如何加快Dijkstra算法的运行速度?

1,763 阅读2分钟

在Dijkstra算法中,面对单源单目标的最短路径,如果遇到了要relax的节点u就是目标节点t,显然就可以执行结束了。

Dijkstra算法

Dijkstra算法的探索路径是从源一直往目标前景,那么加速它的一个角度就是从源开始探索的时候,同时从目标点向源开始探索,这种算法即Bi-Directional Search。

Bi-Directional Search

具体操作位,从源点和从目标两个方向均开始搜索,轮流的执行。两个方向的搜索意味着,在初始化的时候将有两个路径值:d_f[u]:向前搜索最短路径、d_b[u]向后搜索最短路径;两个最小优先级队列 Q_fQ_b;对应的前一个节点指向 \pi_f\pi_b;以及S_fS_b

  • 向前搜索:沿着源点向目标搜索
  • 向后搜索:沿着目标向源点搜索

Bi-Directional Search的结束条件是什么?

对于选出的顶点u,当他'同时'被前向搜索和后向搜索处理完成,或者说是‘同时’从Q_fQ_b中删除了,此时可以结束。

当 Bi-Directional Search的结束的时候,如何找到最短路径?

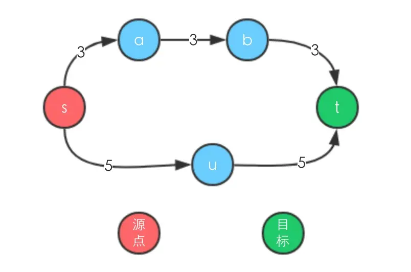
可能想到的思路是,如果u是第一个满足结束条件的,那么沿着各自的前向指针,即可找到最短路径。以如下搜索为例:

向前搜索:从源点出发,使用Dijkstra算法,可以计算出Q_f={a(3),u(5),b(\infty),t(\infty)},S_f={s(0)}

向后搜索:从目标出发,使用Dijkstra算法,可以计算出Q_b={a(\infty),s(\infty),b(3),u(5)},S_b={t(0)}

向前搜索:从Q_f中移除的最小值为 d_f[a]=3,执行边(a,b)的Relax操作,可得到Q_f={u(5),b(6),t(\infty)},S_f={s(0),a(3)}

向后搜索:从Q_b中移除最小值为d_b[b]=3,执行边(a,b)的Relax操作,可以计算出Q_b={a(6),s(\infty),u(5)},S_b={t(0),b(3)}

向前搜索:从Q_f中移除的最小值为 d_f[u]=5,执行边(u,t)的Relax操作,可得到Q_f={b(6),t(10)},S_f={s(0),a(3),u(5)}

向后搜索:从Q_b中移除最小值为d_b[u]=5,执行边(s,u)的Relax操作,可以计算出Q_b={a(6),s(10)},S_b={t(0),b(3),u(5)}

此时的u达到了终止的条件,同时从Q_fQ_b中删除,按照前向搜索和后向搜索的指针去计算最短路径,发现为10,很明显不是最短路径。
正确的计算方式为:当终止之后,应该找到一个顶点x,使得d_f[x]+d_b[x]最小。具体措施为,看S_fQ_f中的所有节点,看它在S_bQ_b中值,使得d_f[x]+d_b[x]最小

另一种算法为Goal-Directed Search ,详见 www.researchgate.net/publication…

附录

算法导论(MIT 6.006 第18讲)