推荐系统遇上深度学习(十)--GBDT+LR融合方案实战

1,697 阅读7分钟
原文链接: www.jianshu.com

推荐系统遇上深度学习系列:
推荐系统遇上深度学习(一)--FM模型理论和实践:www.jianshu.com/p/152ae633f…
推荐系统遇上深度学习(二)--FFM模型理论和实践:www.jianshu.com/p/781cde3d5…
推荐系统遇上深度学习(三)--DeepFM模型理论和实践:
www.jianshu.com/p/6f1c2643d…
推荐系统遇上深度学习(四)--多值离散特征的embedding解决方案: www.jianshu.com/p/4a7525c01…
推荐系统遇上深度学习(五)--Deep&Cross Network模型理论和实践:
www.jianshu.com/p/77719fc25…
推荐系统遇上深度学习(六)--PNN模型理论和实践: www.jianshu.com/p/be784ab4a…
推荐系统遇上深度学习(七)--NFM模型理论和实践:
www.jianshu.com/p/4e65723ee…
推荐系统遇上深度学习(八)--AFM模型理论和实践:
www.jianshu.com/p/83d3b2a1e…
推荐系统遇上深度学习(九)--评价指标AUC原理及实践:
www.jianshu.com/p/4dde15a56…

写在前面的话

GBDT和LR的融合在广告点击率预估中算是发展比较早的算法,为什么会在这里写这么一篇呢?本来想尝试写一下阿里的深度兴趣网络(Deep Interest Network),发现阿里之前还有一个算法MLR,然后去查找相关的资料,里面提及了树模型也就是GBDT+LR方案的缺点,恰好之前也不太清楚GBDT+LR到底是怎么做的,所以今天我们先来了解一下GBDT和LR的融合方案。

1、背景

在CTR预估问题的发展初期,使用最多的方法就是逻辑回归(LR),LR使用了Sigmoid变换将函数值映射到0~1区间,映射后的函数值就是CTR的预估值。 LR属于线性模型,容易并行化,可以轻松处理上亿条数据,但是学习能力十分有限,需要大量的特征工程来增加模型的学习能力。但大量的特征工程耗时耗力同时并不一定会带来效果提升。因此,如何自动发现有效的特征、特征组合,弥补人工经验不足,缩短LR特征实验周期,是亟需解决的问题。

FM模型通过隐变量的方式,发现两两特征之间的组合关系,但这种特征组合仅限于两两特征之间,后来发展出来了使用深度神经网络去挖掘更高层次的特征组合关系。但其实在使用神经网络之前,GBDT也是一种经常用来发现特征组合的有效思路。

Facebook 2014年的文章介绍了通过GBDT解决LR的特征组合问题,随后Kaggle竞赛也有实践此思路,GBDT与LR融合开始引起了业界关注。

在介绍这个模型之前,我们先来介绍两个问题:
1)为什么要使用集成的决策树模型,而不是单棵的决策树模型:一棵树的表达能力很弱,不足以表达多个有区分性的特征组合,多棵树的表达能力更强一些。可以更好的发现有效的特征和特征组合
2)为什么建树采用GBDT而非RF:RF也是多棵树,但从效果上有实践证明不如GBDT。且GBDT前面的树,特征分裂主要体现对多数样本有区分度的特征;后面的树,主要体现的是经过前N颗树,残差仍然较大的少数样本。优先选用在整体上有区分度的特征,再选用针对少数样本有区分度的特征,思路更加合理,这应该也是用GBDT的原因。

了解了为什么要用GBDT,我们就来看看到底二者是怎么融合的吧!

2、GBDT和LR的融合方案

GBDT和LR的融合方案,FaceBook的paper中有个例子:

图中共有两棵树,x为一条输入样本,遍历两棵树后,x样本分别落到两颗树的叶子节点上,每个叶子节点对应LR一维特征,那么通过遍历树,就得到了该样本对应的所有LR特征。构造的新特征向量是取值0/1的。举例来说:上图有两棵树,左树有三个叶子节点,右树有两个叶子节点,最终的特征即为五维的向量。对于输入x,假设他落在左树第一个节点,编码[1,0,0],落在右树第二个节点则编码[0,1],所以整体的编码为[1,0,0,0,1],这类编码作为特征,输入到LR中进行分类。

这个方案还是很简单的吧,在继续介绍下去之前,我们先介绍一下代码实践部分。

3、GBDT+LR代码实践

本文介绍的代码只是一个简单的Demo,实际中大家需要根据自己的需要进行参照或者修改。

github地址:github.com/princewen/t…

训练GBDT模型
本文使用lightgbm包来训练我们的GBDT模型,训练共100棵树,每棵树有64个叶子结点。

df_train = pd.read_csv('data/train.csv')
df_test = pd.read_csv('data/test.csv')

NUMERIC_COLS = [
    "ps_reg_01", "ps_reg_02", "ps_reg_03",
    "ps_car_12", "ps_car_13", "ps_car_14", "ps_car_15",
]

print(df_test.head(10))

y_train = df_train['target']  # training label
y_test = df_test['target']  # testing label
X_train = df_train[NUMERIC_COLS]  # training dataset
X_test = df_test[NUMERIC_COLS]  # testing dataset

