一文读懂支持向量积核函数(附公式)

347 阅读6分钟
原文链接: click.aliyun.com

核函数(Kernels)

考虑我们最初在“线性回归”中提出的问题,特征是房子的面积x,这里的x是实数,结果y是房子的价格。

假设我们从样本点的分布中看到x和y符合3次曲线,那么我们希望使用x的三次多项式来逼近这些样本点。

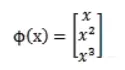
那么首先需要将特征x扩展到三维640?wx_fmt=png&tp=webp&wxfrom=5&wx_lazy=,然后寻找特征和结果之间的模型。我们将这种特征变换称作特征映射(feature mapping)。映射函数称作 640?wx_fmt=png&tp=webp&wxfrom=5&wx_lazy=,在这个例子中

e55feaffa674c0cbcdee72c1e2ac5b4f3fc9f5a2

我们希望将得到的特征映射后的特征应用于SVM分类,而不是最初的特征。这样,我们需要将前面640?wx_fmt=png&tp=webp&wxfrom=5&wx_lazy=公式中的内积从 640?wx_fmt=png&tp=webp&wxfrom=5&wx_lazy=,映射到640?wx_fmt=png&tp=webp&wxfrom=5&wx_lazy=

至于为什么需要映射后的特征而不是最初的特征来参与计算,上面提到的(为了更好地拟合)是其中一个原因,另外的一个重要原因是样例可能存在线性不可分的情况,而将特征映射到高维空间后,往往就可分了。(在《数据挖掘导论》Pang-Ning Tan等人著的《支持向量机》那一章有个很好的例子说明)

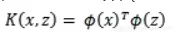
将核函数形式化定义,如果原始特征内积是640?wx_fmt=png&tp=webp&wxfrom=5&wx_lazy=,映射后为 640?wx_fmt=png&tp=webp&wxfrom=5&wx_lazy=,那么定义核函数(Kernel)为a31a3e012e87b5d0060b897ed99b34a0439d38b9 到这里,我们可以得出结论,如果要实现该节开头的效果,只需先计算 640?wx_fmt=png&tp=webp&wxfrom=5&wx_lazy=,然后计算 640?wx_fmt=png&tp=webp&wxfrom=5&wx_lazy=即可,然而这种计算方式是非常低效的。

比如最初的特征是n维的,我们将其映射到640?wx_fmt=png&tp=webp&wxfrom=5&wx_lazy=维,然后再计算,这样需要 640?wx_fmt=png&tp=webp&wxfrom=5&wx_lazy=的时间。那么我们能不能想办法减少计算时间呢?

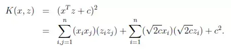
先看一个例子,假设x和z都是n维的,0159d6db56fd7e4c11a1f42da9f5d7ecba40b910 展开后,得

3a3f7cdc7eb523f491b8365bd96909e51b85c1ec

这个时候发现我们可以只计算原始特征x和z内积的平方(时间复杂度是O(n)),就等价与计算映射后特征的内积。也就是说我们不需要花640?wx_fmt=png&tp=webp&wxfrom=5&wx_lazy=时间了。

现在看一下映射函数(n=3时),根据上面的公式,得到


也就是说核函数640?wx_fmt=png&tp=webp&wxfrom=5&wx_lazy=只能在选择这样的 640?wx_fmt=png&tp=webp&wxfrom=5&wx_lazy=作为映射函数时才能够等价于映射后特征的内积。


再看一个核函数


640?wx_fmt=png&tp=webp&wxfrom=5&wx_lazy=


对应的映射函数(n=3时)是

373a9cd5ec542f9d705bec692cde494dd4df3e82

更一般地,核函数640?wx_fmt=png&tp=webp&wxfrom=5&wx_lazy=对应的映射后特征维度为 640?wx_fmt=png&tp=webp&wxfrom=5&wx_lazy=

由于计算的是内积,我们可以想到IR中的余弦相似度,如果x和z向量夹角越小,那么核函数值越大,反之,越小。因此,核函数值是640?wx_fmt=png&tp=webp&wxfrom=5&wx_lazy=640?wx_fmt=png&tp=webp&wxfrom=5&wx_lazy=的相似度。

再看另外一个核函数

012fec49b6031534bc2c680c50dd7555d5d09953

这时,如果x和z很相近(640?wx_fmt=png&tp=webp&wxfrom=5&wx_lazy=),那么核函数值为1,如果x和z相差很大( 640?wx_fmt=png&tp=webp&wxfrom=5&wx_lazy=),那么核函数值约等于0。

由于这个函数类似于高斯分布,因此称为高斯核函数,也叫做径向基函数(Radial Basis Function 简称RBF)。它能够把原始特征映射到无穷维。

既然高斯核函数能够比较x和z的相似度,并映射到0到1,回想logistic回归,sigmoid函数可以,因此还有sigmoid核函数等等。

下面有张图说明在低维线性不可分时,映射到高维后就可分了,使用高斯核函数。

9da50795e36aaca7bd5c4ae5c3d759c931df6b88

来自Eric Xing的slides

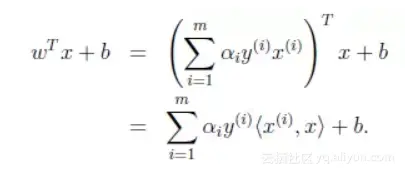
注意,使用核函数后,怎么分类新来的样本呢?线性的时候我们使用SVM学习出w和b,新来样本x的话,我们使用640?wx_fmt=png&tp=webp&wxfrom=5&wx_lazy=来判断,如果值大于等于1,那么是正类,小于等于是负类。

