替换成Highway Network,我尝试对结果有一点提升,建议作为最后提升模型的手段,原理很简单,就是给输出加了一个gate来控制信息的流动,详细介绍请参考论文: arxiv.org/abs/1505.00…

来自@张馨宇的技巧:一轮加正则,一轮不加正则,反复进行。

五、Ensemble

Ensemble是论文刷结果的终极核武器,深度学习中一般有以下几种方式

同样的参数,不同的初始化方式

不同的参数,通过cross-validation,选取最好的几组

同样的参数,模型训练的不同阶段,即不同迭代次数的模型。

不同的模型,进行线性融合. 例如RNN和传统模型。

3.CNN最成功的应用是在CV,那为什么NLP和Speech的很多问题也可以用CNN解出来?为什么AlphaGo里也用了CNN?这几个不相关的问题的相似性在哪里?CNN通过什么手段抓住了这个共性?

解析:

Deep Learning -Yann LeCun, Yoshua Bengio & Geoffrey Hinton

Learn TensorFlow and deep learning, without a Ph.D.

The Unreasonable Effectiveness of Deep Learning -LeCun 16 NIPS Keynote

以上几个不相关问题的相关性在于,都存在局部与整体的关系,由低层次的特征经过组合,组成高层次的特征,并且得到不同特征之间的空间相关性。如下图:低层次的直线/曲线等特征,组合成为不同的形状,最后得到汽车的表示。

CNN抓住此共性的手段主要有四个:局部连接/权值共享/池化操作/多层次结构。

局部连接使网络可以提取数据的局部特征;权值共享大大降低了网络的训练难度,一个Filter只提取一个特征,在整个图片(或者语音/文本) 中进行卷积;池化操作与多层次结构一起,实现了数据的降维,将低层次的局部特征组合成为较高层次的特征,从而对整个图片进行表示。如下图:

上图中,如果每一个点的处理使用相同的Filter,则为全卷积,如果使用不同的Filter,则为Local-Conv。

4.LSTM结构推导,为什么比RNN好?

解析:

推导forget gate,input gate,cell state, hidden information等的变化;因为LSTM有进有出且当前的cell informaton是通过input gate控制之后叠加的,RNN是叠乘,因此LSTM可以防止梯度消失或者爆炸。

5.Sigmoid、Tanh、ReLu这三个激活函数有什么缺点或不足,有没改进的激活函数。

解析:

sigmoid、Tanh、ReLU的缺点在121问题中已有说明,为了解决ReLU的dead cell的情况,发明了Leaky Relu, 即在输入小于0时不让输出为0,而是乘以一个较小的系数,从而保证有导数存在。同样的目的,还有一个ELU,函数示意图如下。

还有一个激活函数是Maxout,即使用两套w,b参数,输出较大值。本质上Maxout可以看做Relu的泛化版本,因为如果一套w,b全都是0的话,那么就是普通的ReLU。Maxout可以克服Relu的缺点,但是参数数目翻倍。

资料来源:

1.寒小阳&AntZ,张雨石博客等;

2.萧瑟,

www.zhihu.com/question/41…

3.许韩,

zhuanlan.zhihu.com/p/25005808

4.《 CNN笔记:通俗理解卷积神经网络》,blog.csdn.net/v_july_v/ar…

5.我愛大泡泡,

htp://blog.csdn.net/woaidapaopa…