四、数据结构:对象和数组
原文:Data Structures: Objects and Arrays
译者:飞龙
自豪地采用谷歌翻译
On two occasions I have been asked, ‘Pray, Mr. Babbage, if you put into the machine wrong figures, will the right answers come out?’ [...] I am not able rightly to apprehend the kind of confusion of ideas that could provoke such a question.
Charles Babbage,《Passages from the Life of a Philosopher》(1864)
数字,布尔和字符串是构建数据结构的原子。 不过,许多类型的信息都需要多个原子。 对象允许我们将值(包括其他对象)放到一起,来构建更复杂的结构。
我们迄今为止构建的程序,受到一个事实的限制,它们仅在简单数据类型上运行。 本章将介绍基本的数据结构。 到最后,你会知道足够多的东西,开始编写有用的程序。
本章将着手于一个或多或少的实际编程示例,当概念适用于手头问题时引入它们。 示例代码通常基于本文前面介绍的函数和绑定。
松鼠人
一般在晚上八点到十点之间,雅克就会变身成为一只毛茸茸的松鼠,尾巴上的毛十分浓密。
一方面,雅克非常高兴他没有变成经典的狼人。 与变成狼相比,变成松鼠的确会产生更少的问题。 他不必担心偶然吃掉邻居(那会很尴尬),而是担心被邻居的猫吃掉。 他在橡木树冠上的一个薄薄的树枝上醒来,赤身裸体并迷失方向。在这两次偶然之后,他在晚上锁上了房间的门窗,并在地板上放了几个核桃,来使自己忙起来。
这就解决了猫和树的问题。 但雅克宁愿完全摆脱他的状况。 不规律发生的变身使他怀疑,它们可能会由某种东西触发。 有一段时间,他相信只有在他靠近橡树的日子里才会发生。 但是避开橡树不能阻止这个问题。
雅克切换到了更科学的方法,开始每天记录他在某一天所做的每件事,以及他是否变身。 有了这些数据,他希望能够缩小触发变身的条件。
他需要的第一个东西,是存储这些信息的数据结构。
数据集
为了处理大量的数字数据,我们首先必须找到一种方法,将其在我们的机器内存中表示。 举例来说,我们想要表示一组数字 2, 3, 5, 7 和 11。
我们可以用字符串来创建 - 毕竟,字符串可以有任意长度,所以我们可以把大量数据放入它们中,并使用"2 3 5 7 11"作为我们的表示。 但这很笨拙。 你必须以某种方式提取数字,并将它们转换回数字才能访问它们。
幸运的是,JavaScript提供了一种数据类型,专门用于存储一系列的值。我们将这种数据类型称为数组,将一连串的值写在方括号当中,值之间使用逗号(,)分隔。
let listOfNumbers = [2, 3, 5, 7, 11];
console.log(listOfNumbers[2]);
// → 5
console.log(listOfNumbers[0]);
// → 2
console.log(listOfNumbers[2 - 1]);
// → 3
我们同样使用方括号来获取数组当中的值。在表达式后紧跟一对方括号,并在方括号中填写表达式,这将会在左侧表达式里查找方括号中给定的索引所对应的值,并返回结果。
数组的第一个索引是零,而不是一。 所以第一个元素用listOfNumbers[0]获取。 基于零的计数在技术上有着悠久的传统,并且在某些方面意义很大,但需要一些时间来习惯。 将索引看作要跳过的项目数量,从数组的开头计数。
属性
在之前的章节中,我们已经看到了一些可疑的表达式,例如myString.length(获取字符串的长度)和Math.max(最大值函数)。 这些表达式可以访问某个值的属性。 在第一个中,我们访问myString中的length属性。 第二个中,我们访问Math对象(它是数学相关常量和函数的集合)中的名为max的属性。
在 JavaScript 中,几乎所有的值都有属性。但null和undefined没有。如果你尝试访问null和undefined的属性,会得到一个错误提示。
null.length;
// → TypeError: null has no properties
在JavaScript中访问属性的两种主要方式是点(.)和方括号([])。 value.x和value [x]都可以访问value属性,但不一定是同一个属性。 区别在于如何解释x。 使用点时,点后面的单词是该属性的字面名称。 使用方括号时,会求解括号内的表达式来获取属性名称。 鉴于value.x获取value的名为x的属性,value [x]尝试求解表达式x,并将结果转换为字符串作为属性名称。
所以如果你知道你感兴趣的属性叫做color,那么你会写value.color。 如果你想提取属性由绑定i中保存的值命名,你可以写value [i]。 属性名称是字符串。 它们可以是任何字符串,但点符号仅适用于看起来像有效绑定名的名称。 所以如果你想访问名为2或John Doe的属性,你必须使用方括号:value[2]或value["John Doe"]。
数组中的元素以数组属性的形式存储,使用数字作为属性名称。 因为你不能用点号来表示数字,并且通常想要使用一个保存索引的绑定,所以你必须使用括号来表达它们。
数组的length属性告诉我们它有多少个元素。 这个属性名是一个有效的绑定名,我们事先知道它的名字,所以为了得到一个数组的长度,通常写array.length,因为它比array["length"]更容易编写。
方法
了length属性之外,字符串和数组对象都包含一些持有函数值的属性。
let doh = "Doh";
