背景
2010 年,G7 正式为物流运输行业提供面向车队管理的 SaaS 服务,经过持续创新,通过软硬一体化的产品技术能力,致力于数字化每一辆货车,以实时感知技术创造智慧物流新生态。G7 为客户提供全方位的数据服务、智能的安全和运营管理、手机管车、数字运力、以及 ETC、油和金融等增值服务。
目前,G7 连接了 600,000 辆货车,每天行驶 6500 万公里(可绕地球赤道 1625 圈),13.5 亿个轨迹点和 2,200 万次车辆事件触发,并且以直线速度飞速增长。G7 每天产生的车辆行驶、状态、消费等数据超过 2T,飞速增加的车辆、数据类型和复杂的金融业务,使得数据库的事务、分析、扩展和可用性面临巨大的挑战。
在大量的车辆信息和轨迹相关数据业务中,当前我们通过 Spark、Hive 等对大量原始数据进行分析后,存入阿里云 DRDS,对外提供基础数据接口服务。由于清洗后的数据量依然很大,使用 DRDS 的存储成本非常高,且面对很多 OLAP 的查询时,效率不如人意。
而在金融和支付这种复杂业务场景中,面临 CAP 中 C 和 P 的挑战。在以往的工作中,支付系统由于面临强一致性事务的高峰值写入问题,采用了 2PC+MySQLXA(单个 MySQL 作为参与者,上层增加 Proxy 作为协调者)完成了分布式事务数据库的方案。但是这种方案在 Partition 中,极为麻烦。同时,运营和风控系统经常需要做相对复杂的查询,要么通过 MySQL+ETL+OLAP 数据库(成本高),要么容忍查询的效率问题。
探索
G7 的技术团队一直在寻找一种能解决上述问题的数据库。要找到这样一种数据库,除了需要满足上述需求以外,还需要满足另一个需求:可维护性和易迁移性。这要求该数据库具体需要满足如下几个要求:
-
兼容 MySQL 协议,使得数据库的变更对上层业务透明,这个有多重要,做过基础架构升级落地的同学应该深有感触。
-
支持 MySQL 的主从同步机制,使得数据库的变更可以平滑逐步升级,降低变更风险。
-
必须是开源的。数据库的稳定需要付出很大的精力和时间,在这个过程中,或多或少都出现问题。出现问题不可怕,可怕的是无法定位和解决问题,只能依赖“他人”。数据库的一个 BUG 对“他人”来说,可能是一个小问题,对 G7 业务而言,可能是一个巨大的灾难。当“屁股”不在同一个板凳上时,我们需要对数据库有很强的掌控力。
-
开源的同时,背后一定需要有一个有实力的技术团队或商业公司的全力投入。在见识了不少“烂尾”和“政绩”的开源项目后,只有一个稳定全职投入的技术团队或商业公司,才能最终让这个数据库越来越好。
在这么多限制和需求的情况下,TiDB+TiSpark 很快进入我们的视线,并且开始调研。通过和 TiDB 技术人员的交流,除了满足上述的需求外,如下技术细节使我们一致认为可以选择这样的方案:
-
将 MySQL 架构中 Server 和 StorageEngine 概念进一步松耦合,分为 TiDB 和 TiKV,水平扩展性进一步提升。
-
定位于 Spanner 的开源实现,但是没有选择 Multi-Paxos,而是采用了更容易理解、实现和测试的 Raft,使得我们在分布式一致性上少了很多担忧。
-
使用 RocksDB 作为底层的持久化KV存储,单机的性能和稳定性经过了一定的考验。
-
基于 GooglePercolator 的分布式事务模型,在跨区域多数据中心部署时对网络的时延和吞吐要求比较高,但我们目前没有这样的强需求。
初体验——风控数据平台
该风控数据平台是将众多的业务数据做清洗和一定复杂度的计算,形成一个客户在 G7 平台上金融数据指标,供后续的风控人员来查询客户的风险情况,同时支撑运营相对复杂的查询。由于数据量较大,传统的关系型数据库在扩展性和处理 OLAP 上不符合该业务的需求;同时该业务面向内部,在一开始不熟悉的情况下,不会影响到客户,因此,我们决定在这个业务上,选择使用 TiDB。风控数据平台开始于 2017 年 8 月,2017 年 10 月上线了第一个版本,对线上用户提供服务。最开始使用的 TiDB RC4 版本,后升级到 Pre-GA,我们计划近期升级到 GA 版本。
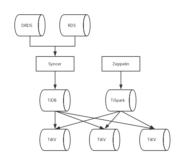
系统架构如下所示,整个流程非常简洁高效。

在使用的过程中,我们还是遇到了不少兼容性相关的问题。为了增加我们对 TiDB 的理解,我们和 TiDB 技术团队取得联系,积极参与到 TiDB 项目中,熟悉代码和修复部分兼容性和 BUG 相关的问题。以下是我们在实践过程中解决的问题:
- 修复 INFORMATION_SCHEMA.COLUMNS 中 ,COLUMN_TYPE 不支持 UNSIGNED 的兼容性问题。
- 修复 IGNORE 关键字对 INSERT、UPDATE和DELETE 的兼容性问题。
- 修复 Set 和 Join 中存在的 PanicBUG。
- 增加了对 SQL_MODE 支持 ONLY_FULL_GROUP_BY 的特性。
这里仍然存在一个与 MySQL 不兼容的地方。当开启事务后,如果 insert 的语句会导致主键或者唯一索引冲突时,TiDB 为了节省与 TiKV 之间的网络开销,并不会去 TiKV 查询,因此不会返回冲突错误,而是在 Commit 时才告知是不是冲突了。希望准备使用或关注 TiDB 的朋友能注意到这一点。后来我们咨询 TiDB 官方,官方的解释是:TiDB 采用乐观事务模型,冲突检测在执行 Commit 操作时才会进行。
感谢在初体验过程中,TiDB 团队非常认真、负责和快速的帮助我们排查和解决问题,提供了非常好的远程支持和运维建议。
在其它业务中的推广规划
2018 年初,运维团队和每一个业务方进行了一次需求沟通,业务方对 TiDB 的需求越来越强烈。我们正沿着如下的路径,让 TiDB 发挥应用到更多的场景中。
-
将 TiDB 作为 RDS 的从库,将读流量迁移到 TiDB;
-
从内部业务开始,逐步将写流量迁移到 TiDB;
-
将更多 OLAP 的业务的迁到 TiSpark 上;
-
合作开发 TiDB 以及 TiDB 周边工具。
参与 TiDB 社区的 Tips
-
善用 GDB 工具去了解和熟悉 TiDB 的代码结构和逻辑。
-
初始选择一些 Issue,去分析和尝试修复。
-
利用火焰图去关注和优化性能。
-
如果没有读过周边的论文,可以试着去读一读,加深对系统原理的理解。
-
积极参与 TiDB 的社区活动,加深与 TiDB 核心研发的沟通。
-
有合适的业务场景,可以多试用 TiDB,拓宽 TiDB在 不同场景下的应用实践。
G7 欢迎想从事数据库优化和开发的朋友加入 G7,一起去建设更好的 NewSQL 产品,简历请投递至 liaoqiang@g7.com.cn,我们将第一时间与您联系。
作者简介:廖强,曾供职于百度,负责百度钱包的分布式事务数据库,基础架构和收银台。现 G7 汇通天下技术合伙人,负责金融产品研发、运维和安全。