8 连续函数的运算

1,156 阅读1分钟

连续函数的四则运算

两个连续函数的和, 差, 积, 商扔为连续函数

证明

推论

反函数的连续性

证明过程

函数和反函数要么都连续要么都不连续

三角函数的连续性

sin

cos

tan

cot

复合函数的连续性

复合函数的极限

连续函数的复合函数仍然是连续函数

若内函数和外函数都连续则复合函数一定连续

例题

幂函数的连续性

初等函数的连续性

例题

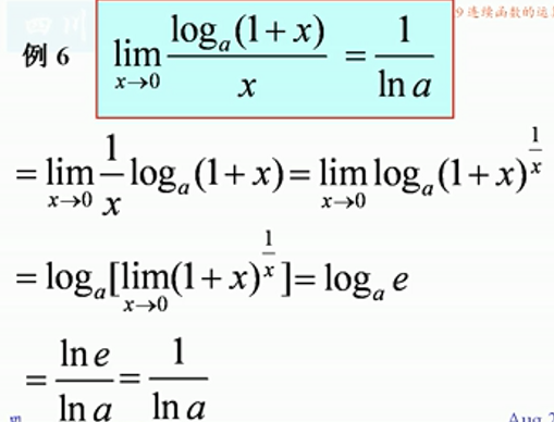
利用函数的连续性求极限

例题

一个复合函数如果外函数连续那么就可以把极限取到内函数上面

例题

例题

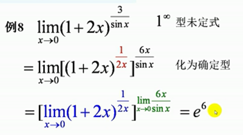
幂指函数的极限

底数和指数都在变称为幂指函数

确定型

例题

未定式

例题

解法一

例题

解法二

例题