console.log(typeof doh.toUpperCase);
// → function
console.log(doh.toUpperCase());
// → DOH
每个字符串都有toUpperCase属性。 调用时,它将返回所有字母转换为大写字符串的副本。 另外还有toLowerCase。
有趣的是,虽然我们没有在调用toUpperCase时传递任何参数,但该函数访问了字符串"Doh",即被调用的属性所属的值。我们会在第 6 章中阐述这其中的原理。
我们通常将包含函数的属性称为某个值的方法。比如说,toUpperCase是字符串的一个方法。
此示例演示了两种方法,可用于操作数组:
let sequence = [1, 2, 3];
sequence.push(4);
sequence.push(5);
console.log(sequence);
// → [1, 2, 3, 4, 5]
console.log(sequence.pop());
// → 5
console.log(sequence);
// → [1, 2, 3, 4]
push方法将值添加到数组的末尾,而pop方法则相反,删除数组中的最后一个值并将其返回。
这些有点愚蠢的名字是栈的传统术语。 编程中的栈是一种数据结构,它允许你将值推入并按相反顺序再次弹出,最后添加的内容首先被移除。 这些在编程中很常见 - 你可能还记得前一章中的函数调用栈,它是同一个想法的实例。
对象
回到松鼠人的示例。 一组每日的日志条目可以表示为一个数组。 但是这些条目并不仅仅由一个数字或一个字符串组成 - 每个条目需要存储一系列活动和一个布尔值,表明雅克是否变成了松鼠。 理想情况下,我们希望将它们组合成一个值,然后将这些分组的值放入日志条目的数组中。
对象类型的值是任意的属性集合。 创建对象的一种方法是使用大括号作为表达式。
let day1 = {
squirrel: false,
events: ["work", "touched tree", "pizza", "running"]
};
console.log(day1.squirrel);
// → false
console.log(day1.wolf);
// → undefined
day1.wolf = false;
console.log(day1.wolf);
// → false
大括号内有一列用逗号分隔的属性。 每个属性都有一个名字,后跟一个冒号和一个值。 当一个对象写为多行时,像这个例子那样,对它进行缩进有助于提高可读性。 名称不是有效绑定名称或有效数字的属性必须加引号。
let descriptions = {
work: "Went to work",
"touched tree": "Touched a tree"
};
这意味着大括号在 JavaScript 中有两个含义。 在语句的开头,他们起始了一个语句块。 在任何其他位置,他们描述一个对象。 幸运的是,语句很少以花括号对象开始,因此这两者之间的不明确性并不是什么大问题。
读取一个不存在的属性就会产生undefined。
我们可以使用=运算符来给一个属性表达式赋值。如果该属性已经存在,那么这项操作就会替换原有的值。如果该属性不存在,则会在目标对象中新建一个属性。
简要回顾我们的绑定的触手模型 - 属性绑定也类似。 他们捕获值,但其他绑定和属性可能会持有这些相同的值。 你可以将对象想象成有任意数量触手的章鱼,每个触手上都有一个名字的纹身。
delete运算符切断章鱼的触手。 这是一个一元运算符,当应用于对象属性时,将从对象中删除指定的属性。 这不是一件常见的事情,但它是可能的。
let anObject = {left: 1, right: 2};
console.log(anObject.left);
// → 1
delete anObject.left;
console.log(anObject.left);
// → undefined
console.log("left" in anObject);
// → false
console.log("right" in anObject);
// → true
当应用于字符串和对象时,二元in运算符会告诉你该对象是否具有名称为它的属性。 将属性设置为undefined,和实际删除它的区别在于,在第一种情况下,对象仍然具有属性(它只是没有有意义的值),而在第二种情况下属性不再存在,in会返回false。
为了找出对象具有的属性,可以使用Object.keys函数。 你给它一个对象,它返回一个字符串数组 - 对象的属性名称。
console.log(Object.keys({x: 0, y: 0, z: 2}));
// → ["x", "y", "z"]
Object.assign函数可以将一个对象的所有属性复制到另一个对象中。
let objectA = {a: 1, b: 2};
bject.assign(objectA, {b: 3, c: 4});
console.log(objectA);
// → {a: 1, b: 3, c: 4}
然后,数组只是一种对象,专门用于存储对象序列。 如果你求解typeof [],它会产生object。 你可以看到它们是长而平坦的章鱼,它们的触手整齐排列,并以数字标记。
我们将雅克的日记表示为对象数组。
let journal = [
{events: ["work", "touched tree", "pizza",
"running", "television"],
squirrel: false},
{events: ["work", "ice cream", "cauliflower",
"lasagna", "touched tree", "brushed teeth"],
squirrel: false},
