HTML中显示数学公式

2,629 阅读1分钟

需求:

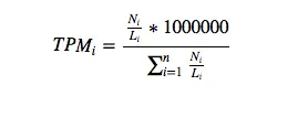
在网页中显示这样一个数学公式


用到的插件:https://www.mathjax.org/

<!DOCTYPE html><html><head><title>MathJax TeX Test Page</title><script type="text/x-mathjax-config">  MathJax.Hub.Config({tex2jax: {inlineMath: [['$','$'], ['\\(','\\)']]}});</script><script type="text/javascript"  src="http://cdn.mathjax.org/mathjax/latest/MathJax.js?config=TeX-AMS-MML_HTMLorMML"></script></head><body>? TPM_{i} = \frac{ \frac{ N_{i} }{ L_{i} } * 1000000}{\sum_{i=1}^{n} \frac{N_{i}}{L_{i}}}?</body></html>

这里需要注意的是:

当前项目用的是vue.js,要在页面dom元素都加载完成后再执行这句话,否则一打开页面 数学公式并没有解析成公式 而是p标签内的普通文字,页面刷新后才能显示

mounted () {
    this.$nextTick(function() {
        MathJax.Hub.Queue(["Typeset", MathJax.Hub]);
    });
  },

ok~大功告成!页面上完美显示公式!