在两者之间,认为无法确定。如果使用了核函数后,640?wx_fmt=png&tp=webp&wxfrom=5&wx_lazy=就变成了 640?wx_fmt=png&tp=webp&wxfrom=5&wx_lazy=,是否先要找到640?wx_fmt=png&tp=webp&wxfrom=5&wx_lazy=,然后再预测?答案肯定不是了,找 640?wx_fmt=png&tp=webp&wxfrom=5&wx_lazy=很麻烦,回想我们之前说过的

9096869e9bab9d3faa496df0ddde921f703c7bb5

只需将640?wx_fmt=png&tp=webp&wxfrom=5&wx_lazy=替换成 640?wx_fmt=png&tp=webp&wxfrom=5&wx_lazy=,然后值的判断同上。

核函数有效性判定

问题:给定一个函数K,我们能否使用K来替代计算640?wx_fmt=png&tp=webp&wxfrom=5&wx_lazy=,也就说,是否能够找出一个640?wx_fmt=png&tp=webp&wxfrom=5&wx_lazy=,使得对于所有的x和z,都有640?wx_fmt=png&tp=webp&wxfrom=5&wx_lazy=

比如给出了640?wx_fmt=png&tp=webp&wxfrom=5&wx_lazy=,是否能够认为K是一个有效的核函数。

下面来解决这个问题,给定m个训练样本640?wx_fmt=png&tp=webp&wxfrom=5&wx_lazy=,每一个 640?wx_fmt=png&tp=webp&wxfrom=5&wx_lazy=对应一个特征向量。

那么,我们可以将任意两个640?wx_fmt=png&tp=webp&wxfrom=5&wx_lazy=640?wx_fmt=png&tp=webp&wxfrom=5&wx_lazy=带入K中,计算得到640?wx_fmt=png&tp=webp&wxfrom=5&wx_lazy=。I可以从1到m,j可以从1到m,这样可以计算出m*m的核函数矩阵(Kernel Matrix)。

为了方便,我们将核函数矩阵和640?wx_fmt=png&tp=webp&wxfrom=5&wx_lazy=都使用K来表示。

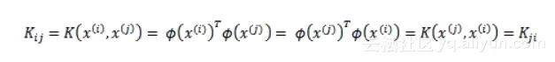
如果假设K是有效地核函数,那么根据核函数定义

7b02d7b1af420de33379c0dbfcae52e2df0f637f

可见,矩阵K应该是个对称阵。让我们得出一个更强的结论,首先使用符号640?wx_fmt=png&tp=webp&wxfrom=5&wx_lazy=来表示映射函数 640?wx_fmt=png&tp=webp&wxfrom=5&wx_lazy=的第k维属性值。那么对于任意向量z,得

f1fd78b973c6593edcfbb5574c6ddae2a4fa7705

最后一步和前面计算640?wx_fmt=png&tp=webp&wxfrom=5&wx_lazy=时类似。从这个公式我们可以看出,如果K是个有效的核函数(即 640?wx_fmt=png&tp=webp&wxfrom=5&wx_lazy=640?wx_fmt=png&tp=webp&wxfrom=5&wx_lazy=等价),那么,在训练集上得到的核函数矩阵K应该是半正定的( 640?wx_fmt=png&tp=webp&wxfrom=5&wx_lazy=

这样我们得到一个核函数的必要条件:

K是有效的核函数 ==> 核函数矩阵K是对称半正定的。

可幸的是,这个条件也是充分的,由Mercer定理来表达。

Mercer定理:

如果函数K是640?wx_fmt=png&tp=webp&wxfrom=5&wx_lazy=上的映射(也就是从两个n维向量映射到实数域)。那么如果K是一个有效核函数(也称为Mercer核函数),那么当且仅当对于训练样例 640?wx_fmt=png&tp=webp&wxfrom=5&wx_lazy=,其相应的核函数矩阵是对称半正定的。

Mercer定理表明为了证明K是有效的核函数,那么我们不用去寻找640?wx_fmt=png&tp=webp&wxfrom=5&wx_lazy=,而只需要在训练集上求出各个 640?wx_fmt=png&tp=webp&wxfrom=5&wx_lazy=,然后判断矩阵K是否是半正定(使用左上角主子式大于等于零等方法)即可。

许多其他的教科书在Mercer定理证明过程中使用了640?wx_fmt=png&tp=webp&wxfrom=5&wx_lazy=范数和再生希尔伯特空间等概念,但在特征是n维的情况下,这里给出的证明是等价的。

核函数不仅仅用在SVM上,但凡在一个模型后算法中出现了640?wx_fmt=png&tp=webp&wxfrom=5&wx_lazy=,我们都可以常使用 640?wx_fmt=png&tp=webp&wxfrom=5&wx_lazy=去替换,这可能能够很好地改善我们的算法。


原文发布时间为:2018-01-29

本文来自云栖社区合作伙伴“ 数据派THU”,了解相关信息可以关注“数据派THU ”微信公众号