{events: ["weekend", "cycling", "break", "peanuts",
"beer"],
squirrel: true},
/* and so on... */
];
可变性
我们现在即将开始真正的编程。 首先还有一个理论要理解。
我们看到对象值可以修改。 千米你的章节讨论的值的类型(如数字,字符串和布尔值)都是不可变的 -- 这些类型的值不可能修改。 你可以将它们组合起来并从它们派生新的值,但是当你采用特定的字符串值时,该值将始终保持不变。 里面的文字不能改变。 如果你有一个包含"cat"的字符串,其他代码不可能修改你的字符串中的一个字符,来使它变成"rat"。
对象的工作方式不同。你可以更改其属性,使单个对象值在不同时间具有不同的内容。
当我们有两个数字,120 和 120 时,我们可以将它们看作完全相同的数字,不管它们是否指向相同的物理位。 使用对象时,拥有同一个对象的两个引用,和拥有包含相同属性的两个不同的对象,是有区别的。 考虑下面的代码:
let object1 = {value: 10};
let object2 = object1;
let object3 = {value: 10};
console.log(object1 == object2);
// → true
console.log(object1 == object3);
// → false
object1.value = 15;
console.log(object2.value);
// → 15
console.log(object3.value);
// → 10
object1和object2绑定持有相同对象,这就是为什么改变object1会改变object2的值。 据说他们具有相同的身份。 绑定object3指向一个不同的对象,它最初包含的属性与object1相同,但过着单独的生活。
绑定可以是可变的或不变的,但这与它们的值的行为方式是分开的。 即使数值不变,你也可以使用let绑定来跟踪一个变化的数字,通过修改绑定所指向的值。与之类似,虽然对象的const绑定本身不可改变,并且始终指向相同对象,该对象的内容可能会改变。
const score = {visitors: 0, home: 0};
// This is okay
score.visitors = 1;
// This isn't allowed
score = {visitors: 1, home: 1};
当你用 JavaScript 的==运算符比较对象时,它按照身份进行比较:仅当两个对象的值严格相同时才产生true。 比较不同的对象会返回false,即使它们属性相同。 JavaScript 中没有内置的“深层”比较操作,它按照内容比较对象,但可以自己编写它(这是本章末尾的一个练习)。
松鼠人的记录
于是,雅克开始了他的 JavaScript 之旅,并搭建了用于保存每天记录的一套开发环境。
let journal = [];
function addEntry(events, squirrel) {
journal.push({events, squirrel});
}
请注意添加到日记中的对象看起来有点奇怪。 它不像events:events那样声明属性,只是提供属性名称。 这是一个简写,意思一样 - 如果大括号中的属性名后面没有值,它的值来自相同名称的绑定。
那么,在每天晚上十点 -- 或者有时候是下一天的早晨,从它的书架顶部爬下来之后 -- 雅克记录了这一天。
addEntry(["work", "touched tree", "pizza", "running",
"television"], false);
addEntry(["work", "ice cream", "cauliflower", "lasagna",
"touched tree", "brushed teeth"], false);
addEntry(["weekend", "cycling", "break", "peanuts",
"beer"], true);
一旦他有了足够的数据点,他打算使用统计学来找出哪些事件可能与变成松鼠有关。
关联性是统计绑定之间的独立性的度量。 统计绑定与编程绑定不完全相同。 在统计学中,你通常会有一组度量,并且每个绑定都根据每个度量来测量。 绑定之间的相关性通常表示为从 -1 到 1 的值。 相关性为零意味着绑定不相关。 相关性为一表明两者完全相关 - 如果你知道一个,你也知道另一个。 负一意味着它们是完全相关的,但它们是相反的 - 当一个是真的时,另一个是假的。
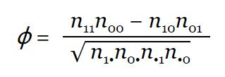
为了计算两个布尔绑定之间的相关性度量,我们可以使用 phi 系数(ϕ)。 这是一个公式,输入为一个频率表格,包含观测绑定的不同组合的次数。 公式的输出是 -1 和 1 之间的数字。
我们可以将吃比萨的事件放在这样的频率表中,每个数字表示我们的度量中的组合的出现次数。
如果我们将那个表格称为n,我们可以用下列公式自己算ϕ:
(如果你现在把这本书放下,专注于十年级数学课的可怕的再现,坚持住!我不打算用无休止的神秘符号折磨你 - 现在只有这一个公式。我们所做的就是把它变成 JavaScript。)
符号n01表明, 第一个绑定(松鼠)为假(0)时,第二个绑定(披萨)为真(1)。 在披萨表中,n01是 9。
值n1表示所有度量之和,其中第一个绑定为true,在示例表中为 5。 同样,n0表示所有度量之和,其中第二个绑定为假。
因此,我们以比萨表为例,除法线上方的部分(被除数)为1×76–9×4=40,而除法线下面的部分(除数)则是10×80×5×85的平方根,也就是√340000。计算结果为ϕ≈0.069,这个结果很小,因此吃比萨对是否变身成松鼠显然没有太大影响。
