推荐系统遇上深度学习(五)--Deep&Cross Network模型理论和实践

429 阅读5分钟
原文链接: www.jianshu.com

推荐系统遇上深度学习系列:
推荐系统遇上深度学习(一)--FM模型理论和实践:www.jianshu.com/p/152ae633f…
推荐系统遇上深度学习(二)--FFM模型理论和实践:www.jianshu.com/p/781cde3d5…
推荐系统遇上深度学习(三)--DeepFM模型理论和实践:
www.jianshu.com/p/6f1c2643d…
推荐系统遇上深度学习(四)--多值离散特征的embedding解决方案: www.jianshu.com/p/4a7525c01…

1、原理

Deep&Cross Network模型我们下面将简称DCN模型:

一个DCN模型从嵌入和堆积层开始,接着是一个交叉网络和一个与之平行的深度网络,之后是最后的组合层,它结合了两个网络的输出。完整的网络模型如图:

嵌入和堆叠层
我们考虑具有离散和连续特征的输入数据。在网络规模推荐系统中,如CTR预测,输入主要是分类特征,如“country=usa”。这些特征通常是编码为独热向量如“[ 0,1,0 ]”;然而,这往往导致过度的高维特征空间大的词汇。

为了减少维数,我们采用嵌入过程将这些离散特征转换成实数值的稠密向量(通常称为嵌入向量):

然后,我们将嵌入向量与连续特征向量叠加起来形成一个向量:

拼接起来的向量X0将作为我们Cross Network和Deep Network的输入

Cross Network
交叉网络的核心思想是以有效的方式应用显式特征交叉。交叉网络由交叉层组成,每个层具有以下公式:

一个交叉层的可视化如图所示:

可以看到,交叉网络的特殊结构使交叉特征的程度随着层深度的增加而增大。多项式的最高程度(就输入X0而言)为L层交叉网络L + 1。如果用Lc表示交叉层数,d表示输入维度。然后,参数的数量参与跨网络参数为:d * Lc * 2 (w和b)

交叉网络的少数参数限制了模型容量。为了捕捉高度非线性的相互作用,模型并行地引入了一个深度网络。

Deep Network

深度网络就是一个全连接的前馈神经网络,每个深度层具有如下公式:

Combination Layer

链接层将两个并行网络的输出连接起来,经过一层全链接层得到输出:

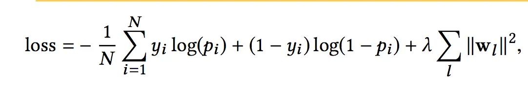
如果采用的是对数损失函数,那么损失函数形式如下:

总结
DCN能够有效地捕获有限度的有效特征的相互作用,学会高度非线性的相互作用,不需要人工特征工程或遍历搜索,并具有较低的计算成本。
论文的主要贡献包括:

1)提出了一种新的交叉网络,在每个层上明确地应用特征交叉,有效地学习有界度的预测交叉特征,并且不需要手工特征工程或穷举搜索。
2)跨网络简单而有效。通过设计,各层的多项式级数最高,并由层深度决定。网络由所有的交叉项组成,它们的系数各不相同。
3)跨网络内存高效,易于实现。
4)实验结果表明,交叉网络(DCN)在LogLoss上与DNN相比少了近一个量级的参数量。

这个是从论文中翻译过来的,哈哈。

2、实现解析

本文的代码根据之前DeepFM的代码进行改进,我们只介绍模型的实现部分,其他数据处理的细节大家可以参考我的github上的代码:
github.com/princewen/t…

数据下载地址:www.kaggle.com/c/porto-seg…

不去下载也没关系,我在github上保留了几千行的数据用作模型测试。

模型输入

模型输入

模型的输入主要有下面几个部分:

self.feat_index = tf.placeholder(tf.int32,
                                 shape=[None,None],
                                 name='feat_index')
self.feat_value = tf.placeholder(tf.float32,
                               shape=[None,None],
                               name='feat_value')

self.numeric_value = tf.placeholder(tf.float32,[None,None],name='num_value')

self.label = tf.placeholder(tf.float32,shape=[None,1],name='label')
self.dropout_keep_deep = tf.placeholder(tf.float32,shape=[None],name='dropout_deep_deep')

可以看到,这里与DeepFM相比,一个明显的变化是将离散特征和连续特征分开,连续特征不在转换成embedding进行输入,所以我们的输入共有五部分。
feat_index是离散特征的一个序号,主要用于通过embedding_lookup选择我们的embedding。feat_value是对应离散特征的特征值。numeric_value是我们的连续特征值。label是实际值。还定义了两个dropout来防止过拟合。

权重构建

权重主要包含四部分,embedding层的权重,cross network中的权重,deep network中的权重以及最后链接层的权重,我们使用一个字典来表示:

def _initialize_weights(self):
weights = dict()

#embeddings
weights['feature_embeddings'] = tf.Variable(
    tf.random_normal([self.cate_feature_size,self.embedding_size],0.0,0.01),
    name='feature_embeddings')
weights['feature_bias'] = tf.Variable(tf.random_normal([self.cate_feature_size,1],0.0,1.0),name='feature_bias')