# create dataset for lightgbm
lgb_train = lgb.Dataset(X_train, y_train)
lgb_eval = lgb.Dataset(X_test, y_test, reference=lgb_train)

params = {
    'task': 'train',
    'boosting_type': 'gbdt',
    'objective': 'binary',
    'metric': {'binary_logloss'},
    'num_leaves': 64,
    'num_trees': 100,
    'learning_rate': 0.01,
    'feature_fraction': 0.9,
    'bagging_fraction': 0.8,
    'bagging_freq': 5,
    'verbose': 0
}

# number of leaves,will be used in feature transformation
num_leaf = 64

print('Start training...')
# train
gbm = lgb.train(params,
                lgb_train,
                num_boost_round=100,
                valid_sets=lgb_train)

print('Save model...')
# save model to file
gbm.save_model('model.txt')

print('Start predicting...')
# predict and get data on leaves, training data

特征转换

在训练得到100棵树之后,我们需要得到的不是GBDT的预测结果,而是每一条训练数据落在了每棵树的哪个叶子结点上,因此需要使用下面的语句:

y_pred = gbm.predict(X_train, pred_leaf=True)

打印上面结果的输出,可以看到shape是(8001,100),即训练数据量*树的棵树

print(np.array(y_pred).shape)
print(y_pred[0])

结果为:

(8001, 100)
[[43 26 47 47 47 19 36 19 50 52 29  0  0  0 46 23 13 27 27 13 10 22  0 10
   4 57 17 55 54 57 59 42 22 22 22 13  8  5 27  5 58 23 58 14 16 16 10 32
  60 32  4  4  4  4  4 46 57 48 57 34 54  6 35  6  4 55 13 23 15 51 40  0
  47 40 10 29 24 24 31 24 55  3 41  3 22 57  6  0  6  6 57 55 57 16 12 18
  30 15 17 30]]

然后我们需要将每棵树的特征进行one-hot处理,如前面所说,假设第一棵树落在43号叶子结点上,那我们需要建立一个64维的向量,除43维之外全部都是0。因此用于LR训练的特征维数共num_trees * num_leaves。

print('Writing transformed training data')
transformed_training_matrix = np.zeros([len(y_pred), len(y_pred[0]) * num_leaf],
                                       dtype=np.int64)  # N * num_tress * num_leafs
for i in range(0, len(y_pred)):
    temp = np.arange(len(y_pred[0])) * num_leaf + np.array(y_pred[I])
    transformed_training_matrix[i][temp] += 1

当然,对于测试集也要进行同样的处理:

y_pred = gbm.predict(X_test, pred_leaf=True)
print('Writing transformed testing data')
transformed_testing_matrix = np.zeros([len(y_pred), len(y_pred[0]) * num_leaf], dtype=np.int64)
for i in range(0, len(y_pred)):
    temp = np.arange(len(y_pred[0])) * num_leaf + np.array(y_pred[I])
    transformed_testing_matrix[i][temp] += 1

L2训练
然后我们可以用转换后的训练集特征和label训练我们的LR模型,并对测试集进行测试:

lm = LogisticRegression(penalty='l2',C=0.05) # logestic model construction
lm.fit(transformed_training_matrix,y_train)  # fitting the data
y_pred_test = lm.predict_proba(transformed_testing_matrix)   # Give the probabilty on each label

我们这里得到的不是简单的类别,而是每个类别的概率。

效果评价
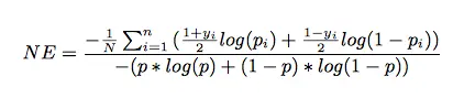
在Facebook的paper中,模型使用NE(Normalized Cross-Entropy),进行评价,计算公式如下:

代码如下:

NE = (-1) / len(y_pred_test) * sum(((1+y_test)/2 * np.log(y_pred_test[:,1]) +  (1-y_test)/2 * np.log(1 - y_pred_test[:,1])))
print("Normalized Cross Entropy " + str(NE))

4、反思

现在的GBDT和LR的融合方案真的适合现在的大多数业务数据么?现在的业务数据是什么?是大量离散特征导致的高维度离散数据。而树模型对这样的离散特征,是不能很好处理的,要说为什么,因为这容易导致过拟合。下面的一段话来自知乎:

用盖坤的话说,GBDT只是对历史的一个记忆罢了,没有推广性,或者说泛化能力。

但这并不是说对于大规模的离散特征,GBDT和LR的方案不再适用,感兴趣的话大家可以看一下参考文献2和3,这里就不再介绍了。

刚才提到了阿里的盖坤大神,他的团队在2017年提出了两个重要的用于CTR预估的模型,MLR和DIN,之后的系列中,我们会讲解这两种模型的理论和实战!欢迎大家继续关注!

参考文献:

1、Facebook的paper:quinonero.net/Publication…
2、www.cbdio.com/BigData/201…
3、blog.csdn.net/shine199308…
4、www.zhihu.com/question/35…
5、 github.com/neal668/Lig…