计算关联性
我们可以用包含 4 个元素的数组([76,9,4,1])来表示一张 2 乘 2 的表格。我们也可以使用其他表示方式,比如包含两个数组的数组,每个子数组又包含两个元素([[76,9],[4,1]])。也可以使用一个对象,它包含一些属性,名为"11"和"01"。但是,一维数组更为简单,也容易进行操作。我们可以将数组索引看成包含两个二进制位的数字,左边的(高位)数字表示绑定“是否变成松鼠”,右边的(低位)数字表示事件绑定。例如,若二进制数字为
10,表示雅克变成了松鼠,但事件并未发生(比如说吃比萨)。这种情况发生了 4 次。由于二进制数字 10 的十进制是 2,因此我们将其存储到数组中索引为 2 的位置上。
下面这个函数用于计算数组的系数ϕ:
function phi(table) {
return (table[3] * table[0] - table[2] * table[1]) /
Math.sqrt((table[2] + table[3]) *
(table[0] + table[1]) *
(table[1] + table[3]) *
(table[0] + table[2]));
}
console.log(phi([76, 9, 4, 1]));
// → 0.068599434
这将ϕ公式直接翻译成 JavaScript。 Math.sqrt是平方根函数,由标准 JavaScript 环境中的Math对象提供。 我们必须在表格中添加两个字段来获取字段,例如n1因为行和或者列和不直接存储在我们的数据结构中。
雅克花了三个月的时间记录日志。在本章的代码沙箱(eloquentjavascript.net/code/)的下载文件中,用JOURNAL绑定存储了该结果数据集合。
若要从这篇记录中提取出某个特定事件的 2 乘 2 表格,我们首先需要循环遍历整个记录,并计算出与变身成松鼠相关事件发生的次数。
function hasEvent(event, entry) {
return entry.events.indexOf(event) != -1;
}
function tableFor(event, journal) {
let table = [0, 0, 0, 0];
for (let i = 0; i < journal.length; i++) {
let entry = journal[i], index = 0;
if (entry.events.includes(event)) index += 1;
if (entry.squirrel) index += 2;
table[index] += 1;
}
return table;
}
console.log(tableFor("pizza", JOURNAL));
// → [76, 9, 4, 1]
数组拥有includes方法,检查给定值是否存在于数组中。 该函数使用它来确定,对于某一天,感兴趣的事件名称是否在事件列表中。
tableFor中的循环体通过检查列表是否包含它感兴趣的特定事件,以及该事件是否与松鼠事件一起发生,来计算每个日记条目在表格中的哪个盒子。 然后循环对表中的正确盒子加一。
我们现在有了我们计算个体相关性的所需工具。 剩下的唯一一步,就是为记录的每种类型的事件找到关联,看看是否有什么明显之处。
数组循环
在tableFor函数中,有一个这样的循环:
for (let i = 0; i < JOURNAL.length; i++) {
let entry = JOURNAL[i];
// Do something with entry
}
这种循环在经典的 JavaScript 中很常见 - 遍历数组,一次一个元素会很常见,为此,你需要在数组长度上维护一个计数器,并依次选取每个元素。
在现代 JavaScript 中有一个更简单的方法来编写这样的循环。
for (let entry of JOURNAL) {
console.log(`${entry.events.length} events.`);
}
当for循环看起来像这样,在绑定定义之后用of这个词时,它会遍历of之后的给定值的元素。 这不仅适用于数组,而且适用于字符串和其他数据结构。 我们将在第 6 章中讨论它的工作原理。
分析结果
我们需要计算数据集中发生的每种类型事件的相关性。 为此,我们首先需要寻找每种类型的事件。
function journalEvents(journal) {
let events = [];
for (let entry of journal) {
for (let event of entry.events) {
if (!events.includes(event)) {
events.push(event);
}
}
}
return events;
}
console.log(journalEvents(JOURNAL));
// → ["carrot", "exercise", "weekend", "bread", …]
通过遍历所有事件,并将那些不在里面的事件添加到events数组中,该函数收集每种事件。
使用它,我们可以看到所有的相关性。
for (let event of journalEvents(JOURNAL)) {
console.log(event + ":", phi(tableFor(event, JOURNAL)));
}
// → carrot: 0.0140970969
// → exercise: 0.0685994341
// → weekend: 0.1371988681
// → bread: -0.0757554019
// → pudding: -0.0648203724
// and so on...