#deep layers
num_layer = len(self.deep_layers)
glorot = np.sqrt(2.0/(self.total_size + self.deep_layers[0]))

weights['deep_layer_0'] = tf.Variable(
    np.random.normal(loc=0,scale=glorot,size=(self.total_size,self.deep_layers[0])),dtype=np.float32
)
weights['deep_bias_0'] = tf.Variable(
    np.random.normal(loc=0,scale=glorot,size=(1,self.deep_layers[0])),dtype=np.float32
)


for i in range(1,num_layer):
    glorot = np.sqrt(2.0 / (self.deep_layers[i - 1] + self.deep_layers[I]))
    weights["deep_layer_%d" % i] = tf.Variable(
        np.random.normal(loc=0, scale=glorot, size=(self.deep_layers[i - 1], self.deep_layers[i])),
        dtype=np.float32)  # layers[i-1] * layers[I]
    weights["deep_bias_%d" % i] = tf.Variable(
        np.random.normal(loc=0, scale=glorot, size=(1, self.deep_layers[i])),
        dtype=np.float32)  # 1 * layer[I]

for i in range(self.cross_layer_num):

    weights["cross_layer_%d" % i] = tf.Variable(
        np.random.normal(loc=0, scale=glorot, size=(self.total_size,1)),
        dtype=np.float32)
    weights["cross_bias_%d" % i] = tf.Variable(
        np.random.normal(loc=0, scale=glorot, size=(self.total_size,1)),
        dtype=np.float32)  # 1 * layer[I]

# final concat projection layer

input_size = self.total_size + self.deep_layers[-1]

glorot = np.sqrt(2.0/(input_size + 1))
weights['concat_projection'] = tf.Variable(np.random.normal(loc=0,scale=glorot,size=(input_size,1)),dtype=np.float32)
weights['concat_bias'] = tf.Variable(tf.constant(0.01),dtype=np.float32)

return weights

计算网络输入
这一块我们要计算两个并行网络的输入X0,我们需要将离散特征转换成embedding,同时拼接上连续特征:

# model
self.embeddings = tf.nn.embedding_lookup(self.weights['feature_embeddings'],self.feat_index) # N * F * K
feat_value = tf.reshape(self.feat_value,shape=[-1,self.field_size,1])
self.embeddings = tf.multiply(self.embeddings,feat_value)

self.x0 = tf.concat([self.numeric_value,
                     tf.reshape(self.embeddings,shape=[-1,self.field_size * self.embedding_size])]
                    ,axis=1)

Cross Network
根据论文中的计算公式,一步步计算得到cross network的输出:

# cross_part
self._x0 = tf.reshape(self.x0, (-1, self.total_size, 1))
x_l = self._x0
for l in range(self.cross_layer_num):
    x_l = tf.tensordot(tf.matmul(self._x0, x_l, transpose_b=True),
                        self.weights["cross_layer_%d" % l],1) + self.weights["cross_bias_%d" % l] + x_l

self.cross_network_out = tf.reshape(x_l, (-1, self.total_size))

Deep Network
这一块就是一个多层全链接神经网络:

self.y_deep = tf.nn.dropout(self.x0,self.dropout_keep_deep[0])

for i in range(0,len(self.deep_layers)):
    self.y_deep = tf.add(tf.matmul(self.y_deep,self.weights["deep_layer_%d" %i]), self.weights["deep_bias_%d"%I])
    self.y_deep = self.deep_layers_activation(self.y_deep)
    self.y_deep = tf.nn.dropout(self.y_deep,self.dropout_keep_deep[i+1])

Combination Layer
最后将两个网络的输出拼接起来,经过一层全链接得到最终的输出:

# concat_part
concat_input = tf.concat([self.cross_network_out, self.y_deep], axis=1)

self.out = tf.add(tf.matmul(concat_input,self.weights['concat_projection']),self.weights['concat_bias'])

定义损失
这里我们可以选择logloss或者mse,并加上L2正则项:

# loss
if self.loss_type == "logloss":
    self.out = tf.nn.sigmoid(self.out)
    self.loss = tf.losses.log_loss(self.label, self.out)
elif self.loss_type == "mse":
    self.loss = tf.nn.l2_loss(tf.subtract(self.label, self.out))
# l2 regularization on weights
if self.l2_reg > 0:
    self.loss += tf.contrib.layers.l2_regularizer(
        self.l2_reg)(self.weights["concat_projection"])
    for i in range(len(self.deep_layers)):
        self.loss += tf.contrib.layers.l2_regularizer(
            self.l2_reg)(self.weights["deep_layer_%d" % I])
    for i in range(self.cross_layer_num):
        self.loss += tf.contrib.layers.l2_regularizer(
            self.l2_reg)(self.weights["cross_layer_%d" % I])

剩下的代码就不介绍啦!

好啦,本文只是提供一个引子,有关DCN的知识大家可以更多的进行学习呦。

参考文章:

1、blog.csdn.net/roguesir/ar…
2、论文:arxiv.org/abs/1708.05…