绝大多数相关系数都趋近于 0。显然,摄入胡萝卜、面包或布丁并不会导致变身成松鼠。但是似乎在周末变身成松鼠的概率更高。让我们过滤结果,来仅仅显示大于 0.1 或小于 -0.1 的相关性。
for (let event of journalEvents(JOURNAL)) {
let correlation = phi(tableFor(event, JOURNAL));
if (correlation > 0.1 || correlation < -0.1) {
console.log(event + ":", correlation);
}
}
// → weekend: 0.1371988681
// → brushed teeth: -0.3805211953
// → candy: 0.1296407447
// → work: -0.1371988681
// → spaghetti: 0.2425356250
// → reading: 0.1106828054
// → peanuts: 0.5902679812
啊哈!这里有两个因素,其相关性明显强于其他因素。 吃花生对变成松鼠的几率有强烈的积极影响,而刷牙有显着的负面影响。
这太有意思了。让我们再仔细看看这些数据。
for (let entry of JOURNAL) {
if (entry.events.includes("peanuts") &&
!entry.events.includes("brushed teeth")) {
entry.events.push("peanut teeth");
}
}
console.log(phi(tableFor("peanut teeth", JOURNAL)));
// → 1
这是一个强有力的结果。 这种现象正好发生在雅克吃花生并且没有刷牙时。 如果他只是不注意口腔卫生,他从来没有注意到他的病痛。
知道这些之后,雅克完全停止吃花生,发现他的变身消失了。
几年来,雅克过得越来越好。 但是在某个时候他失去了工作。 因为他生活在一个糟糕的国家,没有工作就意味着没有医疗服务,所以他被迫在一个马戏团就业,在那里他扮演的是不可思议的松鼠人,在每场演出前都用花生酱塞满了它的嘴。
数组详解
在完成本章之前,我想向你介绍几个对象相关的概念。 我将首先介绍一些通常实用的数组方法。
我们在本章的前面已经了解了push和pop方法,分别用于在数组末尾添加或删除元素。相应地,在数组的开头添加或删除元素的方法分别是unshift和shift。
let todoList = [];
function remember(task) {
todoList.push(task);
}
function getTask() {
return todoList.shift();
}
function rememberUrgently(task) {
todoList.unshift(task);
}
这个程序管理任务队列。 你通过调用remember("groceries"),将任务添加到队列的末尾,并且当你准备好执行某些操作时,可以调用getTask()从队列中获取(并删除)第一个项目。 rememberUrgently函数也添加任务,但将其添加到队列的前面而不是队列的后面。
有一个与indexOf方法类似的方法,叫lastIndexOf,只不过indexOf从数组第一个元素向后搜索,而lastIndexOf从最后一个元素向前搜索。
console.log([1, 2, 3, 2, 1].indexOf(2));
// → 1
console.log([1, 2, 3, 2, 1].lastIndexOf(2));
// → 3
indexOf和lastIndexOf方法都有一个可选参数,可以用来指定搜索的起始位置。
另一个基本方法是slice,该方法接受一个起始索引和一个结束索引,然后返回数组中两个索引范围内的元素。起始索引元素包含在返回结果中,但结束索引元素不会包含在返回结果中。
console.log([0, 1, 2, 3, 4].slice(2, 4));
// → [2, 3]
console.log([0, 1, 2, 3, 4].slice(2));
// → [2, 3, 4]
如果没有指定结束索引,slice会返回从起始位置之后的所有元素。你也可以省略起始索引来复制整个数组。
concat方法可用于将数组粘在一起,来创建一个新数组,类似于+运算符对字符串所做的操作。
以下示例展示了concat和slice的作用。 它接受一个数组和一个索引,然后它返回一个新数组,该数组是原数组的副本,并且删除了给定索引处的元素:
function remove(array, index) {
return array.slice(0, index)
.concat(array.slice(index + 1));
}
console.log(remove(["a", "b", "c", "d", "e"], 2));
// → ["a", "b", "d", "e"]
如果你将concat传递给一个不是数组的参数,该值将被添加到新数组中,就像它是单个元素的数组一样。
字符串及其属性
我们可以调用字符串的length或toUpperCase这样的属性,但不能向字符串中添加任何新的属性。
let kim = "Kim";
kim.age = 88;
console.log(kim.age);
// → undefined
字符串、数字和布尔类型的值并不是对象,因此当你向这些值中添加属性时 JavaScript 并不会报错,但实际上你并没有将这些属性添加进去。前面说过,这些值是不变的,不能改变。
但这些类型包含一些内置属性。每个字符串中包含了若干方法供我们使用,最有用的方法可能就是slice和indexOf了,它们的功能与数组中的同名方法类似。
console.log("coconuts".slice(4, 7));
// → nut
console.log("coconut".indexOf("u"));
// → 5
一个区别是,字符串的indexOf可以搜索包含多个字符的字符串,而相应的数组方法仅查找单个元素。
console.log("one two three".indexOf("ee"));
// → 11
trim方法用于删除字符串中开头和结尾的空白符号(空格、换行符和制表符等符号)。
console.log(" okay \n ".trim());
// → okay
上一章中的zeroPad函数也作为方法存在。 它被称为padStart,接受所需的长度和填充字符作为参数。
console.log(String(6).padStart(3, "0"));
// → 006
你可以使用split,在另一个字符串的每个出现位置分割一个字符串,然后再用join把它连接在一起。
let sentence = "Secretarybirds specialize in stomping";
let words = sentence.split(" ");
console.log(words);
// → ["Secretarybirds", "specialize", "in", "stomping"]
console.log(words.join(". "));
// → Secretarybirds. specialize. in. stomping
可以用repeat方法重复一个字符串,该方法创建一个新字符串,包含原始字符串的多个副本,并将其粘在一起。
console.log("LA".repeat(3));
// → LALALA
我们已经看到了字符串类型的length属性。 访问字符串中的单个字符,看起来像访问数组元素(有一个警告,我们将在第 5 章中讨论)。
let string = "abc";
console.log(string.length);
// → 3
console.log(string[1]);
// → b
剩余参数
一个函数可以接受任意数量的参数。 例如,Math.max计算提供给它的参数的最大值。
为了编写这样一个函数,你需要在函数的最后一个参数之前放三个点,如下所示:
function max(...numbers) {
let result = -Infinity;
for (let number of numbers) {
if (number > result) result = number;
}
return result;
}
console.log(max(4, 1, 9, -2));
// → 9
当这样的函数被调用时,剩余参数绑定一个数组,包含所有其它参数。 如果之前有其他参数,它们的值不是该数组的一部分。 当它是唯一的参数时,如max中那样,它将保存所有参数。
你可以使用类似的三点表示法,来使用参数数组调用函数。
let numbers = [5, 1, 7];
console.log(max(...numbers));
// → 7
这在函数调用中“展开”数组,并将其元素传递为单独的参数。 像`max(9, ...numbers, 2)'那样,可以包含像这样的数组以及其他参数。
方括号的数组表示法,同样允许三点运算符将另一个数组展开到新数组中:
let words = ["never", "fully"];
console.log(["will", ...words, "understand"]);
// → ["will", "never", "fully", "understand"]
Math对象
正如我们所看到的那样,Math对象中包含了许多与数字相关的工具函数,比如Math.max(求最大值)、Math.min(求最小值)和Math.sqrt(求平方根)。
Math对象被用作一个容器来分组一堆相关的功能。 只有一个Math对象,它作为一个值几乎没有用处。 相反,它提供了一个命名空间,使所有这些函数和值不必是全局绑定。
过多的全局绑定会“污染”命名空间。全局绑定越多,就越有可能一不小心把某些绑定的值覆盖掉。比如,我们可能想在程序中使用名为max的绑定,由于 JavaScript 将内置的max函数安全地放置在Math对象中,因此不必担心max的值会被覆盖。
当你去定义一个已经被使用的绑定名的时候,对于很多编程语言来说,都会阻止你这么做,至少会对这种行为发出警告。但是 JavaScript 不会,因此要小心这些陷阱。
让我们来继续了解Math对象。如果需要做三角运算,Math对象可以帮助到你,它包含cos(余弦)、sin(正弦)、tan(正切)和各自的反函数(acos、asin和atan)。Math.PI则表示数字π,或至少是 JavaScript
中的数字近似值。在传统的程序设计当中,常量均以大写来标注。
function randomPointOnCircle(radius) {
let angle = Math.random() * 2 * Math.PI;
return {x: radius * Math.cos(angle),
y: radius * Math.sin(angle)};
}
console.log(randomPointOnCircle(2));
// → {x: 0.3667, y: 1.966}
如果你对正弦或余弦不大熟悉,不必担心。我们会在第 13 章用到它们时,再做进一步解释。
在上面的示例代码中使用了Math.random。每次调用该函数时,会返回一个伪随机数,范围在 0(包括)到 1(不包括)之间。
console.log(Math.random());
// → 0.36993729369714856
console.log(Math.random());
// → 0.727367032552138
console.log(Math.random());
// → 0.40180766698904335
虽然计算机是确定性的机器,但如果给定相同的输入,它们总是以相同的方式作出反应 - 让它们产生随机显示的数字是可能的。 为此,机器会维护一些隐藏的值,并且每当你请求一个新的随机数时,它都会对该隐藏值执行复杂的计算来创建一个新值。 它存储一个新值并返回从中派生的一些数字。 这样,它可以以随机的方式产生新的,难以预测的数字。
如果我们想获取一个随机的整数而非小数,可以使用Math.floor(向下取整到与当前数字最接近的整数)来处理Math.random的结果。
console.log(Math.floor(Math.random() * 10));
// → 2
将随机数乘以 10 可以得到一个在 0 到 10 之间的数字。由于Math.floor是向下取整,因此该函数会等概率地取到 0 到 9 中的任何一个数字。
还有两个函数,分别是Math.ceil(向上取整)和Math.round(四舍五入)。以及Math.abs,它取数字的绝对值,这意味着它反转了负值,但保留了正值。
解构
让我们暂时回顾phi函数:
function phi(table) {
return (table[3] * table[0] - table[2] * table[1]) /
Math.sqrt((table[2] + table[3]) *
(table[0] + table[1]) *
(table[1] + table[3]) *
(table[0] + table[2]));
}
这个函数难以阅读的原因之一,是我们有一个指向数组的绑定,但我们更愿意拥有数组的元素的绑定,即let n00 = table [0]以及其他。 幸运的是,有一种简洁的方法可以在 JavaScript 中执行此操作。
function phi([n00, n01, n10, n11]) {
return (n11 * n00 - n10 * n01) /
Math.sqrt((n10 + n11) * (n00 + n01) *
(n01 + n11) * (n00 + n10));
}
这也适用于由let,var或const创建的绑定。 如果你知道要绑定的值是一个数组,则可以使用方括号来“向内查看”该值,并绑定其内容。
类似的技巧适用于对象,使用大括号代替方括号。
let {name} = {name: "Faraji", age: 23};
console.log(name);
// → Faraji
请注意,如果尝试解构null或undefined,则会出现错误,就像直接尝试访问这些值的属性一样。
JSON
因为属性只是捕获了它们的值,而不是包含它们,对象和数组在计算机的内存中储存为字节序列,存放它们的内容的地址(内存中的位置)。 因此,包含另一个数组的数组,(至少)由两个内存区域组成,一个用于内部数组,另一个用于外部数组,(除了其它东西之外)其中包含表示内部数组位置的二进制数。
如果你想稍后将数据保存到文件中,或者通过网络将其发送到另一台计算机,则必须以某种方式,将这些内存地址的线团转换为可以存储或发送的描述。 我想你应该把你的整个计算机内存,连同你感兴趣的值的地址一起发送,但这似乎并不是最好的方法。
我们可以做的是序列化数据。 这意味着它被转换为扁平的描述。 流行的序列化格式称为 JSON(发音为“Jason”),它代表 JavaScript Object Notation(JavaScript 对象表示法)。 它被广泛用作 Web 上的数据存储和通信格式,即使在 JavaScript 以外的语言中也是如此。
JSON 看起来像 JavaScript 的数组和对象的表示方式,但有一些限制。 所有属性名都必须用双引号括起来,并且只允许使用简单的数据表达式 - 没有函数调用,绑定或任何涉及实际计算的内容。 JSON 中不允许注释。
表示为 JSON 数据时,日记条目可能看起来像这样
{
"squirrel": false,
"events": ["work", "touched tree", "pizza", "running"]
}
JavaScript 为我们提供了函数JSON.stringify和JSON.parse,来将数据转换为这种格式,以及从这种格式转换。 第一个函数接受 JavaScript 值并返回 JSON 编码的字符串。 第二个函数接受这样的字符串并将其转换为它编码的值。
let string = JSON.stringify({squirrel: false,
events: ["weekend"]});
console.log(string);
// → {"squirrel":false,"events":["weekend"]}
console.log(JSON.parse(string).events);
// → ["weekend"]
本章小结
对象和数组(一种特殊对象)可以将几个值组合起来形成一个新的值。理论上说,我们可以将一组相关的元素打包成一个对象,并通过这个对象来访问这些元素,以避免管理那些支离破碎的元素。
在 JavaScript 中,除了null和undefined以外,绝大多数的值都含有属性。我们可以用value.prop或value["prop"]来访问属性。对象使用名称来定义和存储一定数量的属性。另外,数组中通常会包含不同数量的值,并使用数字(从 0 开始)作为这些值的属性。
在数组中有一些具名属性,比如length和一些方法。方法是作为属性存在的函数,常常作用于其所属的值。
你可以使用特殊类型的for循环for (let element of array)来迭代数组。
习题
范围的和
在本书的前言中,提到过一种很好的计算固定范围内数字之和的方法:
console.log(sum(range(1, 10)));
编写一个range函数,接受两个参数:start和end,然后返回包含start到end(包括end)之间的所有数字。
接着,编写一个sum函数,接受一个数字数组,并返回所有数字之和。运行示例程序,检查一下结果是不是 55。
附加题是修改range函数,接受第 3 个可选参数,指定构建数组时的步长(step)。如果没有指定步长,构建数组时,每步增长 1,和旧函数行为一致。调用函数range(1, 10, 2),应该返回[1, 3, 5, 7, 9]。另外确保步数值为负数时也可以正常工作,因此range(5, 2, -1)应该产生[5, 4, 3, 2]。
// Your code here.
console.log(range(1, 10));
// → [1, 2, 3, 4, 5, 6, 7, 8, 9, 10]
console.log(range(5, 2, -1));
// → [5, 4, 3, 2]
console.log(sum(range(1, 10)));
// → 55
逆转数组
数组有一个reverse方法,它可以逆转数组中元素的次序。在本题中,编写两个函数,reverseArray和reverseArrayInPlace。第一个函数reverseArray接受一个数组作为参数,返回一个新数组,并逆转新数组中的元素次序。第二个函数reverseArrayInPlace与第一个函数的功能相同,但是直接将数组作为参数进行修改来,逆转数组中的元素次序。两者都不能使用标准的reverse方法。
回想一下,在上一章中关于副作用和纯函数的讨论,哪个函数的写法的应用场景更广?哪个执行得更快?
// Your code here.
console.log(reverseArray(["A", "B", "C"]));
// → ["C", "B", "A"];
let arrayValue = [1, 2, 3, 4, 5];
reverseArrayInPlace(arrayValue);
console.log(arrayValue);
// → [5, 4, 3, 2, 1]
实现列表
对象作为一个值的容器,它可以用来构建各种各样的数据结构。有一种通用的数据结构叫作列表(list)(不要与数组混淆)。列表是一种嵌套对象集合,第一个对象拥有第二个对象的引用,而第二个对象有第三个对象的引用,依此类推。
let list = {
value: 1,
rest: {
value: 2,
rest: {
value: 3,
rest: null
}
}
};
最后产生的对象形成了一条链,如下图所示:
使用列表的一个好处是,它们之间可以共享相同的子列表。举个例子,如果我们新建了两个值:{value: 0,result: list}和{value: -1,result: list}(list引用了我们前面定义的绑定)。这是两个独立的列表,但它们之间却共享了同一个数据结构,该数据结构包含列表末尾的三个元素。而且我们前面定义的list仍然是包含三个元素的列表。
编写一个函数arrayToList,当给定参数[1, 2, 3]时,建立一个和示例相似的数据结构。然后编写一个listToArray函数,将列表转换成数组。再编写一个工具函数prepend,接受一个元素和一个列表,然后创建一个新的列表,将元素添加到输入列表的开头。最后编写一个函数nth,接受一个列表和一个数,并返回列表中指定位置的元素,如果该元素不存在则返回undefined。
如果你觉得这都不是什么难题,那么编写一个递归版本的nth函数。
// Your code here.
console.log(arrayToList([10, 20]));
// → {value: 10, rest: {value: 20, rest: null}}
console.log(listToArray(arrayToList([10, 20, 30])));
// → [10, 20, 30]
console.log(prepend(10, prepend(20, null)));
// → {value: 10, rest: {value: 20, rest: null}}
console.log(nth(arrayToList([10, 20, 30]), 1));
// → 20
深层比较
==运算符可以判断对象是否相等。但有些时候,你希望比较的是对象中实际属性的值。
编写一个函数deepEqual,接受两个参数,若两个对象是同一个值或两个对象中有相同属性,且使用deepEqual比较属性值均返回true时,返回true。
为了弄清楚通过身份(使用===运算符)还是其属性比较两个值,可以使用typeof运算符。如果对两个值使用typeof均返回"object",则说明你应该进行深层比较。但需要考虑一个例外的情况:由于历史原因,typeof null也会返回"object"。
当你需要查看对象的属性来进行比较时,Object.keys函数将非常有用。
// Your code here.
let obj = {here: {is: "an"}, object: 2};
console.log(deepEqual(obj, obj));
// → true
console.log(deepEqual(obj, {here: 1, object: 2}));
// → false
console.log(deepEqual(obj, {here: {is: "an"}, object: 2}));
// → true



